Product Images Diphenoxylate Hydrochloride And Atropine Sulfate

View Photos of Packaging, Labels & Appearance

Product Label Images

The following 6 images provide visual information about the product associated with Diphenoxylate Hydrochloride And Atropine Sulfate NDC 61919-080 by Direct Rx, such as packaging, labeling, and the appearance of the drug itself. This resource could be helpful for medical professionals, pharmacists, and patients seeking to verify medication information and ensure they have the correct product.

image description - Label

image description - Label

EH o EIP:"EN. HCL/ATROPINE is a medication available in the form of tablets, which contains 2.5mg diphenoxylate hydrochloride and 0.025mg atropine sulfate USP. It is the generic version of LOMOTIL and used to treat diarrhea. However, it can cause drowsiness and dizziness, and the patient should avoid operating dangerous machinery. It is available only with a prescription, and the patient should keep it away from children. The rest of the text seems to be lot numbers and expiration dates.*

image description - Molecule

image description - Molecule

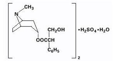
image description - Molecule2

image description - Molecule2

image description - Picture

image description - Picture

The text provides information about Greenstone® Brand. It is distributed by Greenstone LLC located in Peapack, NJ 07977. The document is labeled as LAB-0517-2.0 and dated May 2012.*

image description - Table1

image description - Table1

This is a medication that contains diphenoxylate hydrochloride of 25mg and atropine sulfate of 0.025mg. It is used to treat diarrhea.*

image description - Table2

image description - Table2

The text describes two items identified by their product codes. The first code is 59762-1061-1 and is associated with a "bottle of". The second code is 59762-1061-2 and is again a "bottle of", with a quantity of 1000. No further information is available.*

* The product label images have been analyzed using a combination of traditional computing and machine learning techniques. It should be noted that the descriptions provided may not be entirely accurate as they are experimental in nature. Use the information in this page at your own discretion and risk.