Product Images Trihexyphenidyl Hydrochloride

View Photos of Packaging, Labels & Appearance

Product Label Images

The following 2 images provide visual information about the product associated with Trihexyphenidyl Hydrochloride NDC 61748-054 by Akorn, such as packaging, labeling, and the appearance of the drug itself. This resource could be helpful for medical professionals, pharmacists, and patients seeking to verify medication information and ensure they have the correct product.

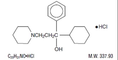
Chemical Structure - 17402030 cc8f 40ba ac8a 865fce102c03 01

Chemical Structure - 17402030 cc8f 40ba ac8a 865fce102c03 01

image 01

image 01

This is a medication called Trihexyphenidyl Hydrochloride available as an Oral Solution USP with a strength of 2 mg/5 mL. The content of the container is 473 mL (16 fl oz). The product is prescription-only, and the code NDC 61748-054-16 may be used to identify it. The last code printed, R1117, may represent a lot or batch number.*

* The product label images have been analyzed using a combination of traditional computing and machine learning techniques. It should be noted that the descriptions provided may not be entirely accurate as they are experimental in nature. Use the information in this page at your own discretion and risk.