FDA Label for Vemlidy
View Indications, Usage & Precautions
- WARNING: POSTTREATMENT SEVERE ACUTE EXACERBATION OF HEPATITIS B
- 1 INDICATIONS AND USAGE
- 2.1 TESTING PRIOR TO INITIATION OF VEMLIDY
- 2.2 RECOMMENDED DOSAGE IN ADULTS
- 2.3 DOSAGE IN PATIENTS WITH RENAL IMPAIRMENT
- 2.4 DOSAGE IN PATIENTS WITH HEPATIC IMPAIRMENT
- 3 DOSAGE FORMS AND STRENGTHS
- 4 CONTRAINDICATIONS
- 5.1 SEVERE ACUTE EXACERBATION OF HEPATITIS B AFTER DISCONTINUATION OF TREATMENT
- 5.2 RISK OF DEVELOPMENT OF HIV-1 RESISTANCE IN PATIENTS COINFECTED WITH HBV AND HIV-1
- 5.3 NEW ONSET OR WORSENING RENAL IMPAIRMENT
- 5.4 LACTIC ACIDOSIS/SEVERE HEPATOMEGALY WITH STEATOSIS
- 6 ADVERSE REACTIONS
- 6.1 CLINICAL TRIALS EXPERIENCE
- OTHER
- 6.2 POSTMARKETING EXPERIENCE
- 7.1 POTENTIAL FOR OTHER DRUGS TO AFFECT VEMLIDY
- 7.2 DRUGS AFFECTING RENAL FUNCTION
- 7.3 ESTABLISHED AND OTHER POTENTIALLY SIGNIFICANT INTERACTIONS
- 7.4 DRUGS WITHOUT CLINICALLY SIGNIFICANT INTERACTIONS WITH VEMLIDY
- 8.4 PEDIATRIC USE
- 8.5 GERIATRIC USE
- 8.6 RENAL IMPAIRMENT
- 8.7 HEPATIC IMPAIRMENT
- 10 OVERDOSAGE
- 11 DESCRIPTION
- 12.1 MECHANISM OF ACTION
- 12.3 PHARMACOKINETICS
- 13.1 CARCINOGENESIS, MUTAGENESIS, IMPAIRMENT OF FERTILITY
- 13.2 ANIMAL TOXICOLOGY AND/OR PHARMACOLOGY
- 14.1 DESCRIPTION OF CLINICAL TRIALS
- 14.2 CLINICAL TRIALS IN ADULTS WITH CHRONIC HEPATITIS B VIRUS INFECTION AND COMPENSATED LIVER DISEASE
- 14.3 CLINICAL TRIALS IN VIROLOGICALLY SUPPRESSED ADULTS WITH CHRONIC HEPATITIS B VIRUS INFECTION WHO SWITCHED TO VEMLIDY
- 14.4 CLINICAL TRIAL IN ADULTS WITH CHRONIC HEPATITIS B VIRUS INFECTION AND RENAL IMPAIRMENT
- 16 HOW SUPPLIED/STORAGE AND HANDLING
- STORAGE AND HANDLING
- 17 PATIENT COUNSELING INFORMATION
- SPL PATIENT PACKAGE INSERT
- PACKAGE LABEL.PRINCIPAL DISPLAY PANEL
Vemlidy Product Label
The following document was submitted to the FDA by the labeler of this product Gilead Sciences, Inc.. The document includes published materials associated whith this product with the essential scientific information about this product as well as other prescribing information. Product labels may durg indications and usage, generic names, contraindications, active ingredients, strength dosage, routes of administration, appearance, warnings, inactive ingredients, etc.
Warning: Posttreatment Severe Acute Exacerbation Of Hepatitis B
Discontinuation of anti-hepatitis B therapy, including VEMLIDY, may result in severe acute exacerbations of hepatitis B. Hepatic function should be monitored closely with both clinical and laboratory follow-up for at least several months in patients who discontinue anti-hepatitis B therapy, including VEMLIDY. If appropriate, resumption of anti-hepatitis B therapy may be warranted [see Warnings and Precautions (5.1)].
1 Indications And Usage
VEMLIDY is indicated for the treatment of chronic hepatitis B virus (HBV) infection in adults with compensated liver disease [see Clinical Studies (14)].
2.1 Testing Prior To Initiation Of Vemlidy
Prior to initiation of VEMLIDY, patients should be tested for HIV-1 infection. VEMLIDY alone should not be used in patients with HIV-1 infection [see Warnings and Precautions (5.2)].
Prior to or when initiating VEMLIDY, and during treatment with VEMLIDY on a clinically appropriate schedule, assess serum creatinine, estimated creatinine clearance, urine glucose, and urine protein in all patients. In patients with chronic kidney disease, also assess serum phosphorus [see Warnings and Precautions (5.3)].
2.2 Recommended Dosage In Adults
The recommended dosage of VEMLIDY is 25 mg (one tablet) taken orally once daily with food [see Clinical Pharmacology (12.3)].
2.3 Dosage In Patients With Renal Impairment
No dosage adjustment of VEMLIDY is required in patients with estimated creatinine clearance greater than or equal to 15 mL per minute, or in patients with end stage renal disease (ESRD; estimated creatinine clearance below 15 mL per minute) who are receiving chronic hemodialysis. On days of hemodialysis, administer VEMLIDY after completion of hemodialysis treatment.
VEMLIDY is not recommended in patients with ESRD who are not receiving chronic hemodialysis [see Use in Specific Populations (8.6) and Clinical Pharmacology (12.3)].
2.4 Dosage In Patients With Hepatic Impairment
No dosage adjustment of VEMLIDY is required in patients with mild hepatic impairment (Child-Pugh A). VEMLIDY is not recommended in patients with decompensated (Child-Pugh B or C) hepatic impairment [see Use in Specific Populations (8.7) and Clinical Pharmacology (12.3)].
3 Dosage Forms And Strengths
Tablets: 25 mg of tenofovir alafenamide (equivalent to 28 mg of tenofovir alafenamide fumarate) — yellow, round, film-coated tablets, debossed with "GSI" on one side of the tablet and "25" on the other side.
4 Contraindications
None.
5.1 Severe Acute Exacerbation Of Hepatitis B After Discontinuation Of Treatment
Discontinuation of anti-hepatitis B therapy, including VEMLIDY, may result in severe acute exacerbations of hepatitis B. Patients who discontinue VEMLIDY should be closely monitored with both clinical and laboratory follow-up for at least several months after stopping treatment. If appropriate, resumption of anti-hepatitis B therapy may be warranted.
5.2 Risk Of Development Of Hiv-1 Resistance In Patients Coinfected With Hbv And Hiv-1
Due to the risk of development of HIV-1 resistance, VEMLIDY alone is not recommended for the treatment of HIV-1 infection. The safety and efficacy of VEMLIDY have not been established in patients coinfected with HBV and HIV-1. HIV antibody testing should be offered to all HBV-infected patients before initiating therapy with VEMLIDY, and, if positive, an appropriate antiretroviral combination regimen that is recommended for patients coinfected with HIV-1 should be used.
5.3 New Onset Or Worsening Renal Impairment
Postmarketing cases of renal impairment, including acute renal failure, proximal renal tubulopathy (PRT), and Fanconi syndrome have been reported with TAF-containing products; while most of these cases were characterized by potential confounders that may have contributed to the reported renal events, it is also possible these factors may have predisposed patients to tenofovir-related adverse events [see Adverse Reactions (6.2)].
Patients taking tenofovir prodrugs who have impaired renal function and those taking nephrotoxic agents, including non-steroidal anti-inflammatory drugs, are at increased risk of developing renal-related adverse reactions [see Drug Interactions (7.2)].
Prior to or when initiating VEMLIDY, and during treatment with VEMLIDY on a clinically appropriate schedule, assess serum creatinine, estimated creatinine clearance, urine glucose, and urine protein in all patients. In patients with chronic kidney disease, also assess serum phosphorus. Discontinue VEMLIDY in patients who develop clinically significant decreases in renal function or evidence of Fanconi syndrome [see Adverse Reactions (6.1) and Use in Specific Populations (8.6)].
5.4 Lactic Acidosis/Severe Hepatomegaly With Steatosis
Lactic acidosis and severe hepatomegaly with steatosis, including fatal cases, have been reported with the use of nucleoside analogs, including tenofovir disoproxil fumarate (TDF), another prodrug of tenofovir, alone or in combination with other antiretrovirals. Treatment with VEMLIDY should be suspended in any patient who develops clinical or laboratory findings suggestive of lactic acidosis or pronounced hepatotoxicity (which may include hepatomegaly and steatosis even in the absence of marked transaminase elevations).
6 Adverse Reactions
The following adverse reactions are discussed in other sections of the labeling:
- Severe Acute Exacerbation of Hepatitis B [see Warnings and Precautions (5.1)]
- New Onset or Worsening of Renal Impairment [see Warnings and Precautions (5.3)]
- Lactic Acidosis/Severe Hepatomegaly with Steatosis [see Warnings and Precautions (5.4)]
6.1 Clinical Trials Experience
Because clinical trials are conducted under widely varying conditions, adverse reaction rates observed in the clinical trials of a drug cannot be directly compared to rates in the clinical trials of another drug and may not reflect the rates observed in practice.
Other
Adverse Reactions in Adult Subjects with Chronic Hepatitis B and Compensated Liver Disease
The safety assessment of VEMLIDY was based on pooled data through the Week 96 data analysis from 1298 subjects in two randomized, double-blind, active-controlled trials, Trial 108 and Trial 110, in adult subjects with chronic hepatitis B and compensated liver disease. A total of 866 subjects received VEMLIDY 25 mg once daily [see Clinical Studies (14.2)]. Further safety assessment was based on pooled data from Trials 108 and 110 from subjects who continued to receive their original blinded treatment through Week 120 and additionally from subjects who received open-label VEMLIDY from Week 96 through Week 120 (n = 361 remained on VEMLIDY; n = 180 switched from TDF to VEMLIDY at Week 96).
Based on the Week 96 analysis, the most common adverse reaction (all Grades) reported in at least 10% of subjects in the VEMLIDY group was headache. The proportion of subjects who discontinued treatment with VEMLIDY or TDF due to adverse reactions of any severity was 1.5% and 0.9%, respectively. Table 1 displays the frequency of the adverse reactions (all Grades) greater than or equal to 5% in the VEMLIDY group.
| VEMLIDY (N=866) | TDF (N=432) | |
|---|---|---|
| Headache | 12% | 10% |
| Abdominal pain Grouped term including abdominal pain upper, abdominal pain, abdominal pain lower, and abdominal tenderness. | 9% | 6% |
| Cough | 8% | 8% |
| Back pain | 6% | 6% |
| Fatigue | 6% | 5% |
| Nausea | 6% | 6% |
| Arthralgia | 5% | 6% |
| Diarrhea | 5% | 5% |
| Dyspepsia | 5% | 5% |
Additional adverse reactions occurring in less than 5% of subjects in Trials 108 and 110 included vomiting, rash, and flatulence.
The safety profile of VEMLIDY in subjects who continued to receive blinded treatment through Week 120 was similar to that at Week 96. The safety profile of VEMLIDY in subjects who remained on VEMLIDY in the open-label phase through Week 120 was similar to that in subjects who switched from TDF to VEMLIDY at Week 96.
Renal Laboratory Tests
In a pooled analysis of Trials 108 and 110 in adult subjects with chronic hepatitis B and a median baseline estimated creatinine clearance between 106 and 105 mL per minute (for the VEMLIDY and TDF groups, respectively), mean serum creatinine increased by less than 0.1 mg/dL and median serum phosphorus decreased by 0.1 mg/dL in both treatment groups at Week 96. Median change from baseline to Week 96 in estimated creatinine clearance was -1.2 mL per minute in the VEMLIDY group and -4.8 mL per minute in those receiving TDF.
In subjects who remained on blinded treatment beyond Week 96 in Trials 108 and 110, change from baseline in renal laboratory parameter values in each group at Week 120 were similar to those at Week 96. In the open-label phase, median change in estimated creatinine clearance by Cockcroft-Gault method from Week 96 to Week 120 was -0.6 mL per minute in subjects who remained on VEMLIDY and +1.8 mL per minute in those who switched from TDF to VEMLIDY at Week 96. Mean serum creatinine and median serum phosphorus values at Week 120 were similar to those at Week 96 in subjects who remained on VEMLIDY and in subjects who switched from TDF to VEMLIDY.
The long-term clinical significance of these renal laboratory changes on adverse reaction frequencies between VEMLIDY and TDF is not known.
Bone Mineral Density Effects
In a pooled analysis of Trials 108 and 110, the mean percentage change in bone mineral density (BMD) from baseline to Week 96 as assessed by dual-energy X-ray absorptiometry (DXA) was -0.7% with VEMLIDY compared to -2.6% with TDF at the lumbar spine and -0.3% compared to -2.5% at the total hip. BMD declines of 5% or greater at the lumbar spine were experienced by 11% of VEMLIDY subjects and 25% of TDF subjects at Week 96. BMD declines of 7% or greater at the femoral neck were experienced by 5% of VEMLIDY subjects and 13% of TDF subjects at Week 96.
In subjects who remained on blinded treatment beyond Week 96 in Trials 108 and 110, mean percentage change in BMD in each group at Week 120 was similar to that at Week 96. In the open-label phase, mean percentage change in BMD from Week 96 to Week 120 in subjects who remained on VEMLIDY was 0.6% at the lumbar spine and 0% at the total hip, compared to 1.7% at the lumbar spine and 0.6% at the total hip in those who switched from TDF to VEMLIDY.
The long-term clinical significance of these BMD changes is not known.
Laboratory Abnormalities
The frequency of laboratory abnormalities (Grades 3–4) occurring in at least 2% of subjects receiving VEMLIDY in Trials 108 and 110 are presented in Table 2.
| Laboratory Parameter Abnormality Frequencies are based on treatment-emergent laboratory abnormalities. | VEMLIDY (N=866) | TDF (N=432) |
|---|---|---|
| ULN=Upper Limit of Normal | ||
| ALT (>5 × ULN) | 8% | 10% |
| LDL-cholesterol (fasted) (>190 mg/dL) | 6% | 1% |
| Glycosuria (≥3+) | 5% | 2% |
| AST (>5 × ULN) | 3% | 5% |
| Creatine Kinase (≥10 × ULN) | 3% | 3% |
| Serum Amylase (>2.0 × ULN) | 3% | 3% |
The overall incidence of blinded treatment ALT flares (defined as confirmed serum ALT greater than 2 × baseline and greater than 10 × ULN at 2 consecutive postbaseline visits, with or without associated symptoms) was similar between VEMLIDY (0.6%) and TDF (0.9%) through Week 96. ALT flares generally were not associated with coincident elevations in bilirubin, occurred within the first 12 weeks of treatment, and resolved without recurrence.
Based on the Week 120 analysis, the frequencies of lab abnormalities in subjects who remained on VEMLIDY in the open-label phase were similar to those in subjects who switched from TDF to VEMLIDY at Week 96.
Amylase and Lipase Elevations and Pancreatitis
At Week 96, in Trials 108 and 110, eight subjects treated with VEMLIDY with elevated amylase levels had associated symptoms, such as nausea, low back pain; abdominal tenderness, pain, and distension; and biliary pancreatitis and pancreatitis. Of these eight, two subjects discontinued VEMLIDY due to elevated amylase and/or lipase; one subject experienced recurrence of adverse events when VEMLIDY was restarted. No subject treated with TDF had associated symptoms or discontinued treatment.
From Week 96 to Week 120, one additional subject who continued open-label VEMLIDY and none of the subjects who switched from TDF to VEMLIDY had elevated amylase levels and associated symptoms.
Serum Lipids
Changes from baseline in total cholesterol, HDL-cholesterol, LDL-cholesterol, triglycerides, and total cholesterol to HDL ratio among subjects treated with VEMLIDY and TDF in Trials 108 and 110 are presented in Table 3.
| VEMLIDY (N=866) | TDF (N=432) | |||
|---|---|---|---|---|
| Baseline | Week 96 | Baseline | Week 96 | |
| mg/dL | Change The change from baseline is the mean of within-subject changes from baseline for subjects with both baseline and Week 96 values. | mg/dL | Change | |
| Total Cholesterol (fasted) | 188 [n=835] | -1 [n=742] | 193 [n=423] | -25 [n=368] |
| HDL-Cholesterol (fasted) | 60 [n=835] | -5 [n=740] | 61 [n=423] | -12 [n=368] |
| LDL-Cholesterol (fasted) | 116 [n=835] | +7 [n=741] | 120 [n=423] | -10 [n=368] |
| Triglycerides (fasted) | 102 [n=836] | +13 [n=743] | 102 [n=423] | -7 [n=368] |
| Total Cholesterol to HDL ratio | 3 [n=835] | 0 [n=740] | 3 [n=423] | 0 [n=368] |
In the open-label phase, lipid parameters at Week 120 in subjects who remained on VEMLIDY were similar to those at Week 96. In subjects who switched from TDF to VEMLIDY, mean change from Week 96 to Week 120 in total cholesterol was 23 mg/dL, HDL-cholesterol was 5 mg/dL, LDL-cholesterol was 16 mg/dL, triglycerides was 30 mg/dL, and total cholesterol to HDL ratio was 0 mg/dL.
Adverse Reactions in Virologically Suppressed Adult Subjects with Chronic Hepatitis B
The safety of VEMLIDY in virologically suppressed adults is based on Week 48 data from a randomized, double-blind, active-controlled trial (Trial 4018) in which subjects taking TDF at baseline were randomized to switch to VEMLIDY (N=243) or to continue their TDF treatment (N=245). Adverse reactions observed with VEMLIDY in Trial 4018 were similar to those in Trials 108 and 110 [see Clinical Studies (14.3)].
Renal Laboratory Tests, Bone Mineral Density Effects, and Serum Lipids
In virologically suppressed adults in Trial 4018, changes from baseline in renal function, BMD, and lipid parameters in the VEMLIDY and TDF groups at Week 48 were similar to those observed in Trials 108 and 110 at Week 96.
Adverse Reactions in Adult Subjects with Chronic Hepatitis B and Renal Impairment
In an open-label trial (Trial 4035) in virologically suppressed adult subjects with chronic hepatitis B switching to VEMLIDY 25 mg, the safety of VEMLIDY was assessed in 78 subjects with moderate to severe renal impairment (estimated creatinine clearance between 15 and 59 mL per minute by Cockcroft-Gault method; Part A, Cohort 1) and 15 subjects with ESRD (estimated creatinine clearance below 15 mL per minute) receiving chronic hemodialysis (Part A, Cohort 2). The safety of VEMLIDY, including changes from baseline in renal function, BMD, and lipid parameters, was similar to that observed in clinical trials of VEMLIDY in subjects with compensated liver disease but without renal impairment [see Use in Specific Populations (8.6) and Clinical Studies (14.4)].
Pregnancy Exposure Registry
There is a pregnancy exposure registry that monitors pregnancy outcomes in women exposed to VEMLIDY during pregnancy. Healthcare providers are encouraged to register patients by calling the Antiretroviral Pregnancy Registry (APR) at 1-800-258-4263.
Risk Summary
Available data from the APR show no significant difference in the overall risk of birth defects for tenofovir alafenamide (TAF) compared with the background rate for major birth defects of 2.7% in the U.S. reference population of the Metropolitan Atlanta Congenital Defects Program (MACDP) (see Data). The rate of miscarriage is not reported in the APR. The estimated background rate of miscarriage in clinically recognized pregnancies in the U.S. general population is 15% to 20%.
In animal studies, no adverse developmental effects were observed when tenofovir alafenamide was administered during the period of organogenesis at exposure equal to or 51 times (rats and rabbits, respectively) the tenofovir alafenamide exposure at the recommended daily dose of VEMLIDY (see Data). No adverse effects were observed in the offspring when TDF was administered through lactation at tenofovir exposures of approximately 12 times the exposure at the recommended daily dosage of VEMLIDY.
Data
Human Data
Based on prospective reports to the APR of exposures to TAF-containing regimens during pregnancy resulting in live births (including over 200 exposed in the first trimester and over 80 exposed in the second/third trimester), the prevalence of birth defects in live births was 5.2% (95% CI: 2.7% to 8.8%) and 1.2% (95% CI: 0% to 6.5%) following first and second/third trimester exposure, respectively, to TAF-containing regimens. Methodologic limitations of the APR include the use of MACDP as the external comparator group. The MACDP population is not disease-specific, evaluates women and infants from a limited geographic area, and does not include outcomes for births that occurred at <20 weeks gestation.
Animal Data
Embryonic fetal development studies performed in rats and rabbits revealed no evidence of impaired fertility or harm to the fetus. The embryo-fetal NOAELs (no observed adverse effect level) in rats and rabbits occurred at tenofovir alafenamide exposures similar to and 51 times higher than, respectively, the exposure in humans at the recommended daily dose. Tenofovir alafenamide is rapidly converted to tenofovir; the observed tenofovir exposure in rats and rabbits were 54 (rats) and 85 (rabbits) times higher than human tenofovir exposures at the recommended daily dose.
Tenofovir alafenamide was administered orally to pregnant rats (25, 100, or 250 mg/kg/day) and rabbits (10, 30, or 100 mg/kg/day) through organogenesis (on gestation days 6 through 17, and 7 through 20, respectively). No adverse embryo-fetal effects were observed in rats and rabbits at tenofovir alafenamide exposures approximately similar to (rats) and 51 (rabbits) times higher than the exposure in humans at the recommended daily dose of VEMLIDY. Tenofovir alafenamide is rapidly converted to tenofovir; the observed tenofovir exposures in rats and rabbits were 54 (rats) and 85 (rabbits) times higher than human tenofovir exposures at the recommended daily dose. Since tenofovir alafenamide is rapidly converted to tenofovir and a lower tenofovir exposure in rats and mice was observed after tenofovir alafenamide administration compared to TDF, another prodrug for tenofovir administration, a pre/postnatal development study in rats was conducted only with TDF. Doses up to 600 mg/kg/day were administered through lactation; no adverse effects were observed in the offspring on gestation day 7 [and lactation day 20] at tenofovir exposures of approximately 12 [18] times higher than the exposures in humans at the recommended daily dose of VEMLIDY.
Risk Summary
It is not known whether VEMLIDY and its metabolites are present in human breast milk, affect human milk production, or have effects on the breastfed infant. Tenofovir has been shown to be present in the milk of lactating rats and rhesus monkeys after administration of TDF (see Data). It is not known if tenofovir alafenamide can be present in animal milk. The developmental and health benefits of breastfeeding should be considered along with the mother's clinical need for VEMLIDY and any potential adverse effects on the breastfed infant from VEMLIDY or from the underlying maternal condition.
Data
Animal Data
Studies in rats and monkeys have demonstrated that tenofovir is secreted in milk. Tenofovir was excreted into the milk of lactating rats following oral administration of TDF (up to 600 mg/kg/day) at up to approximately 24% of the median plasma concentration in the highest dosed animals at lactation day 11 (see Data 8.1). Tenofovir was excreted into the milk of lactating monkeys following a single subcutaneous (30 mg/kg) dose of tenofovir at concentrations up to approximately 4% of plasma concentration, resulting in exposure (AUC) of approximately 20% of plasma exposure.
Cardiac Electrophysiology
In a thorough QT/QTc study in 48 healthy subjects, tenofovir alafenamide at the recommended dose or at a dose 5 times the recommended dose did not affect the QT/QTc interval and did not prolong the PR interval.
Specific Populations
Geriatric Patients, Race, and Gender
Limited data in subjects aged 65 years and over suggest a lack of clinically relevant differences in tenofovir alafenamide or tenofovir pharmacokinetics. No clinically relevant differences in tenofovir alafenamide or tenofovir pharmacokinetics due to race or gender have been identified [see Use in Specific Populations (8.5)].
Patients with Renal Impairment
In a Phase 1, open-label study, tenofovir alafenamide and tenofovir systemic exposures (AUCinf) were evaluated in subjects with severe renal impairment and in subjects with normal renal function (Table 7). In an open-label trial of elvitegravir/cobicistat/emtricitabine/tenofovir alafenamide 150/150/200/10 mg, tenofovir alafenamide and tenofovir AUC were evaluated in a subset of virologically suppressed HIV-1 infected subjects with ESRD receiving chronic hemodialysis (Table 7). In a Phase 2, open-label trial, tenofovir alafenamide and tenofovir AUC were evaluated in a subset of virologically suppressed HBV-infected subjects with ESRD receiving chronic hemodialysis (Table 7) [see Use in Specific Populations (8.6)]. The pharmacokinetics of tenofovir alafenamide were similar among subjects with normal renal function, subjects with severe renal impairment, and subjects with ESRD receiving chronic hemodialysis. Relative to those with normal renal function, increased tenofovir exposures were observed in subjects with severe renal impairment and subjects with ESRD receiving chronic hemodialysis. Within the chronic hemodialysis population, increased tenofovir exposures were observed in subjects with HBV relative to those with HIV.
| Estimated Creatinine Clearance By Cockcroft-Gault method. Mean (CV%) | ≥90 mL per minute 25 mg TAF (N=13) PK assessed on a single dose of TAF 25 mg in subjects with normal renal function and in subjects with severe renal impairment. | 15–29 mL per minute 25 mg TAF (N=14) | <15 mL per minute 25 mg TAF PK assessed on the day prior to hemodialysis of TAF 25 mg. These subjects from Study 4035 had a median baseline eGFR by Cockcroft-Gault of 7.2 mL/min (range, 4.8 to 12.0). (N=5) | <15 mL per minute 10 mg TAF Exposures from TAF 25 mg = exposures from TAF 10 mg as part of elvitegravir/cobicistat/emtricitabine/tenofovir alafenamide. PK assessed on the day prior to hemodialysis following 3 consecutive daily doses of elvitegravir/cobicistat/emtricitabine/tenofovir alafenamide. These subjects from Study 1825 had a median baseline eGFR by Cockcroft-Gault of 10.2 mL/min (range, 6.8 to 19.2) . (N=12) |
|---|---|---|---|---|
| CV = coefficient of variation | ||||
| Tenofovir alafenamide | ||||
| AUC (mcg∙hour per mL) | 0.27 (49.2) AUCinf. | 0.51 (47.3) | 0.30 (26.7) AUClast. | 0.23 (53.2) |
| Cmax (mcg per mL) | 0.20 (62.1) | 0.36 (65.7) | 0.23 (48.4) | 0.25 (75.4) |
| Tenofovir | ||||
| AUC (mcg∙hour per mL) | 0.34 (27.2) | 2.07 (47.1) | 18.8 (30.4) AUCtau. | 8.72 (39.4) N=10. |
| Cmax (mcg per mL) | 0.01 (36.5) | 0.03 (32.4) | 0.89 (26.4) | 0.44 (40.9) |
| C24h (mcg per mL) | 0.004 (25.6) | 0.02 (41.9) | 0.89 (26.4) | 0.26 (73.2) |
Patients with Hepatic Impairment
Tenofovir alafenamide and tenofovir pharmacokinetics are similar in subjects with mild (Child-Pugh Class A) hepatic impairment and in subjects with normal hepatic function.
HIV and/or Hepatitis C Virus Coinfection
The pharmacokinetics of tenofovir alafenamide have not been fully evaluated in subjects coinfected with HIV and/or hepatitis C virus.
Drug Interaction Studies
[see Drug Interactions (7)]
The effects of coadministered drugs on the exposure of tenofovir alafenamide are shown in Table 8. The effects of tenofovir alafenamide on the exposure of coadministered drugs are shown in Table 9 [For information regarding clinical recommendations, see Drug Interactions (7)]. Information regarding potential drug-drug interactions with HIV antiretrovirals is not provided (see the prescribing information for emtricitabine/tenofovir alafenamide for interactions with HIV antiretrovirals).
| Coadministered Drug | Dose of Coadministered Drug (mg) | Tenofovir Alafenamide (mg) | N | Geometric Mean Ratio of TAF Pharmacokinetic Parameters (90% CI) All no effect boundaries are 70%–143%. ;No effect = 1.00 | ||
|---|---|---|---|---|---|---|
| Cmax | AUC | Cmin | ||||
| NC = not calculated | ||||||
| Carbamazepine | 300 twice daily | 25 once daily Study conducted with emtricitabine/tenofovir alafenamide. | 26 | 0.43 (0.36, 0.51) | 0.45 (0.40, 0.51) | NC |
| Cobicistat A representative inhibitor of P-glycoprotein. | 150 once daily | 8 once daily | 12 | 2.83 (2.20, 3.65) | 2.65 (2.29, 3.07) | NC |
| Ledipasvir/ Sofosbuvir | 90/400 once daily | 25 once daily Study conducted with emtricitabine/rilpivirine/tenofovir alafenamide. | 42 | 1.03 (0.94, 1.14) | 1.32 (1.25, 1.40) | NC |
| Sertraline | 50 single dose | 10 once daily Study conducted with elvitegravir/cobicistat/emtricitabine/tenofovir alafenamide. | 19 | 1.00 (0.86, 1.16) | 0.96 (0.89, 1.03) | NC |
| Sofosbuvir/ Velpatasvir/ Voxilaprevir | 400/100/100+ 100 voxilaprevir Study conducted with additional voxilaprevir 100 mg to achieve voxilaprevir exposures expected in HCV-infected patients. once daily | 25 once daily | 30 | 1.32 (1.17, 1.48) | 1.52 (1.43, 1.61) | NC |
| Coadministered Drug | Dose of Coadministered Drug (mg) | Tenofovir Alafenamide (mg) | N | Geometric Mean Ratio of Coadministered Drug Pharmacokinetic Parameters (90% CI) All no effect boundaries are 70%–143%. ;No effect = 1.00 | ||
|---|---|---|---|---|---|---|
| Cmax | AUC | Cmin | ||||
| NC = not calculated | ||||||
| Ledipasvir | 90 ledipasvir / 400 sofosbuvir once daily | 25 once daily Study conducted with emtricitabine/rilpivirine/tenofovir alafenamide. | 41 | 1.01 (0.97, 1.05) | 1.02 (0.97, 1.06) | 1.02 (0.98, 1.07) |
| Sofosbuvir | 0.96 (0.89, 1.04) | 1.05 (1.01, 1.09) | NC | |||
| GS-331007 The predominant circulating nucleoside metabolite of sofosbuvir. | 1.08 (1.05, 1.11) | 1.08 (1.06, 1.10) | 1.10 (1.07, 1.12) | |||
| Midazolam A sensitive CYP3A4 substrate. | 2.5 single dose orally | 25 once daily | 18 | 1.02 (0.92, 1.13) | 1.13 (1.04, 1.23) | NC |
| 1 single dose IV | 0.99 (0.89, 1.11) | 1.08 (1.04, 1.14) | NC | |||
| Norelgestromin | norgestimate 0.180/0.215/0.250 once daily / ethinyl estradiol 0.025 once daily | 25 once daily Study conducted with emtricitabine/tenofovir alafenamide. | 29 | 1.17 (1.07, 1.26) | 1.12 (1.07, 1.17) | 1.16 (1.08, 1.24) |
| Norgestrel | 1.10 (1.02, 1.18) | 1.09 (1.01, 1.18) | 1.11 (1.03, 1.20) | |||
| Ethinyl estradiol | 1.22 (1.15, 1.29) | 1.11 (1.07, 1.16) | 1.02 (0.93, 1.12) | |||
| Sertraline | 50 single dose | 10 once daily Study conducted with elvitegravir/cobicistat/emtricitabine/tenofovir alafenamide. | 19 | 1.14 (0.94, 1.38) | 0.93 (0.77, 1.13) | NC |
| Sofosbuvir | 400 once daily | 25 once daily Study conducted with emtricitabine/rilpivirine/tenofovir alafenamide. | 30 | 0.95 (0.86, 1.05) | 1.01 (0.97, 1.06) | NC |
| GS-331007 | 1.02 (0.98, 1.06) | 1.04 (1.01, 1.06) | NC | |||
| Velpatasvir | 100 once daily | 1.05 (0.96, 1.16) | 1.01 (0.94, 1.07) | 1.01 (0.95, 1.09) | ||
| Voxilaprevir | 100+100 Study conducted with additional voxilaprevir 100 mg to achieve voxilaprevir exposures expected in HCV-infected patients. once daily | 0.96 (0.84, 1.11) | 0.94 (0.84, 1.05) | 1.02 (0.92, 1.12) | ||
Mechanism of Action
Tenofovir alafenamide is a phosphonamidate prodrug of tenofovir (2'-deoxyadenosine monophosphate analog). Tenofovir alafenamide as a lipophilic cell-permeant compound enters primary hepatocytes by passive diffusion and by the hepatic uptake transporters OATP1B1 and OATP1B3. Tenofovir alafenamide is then converted to tenofovir through hydrolysis primarily by carboxylesterase 1 (CES1) in primary hepatocytes. Intracellular tenofovir is subsequently phosphorylated by cellular kinases to the pharmacologically active metabolite tenofovir diphosphate. Tenofovir diphosphate inhibits HBV replication through incorporation into viral DNA by the HBV reverse transcriptase, which results in DNA chain-termination.
Tenofovir diphosphate is a weak inhibitor of mammalian DNA polymerases that include mitochondrial DNA polymerase γ and there is no evidence of toxicity to mitochondria in cell culture.
Antiviral Activity in Cell Culture
The antiviral activity of tenofovir alafenamide was assessed in a transient transfection assay using HepG2 cells against a panel of HBV clinical isolates representing genotypes A-H. The EC50 (50% effective concentration) values for tenofovir alafenamide ranged from 34.7 to 134.4 nM, with an overall mean EC50 value of 86.6 nM. The CC50 (50% cytotoxicity concentration) values in HepG2 cells were greater than 44,400 nM. In cell culture combination antiviral activity studies of tenofovir with the HBV nucleoside reverse transcriptase inhibitors entecavir, lamivudine, and telbivudine, no antagonistic activity was observed.
Resistance in Clinical Trials
Genotypic resistance analysis was performed on paired baseline and on-treatment HBV isolates for subjects who either experienced virologic breakthrough (2 consecutive visits with HBV DNA greater than or equal to 69 IU/mL [400 copies/mL] after having been less than 69 IU/mL, or 1.0-log10 or greater increase in HBV DNA from nadir) through Week 48, or had HBV DNA greater than or equal to 69 IU/mL at early discontinuation at or after Week 24.
In a pooled analysis of treatment-naïve and treatment-experienced subjects receiving VEMLIDY in Trials 108 and 110 [see Clinical Studies (14.2)], treatment-emergent amino acid substitutions in the HBV reverse transcriptase domain, all occurring at polymorphic positions, were observed in some HBV isolates evaluated (5/20); however, no specific substitutions occurred at a sufficient frequency to be associated with resistance to VEMLIDY.
In virologically suppressed subjects receiving VEMLIDY in Trial 4018 [see Clinical Studies (14.3)], no subjects qualified for resistance analysis through 48 weeks of VEMLIDY treatment.
Cross-Resistance
The antiviral activity of tenofovir alafenamide was evaluated against a panel of isolates containing substitutions associated with HBV nucleoside reverse transcriptase inhibitor resistance in a transient transfection assay using HepG2 cells. HBV isolates expressing the lamivudine resistance-associated substitutions rtM204V/I (±rtL180M±rtV173L) and expressing the entecavir resistance-associated substitutions rtT184G, rtS202G, or rtM250V in the presence of rtL180M and rtM204V showed less than 2-fold reduced susceptibility (within the inter-assay variability) to tenofovir alafenamide. HBV isolates expressing the rtA181T, rtA181V, or rtN236T single substitutions associated with resistance to adefovir also had less than 2-fold changes in EC50 values; however, the HBV isolate expressing the rtA181V plus rtN236T double substitutions exhibited reduced susceptibility (3.7-fold) to tenofovir alafenamide. The clinical relevance of these substitutions is not known.
Severe Acute Exacerbation of Hepatitis after Discontinuation of Treatment
Inform patients that discontinuation of anti-hepatitis B therapy, including VEMLIDY, may result in severe acute exacerbations of hepatitis B. Advise the patient to not discontinue VEMLIDY without first informing their healthcare provider [see Warnings and Precautions (5.1)].
Risk of Development of HIV-1 Resistance in Patients with HIV-1 Coinfection
Inform patients that if they have or develop HIV infection and are not receiving effective HIV treatment, VEMLIDY may increase the risk of development of resistance to HIV medication [see Dosage and Administration (2.1) and Warnings and Precautions (5.2)].
New Onset or Worsening Renal Impairment
Postmarketing cases of renal impairment, including acute renal failure, have been reported [see Warnings and Precautions (5.3)].
Lactic Acidosis and Severe Hepatomegaly
Lactic acidosis and severe hepatomegaly with steatosis, including fatal cases, have been reported with use of drugs similar to VEMLIDY. Advise patients to contact their healthcare provider immediately and stop VEMLIDY if they develop clinical symptoms suggestive of lactic acidosis or pronounced hepatotoxicity [see Warnings and Precautions (5.4)].
Drug Interactions
Advise patients to report to their healthcare provider the use of any other prescription or non-prescription medication or herbal products including St. John's wort, as VEMLIDY may interact with other drugs [see Drug Interactions (7)].
Missed Dosage
Inform patients that it is important to take VEMLIDY on a regular dosing schedule with food and to avoid missing doses, as it can result in development of resistance [see Dosage and Administration (2.2)].
Pregnancy Registry
Inform patients that there is an antiretroviral pregnancy registry to monitor fetal outcomes of pregnant women exposed to VEMLIDY [see Use in Specific Populations (8.1)].
Manufactured and distributed by: Gilead Sciences, Inc. Foster City, CA 94404
© 2021 Gilead Sciences, Inc. All rights reserved.
6.2 Postmarketing Experience
The following adverse reactions have been identified during post approval use of VEMLIDY or other products containing tenofovir alafenamide. Because these reactions are reported voluntarily from a population of uncertain size, it is not always possible to reliably estimate their frequency or establish a causal relationship to drug exposure.
Skin and Subcutaneous Tissue Disorders
Angioedema, urticaria
Renal and Urinary Disorders
Acute renal failure, acute tubular necrosis, proximal renal tubulopathy, and Fanconi syndrome
7.1 Potential For Other Drugs To Affect Vemlidy
VEMLIDY is a substrate of P-glycoprotein (P-gp) and BCRP. Drugs that strongly affect P-gp and BCRP activity may lead to changes in tenofovir alafenamide absorption (see Table 4). Drugs that induce P-gp activity are expected to decrease the absorption of tenofovir alafenamide, resulting in decreased plasma concentrations of tenofovir alafenamide, which may lead to loss of therapeutic effect of VEMLIDY. Coadministration of VEMLIDY with other drugs that inhibit P-gp and BCRP may increase the absorption and plasma concentration of tenofovir alafenamide.
7.2 Drugs Affecting Renal Function
Because tenofovir is primarily excreted by the kidneys by a combination of glomerular filtration and active tubular secretion, coadministration of VEMLIDY with drugs that reduce renal function or compete for active tubular secretion may increase concentrations of tenofovir and other renally eliminated drugs and this may increase the risk of adverse reactions. Some examples of drugs that are eliminated by active tubular secretion include, but are not limited to, acyclovir, cidofovir, ganciclovir, valacyclovir, valganciclovir, aminoglycosides (e.g., gentamicin), and high-dose or multiple NSAIDs [see Warnings and Precautions (5.3)].
7.3 Established And Other Potentially Significant Interactions
Table 4 provides a listing of established or potentially clinically significant drug interactions. The drug interactions described are based on studies conducted with tenofovir alafenamide or are predicted drug interactions that may occur with VEMLIDY [For magnitude of interaction, see Clinical Pharmacology (12.3)]. Information regarding potential drug-drug interactions with HIV antiretrovirals is not provided (see the prescribing information for emtricitabine/tenofovir alafenamide for interactions with HIV antiretrovirals). The table includes potentially significant interactions but is not all inclusive.
| Concomitant Drug Class: Drug Name | Effect on Concentration ↓ = decrease. | Clinical Comment |
|---|---|---|
| Anticonvulsants: Carbamazepine Indicates that a drug interaction study was conducted. P-gp inducer Oxcarbazepine Phenobarbital Phenytoin | ↓ tenofovir alafenamide | When coadministered with carbamazepine, the tenofovir alafenamide dose should be increased to two tablets once daily. Coadministration of VEMLIDY with oxcarbazepine, phenobarbital, or phenytoin is not recommended. |
| Antimycobacterials: Rifabutin Rifampin Rifapentine | ↓ tenofovir alafenamide | Coadministration of VEMLIDY with rifabutin, rifampin or rifapentine is not recommended. |
| Herbal Products: St. John's wort | ↓ tenofovir alafenamide | Coadministration of VEMLIDY with St. John's wort is not recommended. |
7.4 Drugs Without Clinically Significant Interactions With Vemlidy
Based on drug interaction studies conducted with VEMLIDY, no clinically significant drug interactions have been observed with: ethinyl estradiol, ledipasvir/sofosbuvir, midazolam, norgestimate, sertraline, sofosbuvir, sofosbuvir/velpatasvir, and sofosbuvir/velpatasvir/voxilaprevir.
8.4 Pediatric Use
Safety and effectiveness of VEMLIDY in pediatric patients less than 18 years of age have not been established.
8.5 Geriatric Use
In clinical trials, VEMLIDY was administered to 89 subjects aged 65 and over. No clinically significant differences in safety or efficacy have been observed between elderly subjects and subjects between 18 and less than 65 years of age.
8.6 Renal Impairment
No dosage adjustment of VEMLIDY is required in patients with mild, moderate, or severe renal impairment, or in patients with ESRD (estimated creatinine clearance below 15 mL per minute) who are receiving chronic hemodialysis. On days of hemodialysis, administer VEMLIDY after completion of hemodialysis treatment [see Dosage and Administration (2.3)].
The safety and efficacy of VEMLIDY in HBV-infected adult subjects with moderate to severe renal impairment (estimated creatinine clearance between 15 and 59 mL per minute by Cockcroft-Gault method) and ESRD (estimated creatinine clearance of less than 15 mL per minute by Cockcroft-Gault method) receiving chronic hemodialysis were evaluated in 78 and 15 subjects, respectively, in an open-label trial (Trial 4035, Part A). Overall, 98% of subjects achieved HBV DNA <20 IU/mL at Week 24 (Cohort 1, 97%; Cohort 2, 100%) and the safety of VEMLIDY was similar to that observed in clinical trials of VEMLIDY in subjects with compensated liver disease but without renal impairment [see Adverse Reactions (6.1) and Clinical Studies (14.4)].
The safety and efficacy of elvitegravir/cobicistat/emtricitabine/tenofovir alafenamide 150/150/200/10 mg was previously evaluated in 55 virologically suppressed HIV-1 infected subjects with ESRD receiving chronic hemodialysis in an open-label study (Trial 1825). Tenofovir alafenamide exposures are similar when comparing tenofovir alafenamide 25 mg and tenofovir alafenamide 10 mg as part of elvitegravir/cobicistat/emtricitabine/tenofovir alafenamide.
Among subjects with ESRD receiving chronic hemodialysis and administered tenofovir alafenamide, higher exposures of tenofovir were observed in HBV-infected subjects (Trial 4035 Part A) compared to HIV-infected subjects (Trial 1825). The clinical significance of these higher exposures is not established [see Clinical Pharmacology (12.3)].
VEMLIDY is not recommended in patients with ESRD (estimated creatinine clearance below 15 mL per minute by Cockcroft-Gault method) who are not receiving chronic hemodialysis as the safety of VEMLIDY has not been established in this population [see Dosage and Administration (2.3) and Clinical Pharmacology (12.3)].
8.7 Hepatic Impairment
No dosage adjustment of VEMLIDY is required in patients with mild hepatic impairment (Child-Pugh A). The safety and efficacy of VEMLIDY in patients with decompensated cirrhosis (Child-Pugh B or C) have not been established; therefore, VEMLIDY is not recommended in patients with decompensated (Child-Pugh B or C) hepatic impairment [see Dosage and Administration (2.4) and Clinical Pharmacology (12.3)].
10 Overdosage
If overdose occurs, monitor patient for evidence of toxicity. Treatment of overdosage with VEMLIDY consists of general supportive measures including monitoring of vital signs as well as observation of the clinical status of the patient. Tenofovir is efficiently removed by hemodialysis with an extraction coefficient of approximately 54%.
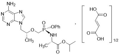
11 Description
VEMLIDY is a tablet containing tenofovir alafenamide for oral administration. Tenofovir alafenamide, a hepatitis B virus (HBV) nucleoside analog reverse transcriptase inhibitor, is converted in vivo to tenofovir, an acyclic nucleoside phosphonate (nucleotide) analog of adenosine 5′-monophosphate.
Each tablet contains 25 mg of tenofovir alafenamide (equivalent to 28 mg of tenofovir alafenamide fumarate). The tablets include the following inactive ingredients: croscarmellose sodium, lactose monohydrate, magnesium stearate, and microcrystalline cellulose. The tablets are film coated with a coating material containing: iron oxide yellow, polyethylene glycol, polyvinyl alcohol, talc, and titanium dioxide.
The chemical name of tenofovir alafenamide fumarate drug substance is L-alanine, N-[(S)-[[(1R)-2-(6-amino-9H-purin-9-yl)-1-methylethoxy]methyl]phenoxyphosphinyl]-, 1-methylethyl ester, (2E)-2-butenedioate (2:1).
It has an empirical formula of C21H29O5N6P∙½(C4H4O4) and a formula weight of 534.50. It has the following structural formula:
Tenofovir alafenamide fumarate is a white to off-white or tan powder with a solubility of 4.7 mg per mL in water at 20 °C.
12.1 Mechanism Of Action
Tenofovir alafenamide is an antiviral drug against the hepatitis B virus [see Microbiology (12.4)].
12.3 Pharmacokinetics
The pharmacokinetic properties of VEMLIDY are provided in Table 5. The multiple dose PK parameters of tenofovir alafenamide and its metabolite tenofovir are provided in Table 6.
| Tenofovir Alafenamide | |
|---|---|
| CES1 = carboxylesterase 1; PBMCs = peripheral blood mononuclear cells. | |
| Absorption | |
| Tmax (h) | 0.48 |
| Effect of high fat meal (relative to fasting): AUClast Ratio Values refer to geometric mean ratio in AUClast [fed/fasted] and (90% confidence interval). High fat meal = ~800 kcal, 50% fat. | 1.65 (1.51, 1.81) |
| Distribution | |
| % Bound to human plasma proteins | 80% |
| Source of protein binding data | Ex vivo |
| Blood-to-plasma ratio | 1.0 |
| Metabolism | |
| Metabolism In vivo, TAF is hydrolyzed within cells to form tenofovir (major metabolite), which is phosphorylated to the active metabolite, tenofovir diphosphate. In vitro studies have shown that TAF is metabolized to tenofovir by CES1 in hepatocytes, and by cathepsin A in PBMCs and macrophages. | CES1 (hepatocytes) Cathepsin A (PBMCs) CYP3A (minimal) |
| Elimination | |
| Major route of elimination | Metabolism (>80% of oral dose) |
| t1/2 (h) t1/2 values refer to median terminal plasma half-life. | 0.51 |
| % Of dose excreted in urine Dosing in mass balance study: TAF 25 mg (single dose administration of [14C] TAF). | <1 |
| % Of dose excreted in feces | 31.7 |
| Parameter Mean (CV%) | Tenofovir Alafenamide From Intensive PK analyses in Trial 108 and Trial 110; N = 8. | Tenofovir |
|---|---|---|
| CV = coefficient of variation; NA = not applicable | ||
| Cmax (microgram per mL) | 0.27 (63.3) | 0.03 (24.6) |
| AUCtau (microgram∙hour per mL) | 0.27 (47.8) | 0.40 (35.2) |
| Ctrough (microgram per mL) | NA | 0.01 (39.6) |
13.1 Carcinogenesis, Mutagenesis, Impairment Of Fertility
Since tenofovir alafenamide is rapidly converted to tenofovir and a lower tenofovir exposure in rats and mice was observed after tenofovir alafenamide administration compared to TDF administration, carcinogenicity studies were conducted only with TDF. Long-term oral carcinogenicity studies of TDF in mice and rats were carried out at exposures up to approximately 10 times (mice) and 4 times (rats) those observed in humans at the 300 mg therapeutic dose of TDF for chronic hepatitis B. The tenofovir exposure in these studies was approximately 151 times (mice) and 50 times (rat) those observed in humans after administration of VEMLIDY treatment. At the high dose in female mice, liver adenomas were increased at tenofovir exposures approximately 151 times those observed after VEMLIDY administration in humans. In rats, the study was negative for carcinogenic findings.
Tenofovir alafenamide was not genotoxic in the reverse mutation bacterial test (Ames test), mouse lymphoma or rat micronucleus assays.
There were no effects on fertility, mating performance or early embryonic development when tenofovir alafenamide was administered to male rats at a dose equivalent to 155 times the human dose based on body surface area comparisons for 28 days prior to mating and to female rats for 14 days prior to mating through Day 7 of gestation.
13.2 Animal Toxicology And/Or Pharmacology
Minimal to slight infiltration of mononuclear cells in the posterior uvea was observed in dogs with similar severity after three- and nine-month administration of tenofovir alafenamide; reversibility was seen after a three-month recovery period. At the NOAEL for eye toxicity, the systemic exposure in dogs was 5 (tenofovir alafenamide) and 14 (tenofovir) times the exposure seen in humans at the recommended daily VEMLIDY dosage.
14.1 Description Of Clinical Trials
The efficacy and safety of VEMLIDY were evaluated in the trials summarized in Table 10.
| Trial | Population | Trial Arms (N) | Primary Endpoint (Week) |
|---|---|---|---|
| TE = treatment-experienced, TN = treatment-naive | |||
| Trial 108 Randomized, double blind, active controlled trial. (NCT01940341) | HBeAg-negative TN and TE adults with compensated liver disease | VEMLIDY (285) TDF (140) | 48 |
| Trial 110 (NCT01940471) | HBeAg-positive TN and TE adults with compensated liver disease | VEMLIDY (581) TDF (292) | 48 |
| Trial 4018 (NCT02979613) | HBeAg-negative and HBeAg-positive virologically suppressed HBV DNA <20 IU/mL at screening. adults with compensated liver disease | VEMLIDY (243) TDF (245) | 48 |
| Trial 4035 (Part A, Cohort 1) Open-label trial. (NCT03180619) | Virologically suppressed Estimated creatinine clearance between 15 and 59 mL per minute by Cockcroft-Gault method. | VEMLIDY (78) | 24 |
| Trial 4035 (Part A, Cohort 2) (NCT03180619) | Virologically suppressed End stage renal disease (estimated creatinine clearance of below 15 mL per minute by Cockcroft-Gault method). receiving chronic hemodialysis | VEMLIDY (15) | 24 |
14.2 Clinical Trials In Adults With Chronic Hepatitis B Virus Infection And Compensated Liver Disease
The efficacy and safety of VEMLIDY in the treatment of adults with chronic hepatitis B virus infection with compensated liver disease are based on 48-week data from two randomized, double-blind, active-controlled trials, Trial 108 (N=425) and Trial 110 (N=873). In both trials, besides trial treatment, subjects were not allowed to receive other nucleosides, nucleotides, or interferon.
In Trial 108, HBeAg-negative treatment-naïve and treatment-experienced subjects with compensated liver disease (no evidence of ascites, hepatic encephalopathy, variceal bleeding, INR <1.5× ULN, total bilirubin <2.5× ULN, and albumin >3.0 mg/dL) were randomized in a 2:1 ratio to receive VEMLIDY 25 mg (N=285) once daily or TDF 300 mg (N=140) once daily for 48 weeks. The mean age was 46 years, 61% were male, 72% were Asian, 25% were White, 2% were Black, and 1% were other races. 24%, 38%, and 31% had HBV genotype B, C, and D, respectively. 21% were treatment experienced [previous treatment with oral antivirals, including entecavir (N=41), lamivudine (N=42), TDF (N=21), or other (N=18)]. At baseline, mean plasma HBV DNA was 5.8 log10 IU/mL, mean serum ALT was 94 U/L, and 9% of subjects had a history of cirrhosis.
In Trial 110, HBeAg-positive treatment-naïve and treatment-experienced subjects with compensated liver disease were randomized in a 2:1 ratio to receive VEMLIDY 25 mg (N=581) once daily or TDF 300 mg (N=292) once daily for 48 weeks. The mean age was 38 years, 64% were male, 82% were Asian, 17% were White, and 1% were Black or other races. 17%, 52%, and 23% had HBV genotype B, C, and D, respectively. 26% were treatment experienced [previous treatment with oral antivirals, including adefovir (N=42), entecavir (N=117), lamivudine (N=84), telbivudine (N=25), TDF (N=70), or other (n=17)]. At baseline, mean plasma HBV DNA was 7.6 log10 IU/mL, mean serum ALT was 120 U/L, and 7% of subjects had a history of cirrhosis.
In both trials, randomization was stratified on prior treatment history (nucleoside naïve or experienced) and baseline HBV DNA (<7, ≥7 to <8, and ≥8 log10 IU/mL in Trial 108; and <8 and ≥8 log10 IU/mL in Trial 110). The efficacy endpoint in both trials was the proportion of subjects with plasma HBV DNA levels below 29 IU/mL at Week 48. Additional efficacy endpoints include the proportion of subjects with ALT normalization, HBsAg loss and seroconversion, and HBeAg loss and seroconversion in Trial 110.
Treatment outcomes of Trials 108 and 110 at Week 48 are presented in Table 11 and Table 12.
| Trial 108 (HBeAg-Negative) | Trial 110 (HBeAg-Positive) | |||
|---|---|---|---|---|
| VEMLIDY (N=285) | TDF (N=140) | VEMLIDY (N=581) | TDF (N=292) | |
| HBV DNA <29 IU/mL | 94% | 93% | 64% | 67% |
| Treatment Difference Adjusted by baseline plasma HBV DNA categories and oral antiviral treatment status strata. | 1.8% (95% CI = -3.6% to 7.2%) | -3.6% (95% CI = -9.8% to 2.6%) | ||
| HBV DNA ≥29 IU/mL | 2% | 3% | 31% | 30% |
| Baseline HBV DNA | ||||
| <7 log10 IU/mL | 96% (221/230) | 92% (107/116) | N/A | N/A |
| ≥7 log10 IU/mL | 85% (47/55) | 96% (23/24) | ||
| Baseline HBV DNA | ||||
| <8 log10 IU/mL | N/A | N/A | 82% (254/309) | 82% (123/150) |
| ≥8 log10 IU/mL | 43% (117/272) | 51% (72/142) | ||
| Nucleoside Naïve Treatment-naïve subjects received <12 weeks of oral antiviral treatment with any nucleoside or nucleotide analog including TDF or VEMLIDY. | 94% (212/225) | 93% (102/110) | 68% (302/444) | 70% (156/223) |
| Nucleoside Experienced | 93% (56/60) | 93% (28/30) | 50% (69/137) | 57% (39/69) |
| No Virologic Data at Week 48 Includes subjects who discontinued due to lack of efficacy, adverse event or death, for reasons other than an AE, death or lack or loss of efficacy, e.g., withdrew consent, loss to follow-up, etc., or missing data during Week 48 window but still on study drug. | 4% | 4% | 5% | 3% |
In Trial 108, the proportion of subjects with cirrhosis who achieved HBV DNA <29 IU/mL at Week 48 was 92% (22/24) in the VEMLIDY group and 93% (13/14) in the TDF group. The corresponding proportions in Trial 110 were 63% (26/41) and 67% (16/24) in the VEMLIDY and TDF groups, respectively.
| Trial 108 (HBeAg-Negative) | Trial 110 (HBeAg-Positive) | |||
|---|---|---|---|---|
| VEMLIDY (N=285) | TDF (N=140) | VEMLIDY (N=581) | TDF (N=292) | |
| N/A = not applicable | ||||
| ALT | ||||
| Normalized ALT (Central Lab) The population used for analysis of ALT normalization included only subjects with ALT above upper limit of normal (ULN) of the central laboratory range (>43 U/L for males aged 18 to <69 years and >35 U/L for males ≥69 years; >34 U/L for females 18 to <69 years and >32 U/L for females ≥69 years) at baseline. | 83% | 75% | 72% | 67% |
| Normalized ALT (AASLD) The population used for analysis of ALT normalization included only subjects with ALT above ULN of the 2016 American Association of the Study of Liver Diseases (AASLD) criteria (>30 U/L males and >19 U/L females) at baseline. | 50% | 32% | 45% | 36% |
| Serology | ||||
| HBeAg Loss / Seroconversion The population used for serology analysis included only subjects with antigen (HBeAg) positive and anti-body (HBeAb) negative or missing at baseline. | N/A | N/A | 14% / 10% | 12% / 8% |
| HBsAg Loss / Seroconversion | 0 / 0 | 0 / 0 | 1% / 1% | <1% / 0 |
14.3 Clinical Trials In Virologically Suppressed Adults With Chronic Hepatitis B Virus Infection Who Switched To Vemlidy
The efficacy and safety of switching from TDF to VEMLIDY in virologically suppressed adults with chronic hepatitis B virus infection is based on 48-week data from a randomized, double-blind, active-controlled trial, Trial 4018 (N=488). Subjects must have been taking TDF 300 mg once daily for at least 12 months, with HBV DNA less than the Lower Limit of Quantitation by local laboratory assessment for at least 12 weeks prior to screening and HBV DNA <20 IU/mL at screening. Subjects were stratified by HBeAg status (HBeAg-positive or HBeAg-negative) and age (≥50 or <50 years) and randomized in a 1:1 ratio to either switch to VEMLIDY 25 mg once daily (N=243) or stay on TDF 300 mg once daily (N=245). The mean age was 51 years (22% were ≥60 years), 71% were male, 82% were Asian, 14% were White, and 68% were HBeAg-negative. At baseline, median duration of prior TDF treatment was 220 and 224 weeks in the VEMLIDY and TDF groups, respectively. At baseline, mean serum ALT was 27 U/L, and 16% of patients had a history of cirrhosis.
The primary efficacy endpoint was the proportion of subjects with plasma HBV DNA levels ≥20 IU/mL at Week 48. Additional efficacy endpoints in Trial 4018 included the proportion of subjects with HBV DNA <20 IU/mL, ALT normal and normalization, HBsAg loss and seroconversion, and HBeAg loss and seroconversion.
Treatment outcomes of Trial 4018 at Week 48 are presented in Table 13 and Table 14.
| VEMLIDY (N=243) | TDF (N=245) | |
|---|---|---|
| HBV DNA ≥20 IU/mL No subject discontinued treatment due to lack of efficacy. | <1% | <1% |
| Treatment Difference Adjusted by baseline age groups (< 50, ≥ 50 years) and baseline HBeAg status strata. | 0.0% (95% CI = -1.9% to 2.0%) | |
| HBV DNA <20 IU/mL | 96% | 96% |
| Treatment Difference | 0.0% (95% CI = -3.7% to 3.7%) | |
| No Virologic Data at Week 48 | 3% | 3% |
| Discontinued Study Drug Due to AE or Death and Last Available HBV DNA <20 IU/mL | 1% | 0 |
| Discontinued Study Drug Due to Other Reasons Includes subjects who discontinued for reasons other than an AE, death, or lack of efficacy, e.g., withdrew consent, loss to follow-up, etc. and Last Available HBV DNA <20 IU/mL | 2% | 3% |
| VEMLIDY (N=243) | TDF (N=245) | |
|---|---|---|
| ALT | ||
| Normal ALT (Central Lab) | 89% | 85% |
| Normal ALT (AASLD) | 79% | 75% |
| Normalized ALT (Central Lab) The population used for analysis of ALT normalization included only subjects with ALT above upper limit of normal (ULN) of the central laboratory range (>43 U/L for males 18 to <69 years and >35 U/L for males ≥69 years; >34 U/L for females 18 to <69 years and >32 U/L for females ≥69 years) at baseline. ,Proportion of subjects at Week 48: VEMLIDY, 16/32; TDF, 7/19. | 50% | 37% |
| Normalized ALT (AASLD) The population used for analysis of ALT normalization included only subjects with ALT above ULN of the 2018 American Association of the Study of Liver Diseases (AASLD) criteria (35 U/L males and 25 U/L females) at baseline. ,Proportion of subjects at Week 48: VEMLIDY, 26/52; TDF, 14/53. | 50% | 26% |
| Serology | ||
| HBeAg Loss / Seroconversion The population used for serology analysis included only subjects with antigen (HBeAg) positive and anti-body (HBeAb) negative or missing at baseline. | 8% / 3% | 6% / 0 |
| HBsAg Loss / Seroconversion | 0 / 0 | 2% / 0 |
14.4 Clinical Trial In Adults With Chronic Hepatitis B Virus Infection And Renal Impairment
In Trial 4035, Part A, the efficacy and safety of switching from TDF and/or other antivirals to VEMLIDY were evaluated in an open-label clinical trial of virologically suppressed chronic hepatitis B infected adults with moderate to severe renal impairment (estimated creatinine clearance between 15 and 59 mL per minute by Cockcroft-Gault method) (Cohort 1, N=78) or ESRD (estimated creatinine clearance below 15 mL per minute by Cockcroft-Gault method) on hemodialysis (Cohort 2, N=15). At baseline, 98% of subjects in Part A had baseline HBV DNA <20 IU/mL. Median age was 65 years, 74% were male, 77% were Asian, 16% were White, and 83% were HBeAg-negative. Previous treatment with oral antivirals included TDF (Cohort 1, N=57; Cohort 2, N=1), lamivudine (N=46), adefovir dipivoxil (N=46), and entecavir (N=43). At baseline, 97% and 95% of subjects had ALT ≤ULN based on central laboratory criteria and 2018 AASLD criteria, respectively; median estimated creatinine clearance by Cockcroft-Gault was 43 mL per minute (45 mL per minute in Cohort 1 and 7 mL per minute in Cohort 2); and 34% of subjects had a history of cirrhosis.
Overall, 98% of subjects achieved HBV DNA <20 IU/mL at Week 24 (Cohort 1, 97%; Cohort 2, 100%). Two subjects in Cohort 1 discontinued treatment early (due to subject decision); last available HBV DNA for both of these subjects was <20 IU/mL. The overall mean (SD) change from baseline in ALT values was +1 (11.3) U/L (Cohort 1, +1 [11.9] U/L; Cohort 2, +3 [7.9] U/L) at Week 24. No patient had HBeAg or HBsAg loss at Week 24. The mean (SD) changes in HBsAg level from baseline were -0.05 (0.122) log10 IU/mL (-0.05 [0.124] log10 IU/mL for Cohort 1 and -0.07 [0.115] log10 IU/mL for Cohort 2) at Week 24.
16 How Supplied/Storage And Handling
VEMLIDY tablets containing 25 mg of tenofovir alafenamide are yellow, round, film-coated, debossed with "GSI" on one side and "25" on the other side. Each bottle contains 30 tablets (NDC 61958-2301-1), a silica gel desiccant, polyester coil, and is closed with a child-resistant closure.
Storage And Handling
Store below 30 °C (86 °F).
- Keep container tightly closed.
- Dispense only in original container.
17 Patient Counseling Information
Advise the patient to read the FDA-approved patient labeling (Patient Information).
Spl Patient Package Insert
| This Patient Information has been approved by the U.S. Food and Drug Administration. | Revised: 03/2021 |
| Patient Information VEMLIDY® (VEM-lih-dee) (tenofovir alafenamide) tablets | |
| What is the most important information I should know about VEMLIDY? VEMLIDY can cause serious side effects, including:
| |
| What is VEMLIDY? VEMLIDY is a prescription medicine used to treat chronic (long-lasting) hepatitis B virus (HBV) in adults with stable (compensated) liver disease.
| |
| What should I tell my healthcare provider before taking VEMLIDY? Before taking VEMLIDY, tell your healthcare provider about all of your medical conditions, including if you:
Some medicines may affect how VEMLIDY works. | |
How should I take VEMLIDY?
| |
| What are the possible side effects of VEMLIDY? VEMLIDY may cause serious side effects, including:
These are not all the possible side effects of VEMLIDY. For more information, ask your healthcare provider or pharmacist. Call your doctor for medical advice about side effects. You may report side effects to FDA at 1-800-FDA-1088. | |
How should I store VEMLIDY?
| |
| General information about the safe and effective use of VEMLIDY. Medicines are sometimes prescribed for purposes other than those listed in a Patient Information leaflet. Do not use VEMLIDY for a condition for which it was not prescribed. Do not give VEMLIDY to other people, even if they have the same symptoms you have. It may harm them. If you would like more information, talk with your healthcare provider. You can ask your healthcare provider or pharmacist for information about VEMLIDY that is written for health professionals. | |
| What are the ingredients in VEMLIDY? Active ingredients: tenofovir alafenamide Inactive ingredients: croscarmellose sodium, lactose monohydrate, magnesium stearate, and microcrystalline cellulose. The tablets are film-coated with a coating material containing: iron oxide yellow, polyethylene glycol, polyvinyl alcohol, talc, and titanium dioxide. Manufactured and distributed by: Gilead Sciences, Inc. Foster City, CA 94404 VEMLIDY is a registered trademark of Gilead Sciences, Inc., or its related companies. © 2021 Gilead Sciences, Inc. All rights reserved. 208464-GS-006 For more information, call 1-800-445-3235 or go to www.VEMLIDY.com. | |
Package Label.Principal Display Panel
PRINCIPAL DISPLAY PANEL - 25 mg Tablet Bottle Label
NDC 61958- 2301-1
30 tablets
Vemlidy®
(tenofovir alafenamide)
tablets, 25 mg
Note to pharmacist:
Do not cover ALERT box with pharmacy label.
ALERT: Find out about medicines that
should NOT be taken with Vemlidy
* Please review the disclaimer below.

