Product Images Naloxone Hydrochloride Injection, Usp, Auto-injector

View Photos of Packaging, Labels & Appearance

Product Label Images

The following 12 images provide visual information about the product associated with Naloxone Hydrochloride Injection, Usp, Auto-injector NDC 60842-002 by Kaleo, Inc., such as packaging, labeling, and the appearance of the drug itself. This resource could be helpful for medical professionals, pharmacists, and patients seeking to verify medication information and ensure they have the correct product.

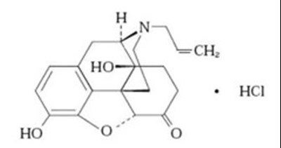
chemical structure - naloxone figure 1

chemical structure - naloxone figure 1

Auto-injectors Label - naloxone figure 10

Auto-injectors Label - naloxone figure 10

Not available. The text appears to be garbled and does not provide relevant information.*

Device Label - naloxone figure 11

Device Label - naloxone figure 11

This is a description of an auto-injector containing Naloxone HCI used for opioid emergencies. The auto-injector contains 10mg and is single-dose. The injector includes a viewing window and two ends, a black end, and a red end, where the needle end is present. During the use of the auto-injector, one needs to place the black end against the outer thigh or behind, press firmly for 5 seconds, and listen carefully for a clicking and hissing sound. If the drug appears cloudy, replace it. The auto-injector is for Rx only. The label includes the lot number, expiration date, UDI number, and the drug's name.*

Outer Case Label - naloxone figure 12

Outer Case Label - naloxone figure 12

This is a description of a Naloxone HCl Injection auto-injector device that is intended to be used in emergency situations for adults and children aged 12 and above. The text provides instructions to pull the device from its case, replace it if the drug is cloudy or contains particles, and not freeze it. The viewing window allows the user to see the contents of the device. The device contains 10 mg of Naloxone HCl Injection, USP and should be stored between 15°C-25°C (59°F-77°F), with excursions permitted between 4°C and 40°C (39°F and 104°F). The device is single-dose and manufactured for kaleo Inc., with instructions for use, lot, and expiration date found on the device.*

figure1a - naloxone figure 2

figure1a - naloxone figure 2

This appears to be a data table with the header "Mean Naloxane Concentration (ng/mL)" and two columns labeled "NALOXONE HYDROCHLORIDE injection 2 mg" and "NALOXONE HYDROCHLORIDE injection 10 mg". There is also a row labeled "Time PostDose (h)" suggesting that this data represents measurements taken at different time intervals after the administration of naloxone hydrochloride at the given doses.*

figure1b - naloxone figure 3

figure1b - naloxone figure 3

This appears to be a data table for two types of naloxone hydrochloride injections with varying dosages, showing the mean concentration of naloxone over time post-dose. The table may be part of a larger research study or drug trial.*

Figure A - naloxone figure 4

Figure A - naloxone figure 4

This is a description of NALOXONE HYDROCHLORIDE injection auto-injector, which is used to treat opioid emergencies in adults and children over 12 years of age. The injector contains a single dose of 10mg Naloxone HCI Injection USP and can be administered via intramuscular or subcutaneous injection. Instructions for use, as well as the lot and expiration dates can be found on the device. The outer case needs to be removed to access the injector.*

Figure A - naloxone figure 5

Figure A - naloxone figure 5

Figure A - naloxone figure 6

Figure A - naloxone figure 6

Figure A - naloxone figure 7

Figure A - naloxone figure 7

Figure A - naloxone figure 8

Figure A - naloxone figure 8

The text describes the features of a medication called Naloxone HCI Injection, USP. It has a viewing window with a red indicator, and the base is locked with the needle retracted. It is unclear from this text what medical condition it is used to treat.*

Figure A - naloxone figure 9

Figure A - naloxone figure 9

This appears to be a section of a document containing a date format (MM-YYYY) and a code or reference number (123456789012) followed by a lot number (1234567890). It does not provide enough context to determine the purpose or meaning of this information.*

* The product label images have been analyzed using a combination of traditional computing and machine learning techniques. It should be noted that the descriptions provided may not be entirely accurate as they are experimental in nature. Use the information in this page at your own discretion and risk.