FDA Label for Orphengesic Forte
View Indications, Usage & Precautions
Orphengesic Forte Product Label
The following document was submitted to the FDA by the labeler of this product Galt Pharmaceuticals, Llc. The document includes published materials associated whith this product with the essential scientific information about this product as well as other prescribing information. Product labels may durg indications and usage, generic names, contraindications, active ingredients, strength dosage, routes of administration, appearance, warnings, inactive ingredients, etc.
Description
Each Orphengesic ® Forte Tablet, for oral administration contains Orphenadrine Citrate 50 mg, Aspirin 770 mg and Caffeine 60 mg.
In addition, each tablet contains the following inactive ingredients: anhydrous lactose, colloidal silicon dioxide, D&C yellow #10, FD&C blue #1, zinc stearate, povidone, pregelatinized starch, and stearic acid.
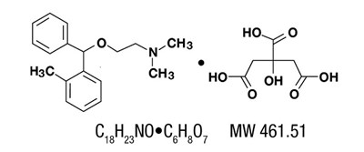
Orphenadrine citrate is (2-dimethylaminoethyl 2-methylbenzhydryl ether citrate). It is a white, practically odorless, crystalline powder, having a bitter taste. It is sparingly soluble in water; slightly soluble in alcohol. It has the following structural formula:
       
 
  
Aspirin, salicylic acid acetate, is a non-opiate analgesic, anti-inflammatory and antipyretic agent It occurs as a white, crystalline tabular or needle-like powder and is odorless or has a faint odor. It is sparingly soluble in water, freely soluble in alcohol and chloroform. It has the following structural formula:
Caffeine is a central nervous system stimulant which occurs as a white powder or white glistening needles, usually matted together. It is sparingly soluble in alcohol, and freely soluble in chloroform. The chemical name for caffeine is, 1,3,7-Trimethylxanthine. It has the following structural formula:
Clinical Pharmacology
Orphenadrine citrate is a centrally acting (brain stem) compound which in animals selectively blocks facilitatory functions of the reticular formation. Orphenadrine does not produce myoneural block, nor does it affect crossed extensor reflexes. Orphenadrine prevents nicotine-induced convulsions but not those produced by strychnine.
Chronic administration of Orphenadrine Citrate, Aspirin and Caffeine to dogs and rats has revealed no drug-related toxicity. No blood or urine changes were observed, nor were there any macroscopic or microscopic pathological changes detected. Extensive experience with combinations containing aspirin and caffeine has established them as safe agents. The addition of orphenadrine citrate does not alter the toxicity of aspirin and caffeine.
The mode of therapeutic action of orphenadrine has not been clearly identified, but may be relegated to its analgesic properties. Orphenadrine citrate also possesses anti-cholinergic actions.
Indications & Usage
Orphengesic Forte (Orphenadrine Citrate, Aspirin and Caffeine 50 mg/ 770 mg/ 60 mg) Tablets are indicated in:
- Symptomatic relief of mild to moderate pain of acute musculoskeletal disorders.
- The orphenadrine component is indicated as an adjunct to rest, physical therapy, and other measures for the relief of discomfort associated with acute painful musculoskeletal conditions.
The mode of action of orphenadrine has not been clearly identified, but may be related to its analgesic properties. Orphengesic Forte Tablets do not directly relax tense muscles in man.
Contraindications
Because of the mild anticholinergic effect of orphenadrine, Orphengesic Forte Tablets should not be used in patients with glaucoma, pyloric or duodenal obstruction, achalasia, prostatic hypertrophy or obstructions at the bladder neck. Orphengesic Forte Tablets are also contraindicated in patients with myasthenia gravis and in patients known to be sensitive to aspirin or caffeine.
The drug is contraindicated in patients who have demonstrated a previous hypersensitivity to the drug.
Warnings
Reye’s Syndrome may develop in individuals who have chicken pox, influenza, or flu symptoms. Some studies suggest possible association between the development of Reye’s Syndrome and the use of medicines containing salicylate or aspirin. Orphengesic Forte Tablets (Orphenadrine Citrate, Aspirin and Caffeine Tablets 50 mg/ 770 mg/ 60 mg) contain aspirin and therefore are not recommended for use in patients with chicken pox, influenza, or flu symptoms.
Orphengesic Forte Tablets may impair the ability of the patient to engage in potentially hazardous activities such as operating machinery or driving a motor vehicle; ambulatory patients should therefore be cautioned accordingly.
Aspirin should be used with extreme caution in the presence of peptic ulcers and coagulation abnormalities.
Usage In Pregnancy
Since safety of the use of this preparation in pregnancy, during lactation, or in the child-bearing age has not been established, use of the drug in such patients requires that the potential benefits of the drug be weighed against its possible hazard to the mother and child.
Usage In Children
The safe and effective use of this drug in children has not been established. Usage of this drug in children under 12 years of age is not recommended.
Precautions
Confusion, anxiety and tremors have been reported in a few patients receiving propoxyphene and orphenadrine concomitantly. As these symptoms may be simply due to an additive effect, reduction of dosage and/or discontinuation of one or both agents is recommended in such cases.
Safety of continuous long term therapy with Orphengesic Forte Tablets has not been established; therefore, if Orphengesic Forte Tablets are prescribed for prolonged use, periodic monitoring of blood, urine and liver function values is recommended.
Adverse Reactions
Side effects of Orphengesic Forte Tablets are those seen with aspirin and caffeine or those usually associated with mild anti-cholinergic agents. These may include tachycardia, palpitation, urinary hesitancy or retention, dry mouth, blurred vision, dilation of the pupil, increased intraocular tension, weakness, nausea, vomiting, headache, dizziness, constipation, drowsiness, and rarely, urticaria and other dermatosis. Infrequently, an elderly patient may experience some degree of confusion. Mild central excitation and occasional hallucinations may be observed. These mild side effects can usually be eliminated by reduction in dosage. One case of aplastic anemia associated with the use of orphenadrine citrate, aspirin and caffeine has been reported. No causal relationship has been established. Rare G.I. hemorrhage due to aspirin content may be associated with the administration of Orphengesic Forte Tablets. Some patients may experience transient episodes of light-headedness, dizziness or syncope.
Dosage & Administration
Orphengesic Forte: Adults 1/2 to 1 tablet 3 to 4 times daily.
How Supplied
Orphengesic ® Forte Tablets (Orphenadrine Citrate 50 mg, Aspirin 770 mg, and Caffeine 60 mg): Two-layered, white/green capsule shaped, bisected tablets debossed “GA” and “473” with bisect on the white side and plain on the green side are available in bottles of 60 tablets (NDC 61825-302-60).
Store below 30°C (86°F).
Rx Only
Manufactured for:
       
 
  
 Galt Pharmaceuticals
       
 
  
 Atlanta, GA  30339
      
 
500523-02
       
 
  
 Rev. 06/2020
      
 
* Please review the disclaimer below.
