Product Images Cephalexin

View Photos of Packaging, Labels & Appearance

Product Label Images

The following 7 images provide visual information about the product associated with Cephalexin NDC 61442-161 by Carlsbad Technology, Inc., such as packaging, labeling, and the appearance of the drug itself. This resource could be helpful for medical professionals, pharmacists, and patients seeking to verify medication information and ensure they have the correct product.

Principal Display Panel – Bottle Label - ccc5y100s

Principal Display Panel – Bottle Label - ccc5y100s

Each capsule of this medication contains cephalexin monohydrate equivalent to 500 mg cephalexin. The recommended adult dose is not included, hence the package insert should be consulted for dosage information. The medication should be stored in a tightly closed, light-resistant container at the temperature range of 15-30°C (59-86°F). The medication contains FD&C Yellow No. 5 as a color additive. This medication requires a prescription. Lot number and expiration date are provided.*

Principal Display Panel – Bottle Label - ccc5y500s

Principal Display Panel – Bottle Label - ccc5y500s

This is a description for Cephalexin capsules USP. Each capsule contains 10500 mg of cephalexin monohydrate. The usual adult dose is not provided and it's recommended to see accompanying package insert. It should be dispensed tightly in a light-resistant container, kept tightly closed, and stored at a temperature between 15-30°C (59-86°F). The capsules contain FD&C Yellow No.5 (tartrazine) as a color additive. This drug is available only on prescription (Rx only). The product is of Taiwanese origin and distributed by Carlsbad Technology, Inc. Its lot number is CCCSy, and its expiration date is not available.*

Principal Display Panel – Bottle Label - cccy100s

Principal Display Panel – Bottle Label - cccy100s

Each capsule contains 250 mg of cephalexin monohydrate. It is suggested to increase the dose for severe infections but not to exceed 4g per day. Dosage information can be found in accompanying literature. The capsules should be kept in a tightly closed, light-resistant container and stored in temperatures between 15-30°C. Contains tartrazine as a color additive. Lot number and expiration date are not available.*

Principal Display Panel – Bottle Label - cccy500s

Principal Display Panel – Bottle Label - cccy500s

This text provides information regarding the contents, dosage, and storage of Cephalexin capsules. Each capsule of the medication contains 250 mg of Cephalexin, and the typical adult dose is one capsule taken every six hours. For severe infections, the dosage may increase, but not to exceed 4 g per day. The medicine should be stored in a tightly closed, light-resistant container at a temperature between 15-30°C. It contains FD&C Yellow No. 5 (tartrazine) as a color additive. This product is distributed by Carlsbad Technology, Inc., and the capsules are manufactured by Yung Shin Pharmaceutical Ind. Co., Ltd. Lot number CCCy is also mentioned.*

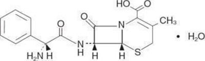
Structural Formula - cep02 0003 01

Structural Formula - cep02 0003 01

Figure - cep02 0003 02

Figure - cep02 0003 02

Figure - cep02 0003 03

Figure - cep02 0003 03

* The product label images have been analyzed using a combination of traditional computing and machine learning techniques. It should be noted that the descriptions provided may not be entirely accurate as they are experimental in nature. Use the information in this page at your own discretion and risk.