FDA Label for Paroxetine
View Indications, Usage & Precautions
- WARNING: SUICIDAL THOUGHTS AND BEHAVIORS
- 1 INDICATIONS AND USAGE
- 2 DOSAGE AND ADMINISTRATION
- 2.1 IMPORTANT ADMINISTRATION INSTRUCTIONS
- 2.2 DOSAGE IN PATIENTS WITH MAJOR DEPRESSIVE DISORDER, PANIC DISORDER, AND SOCIAL ANXIETY DISORDER
- 2.3 DOSAGE IN PATIENTS WITH PREMENSTRUAL DYSPHORIC DISORDER
- 2.4 SCREEN FOR BIPOLAR DISORDER PRIOR TO STARTING PAROXETINE
- 2.5 DOSAGE MODIFICATIONS FOR ELDERLY PATIENTS, PATIENTS WITH SEVERE RENAL IMPAIRMENT AND PATIENTS WITH SEVERE HEPATIC IMPAIRMENT
- 2.6 SWITCHING PATIENTS TO OR FROM A MONOAMINE OXIDASE INHIBITOR ANTIDEPRESSANT
- 2.7 DISCONTINUATION OF TREATMENT WITH PAROXETINE
- 3 DOSAGE FORMS AND STRENGTHS
- 4 CONTRAINDICATIONS
- 5.1 SUICIDAL THOUGHTS AND BEHAVIORS IN ADOLESCENTS AND YOUNG ADULTS
- 5.2 SEROTONIN SYNDROME
- 5.3 DRUG INTERACTIONS LEADING TO QT PROLONGATION
- 5.4 EMBRYOFETAL AND NEONATAL TOXICITY
- 5.5 INCREASED RISK OF BLEEDING
- 5.6 ACTIVATION OF MANIA OR HYPOMANIA
- 5.7 DISCONTINUATION SYNDROME
- 5.8 SEIZURES
- 5.9 ANGLE-CLOSURE GLAUCOMA
- 5.10 HYPONATREMIA
- 5.11 REDUCTION OF EFFICACY OF TAMOXIFEN
- 5.12 BONE FRACTURE
- 5.13 SEXUAL DYSFUNCTION
- 6 ADVERSE REACTIONS
- 6.1 CLINICAL TRIALS EXPERIENCE
- 6.2 POSTMARKETING EXPERIENCE
- 7 DRUG INTERACTIONS
- 7.1 CLINICALLY SIGNIFICANT DRUG INTERACTIONS
- 8 USE IN SPECIFIC POPULATIONS
- 8.1 PREGNANCY
- 8.3 NURSING MOTHERS
- 8.4 PEDIATRIC USE
- 8.5 GERIATRIC USE
- 8.6 RENAL AND/OR HEPATIC IMPAIRMENT
- 10 OVERDOSAGE
- 11 DESCRIPTION
- 12 CLINICAL PHARMACOLOGY
- 12.1 MECHANISM OF ACTION
- 12.2 PHARMACODYNAMICS
- 12.3 PHARMACOKINETICS
- 13 NONCLINICAL TOXICOLOGY
- 13.1 CARCINOGENESIS, MUTAGENESIS, IMPAIRMENT OF FERTILITY
- 14 CLINICAL STUDIES
- 14.1 MAJOR DEPRESSIVE DISORDER
- 14.2 PANIC DISORDER
- 14.3 SOCIAL ANXIETY DISORDER
- 14.4 PREMENSTRUAL DYSPHORIC DISORDER
- 16 HOW SUPPLIED/STORAGE AND HANDLING
- 17 PATIENT COUNSELING INFORMATION
- PACKAGE LABEL.PRINCIPAL DISPLAY PANEL
Paroxetine Product Label
The following document was submitted to the FDA by the labeler of this product Chartwell Rx, Llc. The document includes published materials associated whith this product with the essential scientific information about this product as well as other prescribing information. Product labels may durg indications and usage, generic names, contraindications, active ingredients, strength dosage, routes of administration, appearance, warnings, inactive ingredients, etc.
Warning: Suicidal Thoughts And Behaviors
Antidepressants increased the risk of suicidal thoughts and behaviors in pediatric and young adult patients in short-term studies. Closely monitor all antidepressant-treated patients for clinical worsening, and for emergence of suicidal thoughts and behaviors [see Warnings and Precautions ( 5.1)] . Paroxetine is not approved for use in pediatric patients [see Use in Specific Populations ( 8.4)] .
1 Indications And Usage
Paroxetine is indicated in adults for the treatment of:
- Major depressive disorder (MDD)
- Panic disorder (PD)
- Social anxiety disorder (SAD)
- Premenstrual dysphoric disorder (PMDD)
2 Dosage And Administration
2.1 Important Administration Instructions
Administer Paroxetine as a single daily dose in the morning, with or without food. Swallow tablets whole and do not chew or crush.
2.2 Dosage In Patients With Major Depressive Disorder, Panic Disorder, And Social Anxiety Disorder
The recommended initial dosage and maximum dosage of Paroxetine in patients with MDD, PD, and SAD are presented in Table 1.
In patients with an inadequate response, dosage may be increased in increments of 12.5 mg per day at intervals of at least 1 week, depending on tolerability.
Table 1: Recommended Daily Dosage of Paroxetine in Patients with MDD, PD, and SAD
Indication | Starting Dose | Maximum Dose |
MDD | 25 mg | 62.5 mg |
PD | 12.5 mg | 75 mg |
SAD | 12.5 mg | 37.5 mg |
2.3 Dosage In Patients With Premenstrual Dysphoric Disorder
The recommended starting dosage in women with PMDD is 12.5 mg per day. Paroxetine may be administered either continuously (every day throughout the menstrual cycle) or intermittently (only during the luteal phase of the menstrual cycle, i.e., starting the daily dosage 14 days prior to the anticipated onset of menstruation and continuing through the onset of menses). Intermittent dosing is repeated with each new cycle.
In patients with an inadequate response, the dosage may be increased to the maximum recommended dosage of 25 mg per day, depending on tolerability. Institute dosage adjustments at intervals of at least 1 week.
2.4 Screen For Bipolar Disorder Prior To Starting Paroxetine
Prior to initiating treatment with Paroxetine or another antidepressant, screen patients for a personal or family history of bipolar disorder, mania, or hypomania [see Warnings and Precautions ( 5.6)] .
2.5 Dosage Modifications For Elderly Patients, Patients With Severe Renal Impairment And Patients With Severe Hepatic Impairment
The recommended initial dose of Paroxetine is 12.5 mg per day for elderly patients, patients with severe renal impairment, and patients with severe hepatic impairment. Reduce initial dose and increase up-titration intervals if necessary. Dosage should not exceed 50 mg per day for MDD or PD and should not exceed 37.5 mg per day for SAD [see Use in Specific Populations ( 8.5, 8.6)] .
2.6 Switching Patients To Or From A Monoamine Oxidase Inhibitor Antidepressant
At least 14 days must elapse between discontinuation of a monoamine oxidase inhibitor (MAOI) antidepressant and initiation of Paroxetine. In addition, at least 14 days must elapse after stopping Paroxetine before starting an MAOI antidepressant [see Contraindications ( 4), Warnings and Precautions ( 5.2)] .
2.7 Discontinuation Of Treatment With Paroxetine
Adverse reactions may occur upon discontinuation of Paroxetine [see Warnings and Precautions ( 5.6)] . Gradually reduce the dosage rather than stopping Paroxetine abruptly whenever possible.
3 Dosage Forms And Strengths
Paroxetine Extended-Release Tablets, USP are supplied as film-coated, extended-release, round convex tablets, as follows:
- 12.5 mg white tablets (debossed with “KU” on one side and “470” on the other)
- 25 mg pink tablets (debossed with “KU” on one side and “471” on the other)
- 37.5 mg blue tablets (debossed with “KU” on one side and “472” on the other)
4 Contraindications
Paroxetine is contraindicated in patients:
- Taking, or within 14 days of stopping, MAOIs (including the MAOIs linezolid and intravenous methylene blue) because of an increased risk of serotonin syndrome [see Warnings and Precautions ( 5.2), Drug Interactions ( 7)] .
- Taking thioridazine because of risk of QT prolongation [see Warnings and Precautions ( 5.3), Drug Interactions ( 7)] .
- Taking pimozide because of risk of QT prolongation [see Warnings and Precautions ( 5.3), Drug Interactions ( 7)] .
- With known hypersensitivity (e.g., anaphylaxis, angioedema, Stevens-Johnson syndrome) to paroxetine or to any of the inactive ingredients in Paroxetine [see Adverse Reactions ( 6.1, 6.2)] .
5.1 Suicidal Thoughts And Behaviors In Adolescents And Young Adults
In pooled analyses of placebo-controlled trials of antidepressant drugs (SSRIs and other antidepressant classes) that included approximately 77,000 adult patients and 4,500 pediatric patients, the incidence of suicidal thoughts and behaviors in antidepressant-treated patients age 24 years and younger was greater than in placebo-treated patients. There was considerable variation in risk of suicidal thoughts and behaviors among drugs, but there was an increased risk identified in young patients for most drugs studied. There were differences in absolute risk of suicidal thoughts and behaviors across the different indications, with the highest incidence in patients with MDD. The drug-placebo differences in the number of cases of suicidal thoughts and behaviors per 1000 patients treated are provided in Table 2.
Table 2: Risk Differences of the Number of Patients of Suicidal Thoughts and Behaviors in the Pooled Placebo-Controlled Trials of Antidepressants in Pediatric and Adult Patients
| Age Range | Drug-Placebo Difference in Number of Patients of Suicidal Thoughts and Behaviors per 1,000 Patients Treated |
| Increases Compared to Placebo | |
| <18 years old
| 14 additional patients
|
| 18-24 years old
| 5 additional patients
|
| Decreases Compared to Placebo | |
| 25-64 years old
| 1 fewer patient
|
| ≥65 years old
| 6 fewer patients
|
It is unknown whether the risk of suicidal thoughts and behaviors in children, adolescents, and young adults extends to longer-term use, i.e., beyond four months. However, there is substantial evidence from placebo-controlled maintenance trials in adults with MDD that antidepressants delay the recurrence of depression and that depression itself is a risk factor for suicidal thoughts and behaviors.
Monitor all antidepressant-treated patients for any indication for clinical worsening and emergence of suicidal thoughts and behaviors, especially during the initial few months of drug therapy, and at times of dosage changes. Counsel family members or caregivers of patients to monitor for changes in behavior and to alert the healthcare provider. Consider changing the therapeutic regimen, including possibly discontinuing Paroxetine, in patients whose depression is persistently worse, or who are experiencing emergent suicidal thoughts or behaviors.
5.2 Serotonin Syndrome
Serotonin-norepinephrine reuptake inhibitors (SNRIs) and SSRIs, including Paroxetine, can precipitate serotonin syndrome, a potentially life-threatening condition. The risk is increased with concomitant use of other serotonergic drugs (including triptans, tricyclic antidepressants, fentanyl, lithium, tramadol, tryptophan, buspirone, amphetamines, and St. John's Wort) and with drugs that impair metabolism of serotonin, i.e., MAOIs [see Contraindications ( 4), Drug Interactions ( 7.1)] . Serotonin syndrome can also occur when these drugs are used alone.
Serotonin syndrome signs and symptoms may include mental status changes (e.g., agitation, hallucinations, delirium, and coma), autonomic instability (e.g., tachycardia, labile blood pressure, dizziness, diaphoresis, flushing, hyperthermia), neuromuscular symptoms (e.g., tremor, rigidity, myoclonus, hyperreflexia, incoordination), seizures, and gastrointestinal symptoms (e.g., nausea, vomiting, diarrhea).
The concomitant use of Paroxetine with MAOIs is contraindicated. In addition, do not initiate Paroxetine in a patient being treated with MAOIs such as linezolid or intravenous methylene blue. No reports involved the administration of methylene blue by other routes (such as oral tablets or local tissue injection). If it is necessary to initiate treatment with an MAOI such as linezolid or intravenous methylene blue in a patient taking Paroxetine, discontinue Paroxetine before initiating treatment with the MAOI [see Contraindications ( 4), Drug Interactions ( 7.1)] .
Monitor all patients taking Paroxetine for the emergence of serotonin syndrome. Discontinue treatment with Paroxetine and any concomitant serotonergic agents immediately if the above symptoms occur, and initiate supportive symptomatic treatment. If concomitant use of Paroxetine with other serotonergic drugs is clinically warranted, inform patients of the increased risk for serotonin syndrome and monitor for symptoms.
5.3 Drug Interactions Leading To Qt Prolongation
The CYP2D6 inhibitory properties of paroxetine can elevate plasma levels of thioridazine and pimozide. Since thioridazine and pimozide given alone produce prolongation of the QTc interval and increase the risk of serious ventricular arrhythmias, the use of Paroxetine is contraindicated in combination with thioridazine and pimozide [see Contraindications ( 4), Drug Interactions ( 7), Clinical Pharmacology ( 12.3)] .
5.4 Embryofetal And Neonatal Toxicity
Paroxetine can cause fetal harm when administered to a pregnant woman. Epidemiological studies have shown that infants exposed to paroxetine in the first trimester of pregnancy have an increased risk of cardiovascular malformations. Exposure to paroxetine in late pregnancy may lead to an increased risk for persistent pulmonary hypertension of the newborn (PPNH) and/or neonatal complications requiring prolonged hospitalization, respiratory support, and tube feeding.
If Paroxetine is used during pregnancy, or if the patient becomes pregnant while taking Paroxetine, the patient should be apprised of the potential hazard to the fetus [see Use in Specific Populations ( 8.1)] .
5.5 Increased Risk Of Bleeding
Drugs that interfere with serotonin reuptake inhibition, including Paroxetine, increase the risk of bleeding events. Concomitant use of aspirin, nonsteroidal anti-inflammatory drugs (NSAIDS), other antiplatelet drugs, warfarin, and other anticoagulants may add to this risk. Case reports and epidemiological studies (case-control and cohort design) have demonstrated an association between use of drugs that interfere with serotonin reuptake and the occurrence of gastrointestinal bleeding. Bleeding events related to drugs that interfere with serotonin reuptake have ranged from ecchymoses, hematomas, epistaxis, and petechiae to life-threatening hemorrhages.
Inform patients about the increased risk of bleeding associated with the concomitant use of Paroxetine and antiplatelet agents or anticoagulants. For patients taking warfarin, carefully monitor the international normalized ratio.
5.6 Activation Of Mania Or Hypomania
In patients with bipolar disorder, treating a depressive episode with Paroxetine or another antidepressant may precipitate a mixed/manic episode. During controlled clinical trials of immediate-release paroxetine hydrochloride, hypomania or mania occurred in approximately 1% of paroxetine-treated unipolar patients compared to 1.1% of active-control and 0.3% of placebo-treated unipolar patients. Prior to initiating treatment with Paroxetine, screen patients for any personal or family history of bipolar disorder, mania, or hypomania.
5.7 Discontinuation Syndrome
Adverse reactions after discontinuation of serotonergic antidepressants, particularly after abrupt discontinuation, include: nausea, sweating, dysphoric mood, irritability, agitation, dizziness, sensory disturbances (e.g., paresthesia, such as electric shock sensations), tremor, anxiety, confusion, headache, lethargy, emotional lability, insomnia, hypomania, tinnitus, and seizures. A gradual reduction in dosage rather than abrupt cessation is recommended whenever possible [see Dosage and Administration ( 2.7)] .
Adverse reactions have been reported upon discontinuation of treatment with paroxetine in pediatric patients. The safety and effectiveness of Paroxetine in pediatric patients have not been established [see Boxed Warning, Warnings and Precautions ( 5.1), Use in Specific Populations ( 8.4)] .
5.8 Seizures
Paroxetine has not been systematically evaluated in patients with seizure disorders. Patients with history of seizures were excluded from clinical studies. Paroxetine should be prescribed with caution in patients with a seizure disorder and should be discontinued in any patient who develops seizures.
5.9 Angle-Closure Glaucoma
The pupillary dilation that occurs following use of many antidepressant drugs including Paroxetine may trigger an angle closure attack in a patient with anatomically narrow angles who does not have a patent iridectomy. Cases of angle-closure glaucoma associated with use of paroxetine hydrochloride tablets have been reported. Avoid use of antidepressants, including Paroxetine, in patients with untreated anatomically narrow angles.
5.10 Hyponatremia
Hyponatremia may occur as a result of treatment with SNRIs and SSRIs, including Paroxetine. Cases with serum sodium lower than 110 mmol/L have been reported. Signs and symptoms of hyponatremia include headache, difficulty concentrating, memory impairment, confusion, weakness, and unsteadiness, which may lead to falls. Signs and symptoms associated with more severe and/or acute cases have included hallucination, syncope, seizure, coma, respiratory arrest, and death. In many cases, this hyponatremia appears to be the result of the syndrome of inappropriate antidiuretic hormone secretion (SIADH).
In patients with symptomatic hyponatremia, discontinue Paroxetine and institute appropriate medical intervention. Elderly patients, patients taking diuretics, and those who are volume-depleted may be at greater risk of developing hyponatremia with SNRIs and SSRIs [see Use in Specific Populations ( 8.5)] .
5.11 Reduction Of Efficacy Of Tamoxifen
Some studies have shown that the efficacy of tamoxifen, as measured by the risk of breast cancer relapse/mortality, may be reduced with concomitant use of paroxetine as a result of paroxetine’s irreversible inhibition of CYP2D6 and lower blood levels of tamoxifen [see Drug Interactions ( 7.1)] . One study suggests that the risk may increase with longer duration of coadministration. However, other studies have failed to demonstrate such a risk. When tamoxifen is used for the treatment or prevention of breast cancer, prescribers should consider using an alternative antidepressant with little or no CYP2D6 inhibition.
5.12 Bone Fracture
Epidemiological studies on bone fracture risk during exposure to some antidepressants, including SSRIs, have reported an association between antidepressant treatment and fractures. There are multiple possible causes for this observation, and it is unknown to what extent fracture risk is directly attributable to SSRI treatment.
5.13 Sexual Dysfunction
Use of SSRIs, including Paroxetine, may cause symptoms of sexual dysfunction
[see Adverse Reactions (
6.1)]
. In male patients, SSRI use may result in ejaculatory delay or failure, decreased libido, and erectile dysfunction. In female patients, SSRI use may result in decreased libido and delayed or absent orgasm.
It is important for prescribers to inquire about sexual function prior to initiation of Paroxetine and to inquire specifically about changes in sexual function during treatment, because sexual function may not be spontaneously reported. When evaluating changes in sexual function, obtaining a detailed history (including timing of symptom onset) is important because sexual symptoms may have other causes, including the underlying psychiatric disorder. Discuss potential management strategies to support patients in making informed decisions about treatment.
6 Adverse Reactions
The following adverse reactions are included in more detail in other sections of the prescribing information:
- Hypersensitivity reactions to paroxetine [see Contraindications ( 4)]
- Suicidal Thoughts and Behaviors [see Warnings and Precautions ( 5.1)]
- Serotonin Syndrome [see Warnings and Precautions ( 5.2)]
- Embryofetal and Neonatal Toxicity [see Warnings and Precautions ( 5.4)]
- Increased Risk of Bleeding [see Warnings and Precautions ( 5.5)]
- Activation of Mania/Hypomania [see Warnings and Precautions ( 5.6)]
- Discontinuation Syndrome [see Warnings and Precautions ( 5.7)]
- Seizures [see Warnings and Precautions ( 5.8)]
- Angle-closure Glaucoma [see Warnings and Precautions ( 5.9)]
- Hyponatremia [see Warnings and Precautions ( 5.10)]
- Bone Fracture [see Warnings and Precautions ( 5.12)]
- Sexual Dysfunction [see Warnings and Precautions ( 5.13)]
6.1 Clinical Trials Experience
Because clinical trials are conducted under widely varying conditions, adverse reaction rates observed in the clinical trials of a drug cannot be directly compared to rates in the clinical trials of another drug and may not reflect the rates observed in practice.
Safety data for Paroxetine is from 11 short-term, placebo-controlled clinical trials including 3 studies in patients with major depressive disorder (MDD) (Studies 1, 2, and 3), 3 studies in patients with panic disorder (PD) (Studies 4, 5, and 6), 1 study in patients with social anxiety disorder (SAD) (Study 7), and 4 studies in female patients with premenstrual dysphoric disorder (PMDD) (Studies 8, 9, 10, and 11) [see Clinical Studies ( 14)] . These 11 trials included 1627 patients treated with Paroxetine.
- Studies 1 and 2 were 12-week studies that enrolled patients 18 to 65 years old who received Paroxetine at doses ranging from 25 mg to 62.5 mg once daily. Study 3 was a 12-week study in patients 60 to 88 years old who received Paroxetine at doses ranging from 12.5 mg to 50 mg once daily.
- Studies 4, 5, and 6 were 10-week studies in patients 19 to 72 years old who received Paroxetine at doses ranging from 12.5 mg to 75 mg once daily.
- Study 7 was a 12-week study that enrolled adult patients who received Paroxetine at doses ranging from 12.5 mg to 37.5 mg once daily.
- Studies 8, 9, and 10 were 12-week, placebo-controlled trials in female patients 18 to 46 years old who received Paroxetine at doses of 12.5 mg or 25 mg once daily. Study 11 was a 12-week placebo-controlled trial in patients 18 to 46 years old who received Paroxetine 2 weeks prior to the onset of menses (luteal phase dosing) at doses of 12.5 mg or 25 mg once daily.
Adverse Reactions Leading to Discontinuation in Patients with MDD, PD, SAD, and PMDD
In pooled studies in patients with MDD, PD and SAD, the most common adverse reactions leading to study withdrawal were: nausea (up to 4% of patients), asthenia, headache, depression, insomnia, and abnormal liver function tests (each occurring in up to 2% of patients), and dizziness, somnolence, and diarrhea (each occurring in up to 1% of patients).
In pooled studies for PMDD, the most common adverse reactions leading to study withdrawal were: nausea (occurring in up to 6% of patients), asthenia (occurring in up to 5% of patients), somnolence (occurring in up to 4% of patients), insomnia (occurring in approximately 2% of patients); and impaired concentration, dry mouth, dizziness, decreased appetite, sweating, tremor, yawn and diarrhea (occurring in less than or equal to 2% of patients).
Adverse Reactions in MDD, PD, and SAD
Table 3 presents the most common adverse reactions in Paroxetine-treated patients (incidence ≥5% and greater than placebo within at least 1 of the indications) in controlled trials in patients with MDD, PD, and SAD.
| MDD 18 to 65 year olds | MDD ≥60 years old | Panic Disorder | Social Anxiety Disorder | |||||
| Body System/ Adverse Reaction
| Paroxetine (N=212)
% | Placebo (N=211)
% | Paroxetine (N=104)
% | Placebo (N=109)
% | Paroxetine (N=444)
% | Placebo (N=445)
% | Paroxetine (N=186)
% | Placebo (N=184)
% |
| Body as a Whole | ||||||||
| Headache
| 27
| 20
| 17
| 13
| NA
| NA
| 23
| 17
|
| Asthenia
| 14
| 9
| 15
| 14
| 15
| 10
| 18
| 7
|
| Abdominal Pain
| 7
| 4
| -
| -
| 6
| 4
| 5
| 4
|
| Back Pain
| 5
| 3
| -
| -
| NA
| NA
| 4
| 1
|
| Digestive System | ||||||||
| Nausea
| 22
| 10
| -
| -
| 23
| 17
| 22
| 6
|
| Diarrhea
| 18
| 7
| 15
| 9
| 12
| 9
| 9
| 8
|
| Dry Mouth
| 15
| 8
| 18
| 7
| 13
| 9
| 3
| 2
|
| Constipation
| 10
| 4
| 13
| 5
| 9
| 6
| 5
| 2
|
| Flatulence
| 6
| 4
| -
| -
| NA
| NA
| NA
| NA
|
| Decreased Appetite
| 2
| 12
| 5
| 8
| 6
| 1
| <1
| |
| Dyspepsia
| NA
| NA
| 13
| 10
| NA
| NA
| 2
| <1
|
| Musculoskel etal System | ||||||||
| Myalgia
| NA
| NA
| -
| -
| 5
| 3
| NA
| NA
|
| Nervous System | ||||||||
| Somnolence
| 22
| 8
| 21
| 12
| 20
| 9
| 9
| 4
|
| Insomnia
| 17
| 9
| 10
| 8
| 20
| 11
| 9
| 4
|
| Dizziness
| 14
| 4
| 9
| 5
| NA
| NA
| 7
| 4
|
| Libido Decreased
| 7
| 3
| 8
| <1
| 9
| 4
| 1
| |
| Nervousness
| NA
| NA
| -
| -
| 8
| 7
| NA
| NA
|
| Tremor
| 7
| 1
| 7
| 0
| 8
| 2
| 4
| 2
|
| Anxiety
| NA
| NA
| -
| -
| 5
| 4
| 2
| 1
|
| Respiratory System | ||||||||
| Sinusitis
| NA
| NA
| -
| -
| 8
| 5
| NA
| NA
|
| Yawn
| 0
| -
| -
| 3
| 0
| 2
| 0
| |
| Skin and Appendages | ||||||||
| Sweating
| 6
| 2
| 10
| <1
| 7
| 2
| 14
| 3
|
| Special Senses | ||||||||
| Abnormal Vision
a | 5
| 1
| -
| -
| 3
| <1
| 2
| 0
|
| Urogenital System | ||||||||
| Abnormal Ejaculation
b,c | 26
| 1
| 17
| 3
| 27
| 3
| 15
| 1
|
| Female Genital Disorder
b,d | 10
| <1
| -
| -
| 7
| 1
| 3
| 0
|
| Impotence
b | 5
| 3
| 9
| 3
| 10
| 1
| 9
| 0
|
Hyphen = the reaction listed occurred in <5% of patients treated with Paroxetine
NA = the adverse reaction listed did not occur in this group of patients
a Mostly blurred vision
b Based on the number of males or females
c Mostly anorgasmia or delayed ejaculation
d Mostly anorgasmia or delayed orgasm
Other Adverse Reactions Observed During the Premarketing Evaluation of Paroxetine
Adverse reactions from studies in MDD (not including Study 3 in elderly patients), PD, and SAD that occurred between 1% and 5% of patients treated with Paroxetine and at a rate greater than in placebo-treated patients include:, allergic reaction, tachycardia, vasodilatation, hypertension, migraine, vomiting, weight loss, weight gain, hypertonia, paresthesia, agitation, confusion, myoclonus, concentration impaired, depression, rhinitis, cough increased, bronchitis, photosensitivity, eczema, taste perversion, UTI, menstrual disorder, urinary frequency, urination impaired, and vaginitis.
Adverse Reactions in Patients with PMDD
Table 4 displays adverse reactions that occurred (incidence of 5% or more and greater than placebo within at least 1 of the studies) in patients treated with Paroxetine in Studies 8, 9, 10, and 11.
Table 4. Adverse Reactions (≥5% of Patients Treated with Paroxetine and Greater than Placebo) in Pooled Studies PMDD (Studies 8, 9, 11), and in Study 10 a,b,c
Body System/ Adverse Reaction | % Reporting Adverse Reaction | |||
Continuous Dosing Studies 8 ,9, and 10 | Luteal Phase Dosing Study 11 | |||
Paroxetine (n=681) % | Placebo (n=349) % | Paroxetine (n=246) % | Placebo (n=120) % | |
Body as a Whole | ||||
Asthenia | 17 | 6 | 15 | 4 |
Headache | 15 | 12 | NA | NA |
Infection | 6 | 4 | NA | NA |
Digestive System | ||||
Nausea | 17 | 7 | 18 | 2 |
Diarrhea | 6 | 2 | 6 | 0 |
Constipation | 5 | 1 | 2 | <1 |
Nervous System | ||||
Libido Decreased | 12 | 5 | 9 | 6 |
Somnolence | 9 | 2 | 3 | <1 |
Insomnia | 8 | 2 | 7 | 3 |
Dizziness | 7 | 3 | 6 | 3 |
Tremor | 4 | <1 | 5 | 0 |
Skin and Appendages | ||||
Sweating | 7 | <1 | 6 | <1 |
Urogenital System | ||||
Female Genital Disorders c | 8 | 1 | 2 | 0 |
NA= the adverse reaction information is not available in this population.
a <1% means greater than zero and less than 1%.
b The luteal phase and continuous dosing PMDD trials were not designed for making direct comparisons between the 2 dosing regimens.
c Mostly anorgasmia or difficulty achieving orgasm.
Dose Dependent Adverse Reactions
Comparison of the incidence of adverse reactions (placebo vs. 12.5 mg Paroxetine vs. 25 mg Paroxetine) from studies 8, 9, 10 showed the following adverse reactions to be dose-related: Nausea, somnolence, sweating, dry mouth, dizziness, decreased appetite, tremor, impaired concentration, yawn, paresthesia, hyperkinesia, and vaginitis.
Male and Female Sexual Dysfunction
Although changes in sexual desire, sexual performance, and sexual satisfaction often occur as manifestations of a psychiatric disorder, they may also be a consequence of SSRI treatment. However, reliable estimates of the incidence and severity of untoward experiences involving sexual desire, performance, and satisfaction are difficult to obtain, in part because patients and healthcare providers may be reluctant to discuss them. Accordingly, estimates of the incidence of untoward sexual experience and performance cited in labeling may underestimate their actual incidence.
The percentage of patients reporting symptoms of sexual dysfunction in the Studies 1 and 2 (nonelderly patients with MDD), 4, 5, 6, 7, 8, 9, 10, and 11 are presented in Table 5:
| Studies 1 and 2 % | Studies 4, 5, and 6 % | Study 7 % | Studies 8, 9, and 11 (Continuous Dosing) % | Study 10 (Luteal Phase Dosing) % | ||||||
| Paroxetine | Placebo | Paroxetine | Placebo | Paroxetine | Placebo | Paroxetine | Placebo | Paroxetine | Placebo | |
| n (males) | 78 | 78 | 162 | 194 | 88 | 97 | NA | NA | NA | NA |
| Decreased Libido
| 10
| 5
| 9
| 6
| 13
| 1
| NA
| NA
| NA
| NA
|
| Abnormal Ejaculation
| 26
| 1
| 27
| 3
| 15
| 1
| NA
| NA
| NA
| NA
|
| Impotence
| 5
| 3
| 10
| 1%
| 9
| 0
| NA
| NA
| NA
| NA
|
| n (females) | 134 | 133 | 282 | 251 | 98 | 87 | 681 | 349 | 246 | 120 |
| Decreased Libido
| 4
| 2
| 8
| 2
| 4
| 1
| 12
| 5
| 9
| 6
|
| Orgasmic Disturbance
| 10
| <1
| 7
| 1
| 3
| 0
| 8
| 1
| 2
| 0
|
NA = the adverse reaction listed did not occur in this group of patients.
Paroxetine treatment has been associated with several cases of priapism. In those cases with a known outcome, patients recovered without sequelae.
Less Common Adverse Reactions
The following adverse reactions occurred during the clinical studies of Paroxetine and are not included elsewhere in the labeling.
Reactions are categorized by body system and listed in order of decreasing frequency according to the following definitions: Frequent adverse reactions are those occurring on 1 or more occasions in at least 1/100 patients; infrequent adverse reactions are those occurring in 1/100 to 1/1,000 patients; rare reactions are those occurring in fewer than 1/1,000 patients.
Cardiovascular System: Infrequent was postural hypotension.
Hemic and Lymphatic System: Rare was thrombocytopenia.
Metabolic and Nutritional Disorders: Infrequent were generalized edema and hypercholesteremia.
Nervous System: Infrequent were convulsion, akathisia, and manic reaction.
Psychiatric: Infrequent were hallucinations.
Skin and Appendages: Frequent was rash; infrequent was urticaria; rare was angioedema and erythema multiforme.
Urogenital System: Infrequent was urinary retention; rare was urinary incontinence.
6.2 Postmarketing Experience
The following reactions have been identified during post approval use of paroxetine. Because these reactions are reported voluntarily from a population of unknown size, it is not always possible to reliably estimate their frequency or establish a causal relationship to drug exposure.
Acute pancreatitis, elevated liver function tests (the most severe cases were deaths due to liver necrosis, and grossly elevated transaminases associated with severe liver dysfunction), Guillain-Barré syndrome, Stevens-Johnson syndrome, toxic epidermal necrolysis, priapism, syndrome of inappropriate ADH secretion (SIADH), prolactinemia and galactorrhea; extrapyramidal symptoms which have included akathisia, bradykinesia, cogwheel rigidity, dystonia, hypertonia, trismus; status epilepticus, acute renal failure, pulmonary hypertension, allergic alveolitis, anaphylaxis, eclampsia, laryngismus, optic neuritis, porphyria, restless legs syndrome (RLS), ventricular fibrillation, ventricular tachycardia (including torsade de pointes), hemolytic anemia, events related to impaired hematopoiesis (including aplastic anemia, pancytopenia, bone marrow aplasia, and agranulocytosis), and vasculitic syndromes (such as Henoch-Schönlein purpura).
7 Drug Interactions
7.1 Clinically Significant Drug Interactions
Table 6 includes clinically significant drug interactions with Paroxetine.
| Monoamine Oxidase Inhibitors (MAOIs) | |
| Clinical Impact | The concomitant use of SSRIs, including Paroxetine, and MAOIs increases the risk of serotonin syndrome.
|
| Intervention | Paroxetine is contraindicated in patients taking MAOIs, including MAOIs such as linezolid or intravenous methylene blue
[see Dosage and Administration (
2.6), Contraindications (
4), Warnings and Precautions (
5.2)]
.
|
| Examples | selegiline, tranylcypromine, isocarboxazid, phenelzine, linezolid, methylene blue
|
| Pimozide and Thioridazine | |
| Clinical Impact | Increased plasma concentrations of pimozide and thioridazine, drugs with a narrow therapeutic index, may increase the risk of QTc prolongation and ventricular arrhythmias.
|
| Intervention | Paroxetine is contraindicated in patients taking pimozide or thioridazine
[see Contraindications (
4)].
|
| Other Serotonergic Drugs | |
| Clinical Impact | The concomitant use of serotonergic drugs with Paroxetine increases the risk of serotonin syndrome.
|
| Intervention | Monitor patients for signs and symptoms of serotonin syndrome, particularly during treatment initiation and dosage increases. If serotonin syndrome occurs, consider discontinuation of Paroxetine and/or concomitant serotonergic drugs
[see Warnings and Precautions (
5.2)]
.
|
| Examples | other SSRIs, SNRIs, triptans, tricyclic antidepressants, fentanyl, lithium, tramadol, tryptophan, buspirone, St. John's Wort
|
| Drugs that Interfere with Hemostasis (antiplatelet agents and anticoagulants) | |
| Clinical Impact | The concurrent use of an antiplatelet agent or anticoagulant with Paroxetine may potentiate the risk of bleeding.
|
| Intervention | Inform patients of the increased risk of bleeding associated with the concomitant use of Paroxetine and antiplatelet agents and anticoagulants. For patients taking warfarin, carefully monitor the international normalized ratio
[see Warnings and Precautions (
5.5)]
.
|
| Examples | aspirin, clopidogrel, heparin, warfarin
|
| Drugs Highly Bound to Plasma Protein | |
| Clinical Impact | Paroxetine is highly bound to plasma protein. The concomitant use of Paroxetine with another drug that is highly bound to plasma protein may increase free concentrations of Paroxetine or other tightly-bound drugs in plasma
. |
| Intervention | Monitor for adverse reactions and reduce dosage of Paroxetine or other protein-bound drugs as warranted.
|
| Examples | warfarin
|
| Drugs Metabolized by CYP2D6 | |
| Clinical Impact | Paroxetine is a CYP2D6 inhibitor
[see Clinical Pharmacology (
12.3)].
The concomitant use of Paroxetine with a CYP2D6 substrate may increase the exposure of the CYP2D6 substrate.
|
| Intervention | Decrease the dosage of a CYP2D6 substrate if needed with concomitant Paroxetine use. Conversely, an increase in dosage of a CYP2D6 substrate may be needed if Paroxetine is discontinued.
|
| Examples | propafenone, flecainide, atomoxetine, desipramine, dextromethorphan, metoprolol, nebivolol, perphenazine, tolterodine, venlafaxine, risperidone.
|
| Tamoxifen | |
| Clinical Impact | Concomitant use of tamoxifen with Paroxetine may lead to reduced plasma concentrations of the active metabolite (endoxifen) and reduced efficacy of tamoxifen
|
| Intervention | Consider use of an alternative antidepressant little or no CYP2D6 inhibition
[see Warnings and Precautions (
5.11)].
|
| Fosamprenavir/Ritonavir | |
| Clinical Impact | Co-administration of fosamprenavir/ritonavir with paroxetine significantly decreased plasma levels of paroxetine.
|
| Intervention | Any dose adjustment should be guided by clinical effect (tolerability and efficacy).
|
8 Use In Specific Populations
8.1 Pregnancy
Pregnancy Category D [see Warnings and Precautions ( 5.4)]
Epidemiological studies have shown that infants exposed to paroxetine in the first trimester of pregnancy have an increased risk of congenital malformations, particularly cardiovascular malformations. If paroxetine is used during pregnancy, or if the patient becomes pregnant while taking paroxetine, advise the patient of the potential hazard to the fetus.
- A study based on Swedish national registry data demonstrated that infants exposed to paroxetine during pregnancy (n = 815) had an increased risk of cardiovascular malformations (2% risk in paroxetine-exposed infants) compared to the entire registry population (1% risk), for an odds ratio (OR) of 1.8 (95% confidence interval 1.1 to 2.8). No increase in the risk of overall congenital malformations was seen in the paroxetine-exposed infants. The cardiac malformations in the paroxetine-exposed infants were primarily ventricular septal defects (VSDs) and atrial septal defects (ASDs). Septal defects range in severity from those that resolve spontaneously to those which require surgery.
- A separate retrospective cohort study from the United States (United Healthcare data) evaluated 5,956 infants of mothers dispensed antidepressants during the first trimester (n = 815 for paroxetine). This study showed a trend towards an increased risk for cardiovascular malformations for paroxetine (risk of 1.5%) compared to other antidepressants (risk of 1%), for an OR of 1.5 (95% confidence interval 0.8 to 2.9). Of the 12 paroxetine-exposed infants with cardiovascular malformations, 9 had VSDs. This study also suggested an increased risk of overall major congenital malformations including cardiovascular defects for paroxetine (4% risk) compared to other (2% risk) antidepressants (OR 1.8; 95% confidence interval 1.2 to 2.8).
- Two large case-control studies using separate databases, each with >9,000 birth defect cases and >4,000 controls, found that maternal use of paroxetine during the first trimester of pregnancy was associated with a 2- to 3-fold increased risk of right ventricular outflow tract obstructions. In one study the OR was 2.5 (95% confidence interval, 1.0 to 6.0, 7 exposed infants) and in the other study the OR was 3.3 (95% confidence interval, 1.3 to 8.8, 6 exposed infants).
Other studies have found varying results as to whether there was an increased risk of overall, cardiovascular, or specific congenital malformations. A meta-analysis of epidemiological data over a 16-year period (1992 to 2008) on first trimester paroxetine use in pregnancy and congenital malformations included the above-noted studies in addition to others (n = 17 studies that included overall malformations and n = 14 studies that included cardiovascular malformations; n = 20 distinct studies). While subject to limitations, this meta-analysis suggested an increased occurrence of cardiovascular malformations (prevalence odds ratio [POR] 1.5; 95% confidence interval 1.2 to 1.9) and overall malformations (POR 1.2; 95% confidence interval 1.1 to 1.4) with paroxetine use during the first trimester. It was not possible in this meta-analysis to determine the extent to which the observed prevalence of cardiovascular malformations might have contributed to that of overall malformations, nor was it possible to determine whether any specific types of cardiovascular malformations might have contributed to the observed prevalence of all cardiovascular malformations.
Unless the benefits of paroxetine to the mother justify continuing treatment, consideration should be given to either discontinuing paroxetine therapy or switching to another antidepressant [see Warnings and Precautions ( 5.7)] . For women who intend to become pregnant or are in their first trimester of pregnancy, paroxetine should only be initiated after consideration of the other available treatment options [see Warnings and Precautions ( 5.4)] .
Treatment of Pregnant Women During Their Third Trimester:
Neonates exposed to SSRIs or serotonin and norepinephrine reuptake inhibitors (SNRIs), including Paroxetine, late in the third trimester have developed complications requiring prolonged hospitalization, respiratory support, and tube feeding. Such complications can arise immediately upon delivery. Reported clinical findings have included respiratory distress, cyanosis, apnea, seizures, temperature instability, feeding difficulty, vomiting, hypoglycemia, hypotonia, hypertonia, hyperreflexia, tremor, jitteriness, irritability, and constant crying. These features are consistent with either a direct toxic effect of SSRIs and SNRIs or, possibly, a drug discontinuation syndrome. It should be noted that, in some cases, the clinical picture is consistent with serotonin syndrome [see Warnings and Precautions ( 5.2)] .
Exposure to SSRIs in late pregnancy may have an increased risk for persistent pulmonary hypertension of the newborn (PPHN). PPHN occurs in 1 – 2 per 1,000 live births in the general population and is associated with substantial neonatal morbidity and mortality. In a retrospective case-control study of 377 women whose infants were born with PPHN and 836 women whose infants were born healthy, the risk for developing PPHN was approximately six-fold higher for infants exposed to SSRIs after the 20th week of gestation compared to infants who had not been exposed to antidepressants during pregnancy.
There have also been postmarketing reports of premature births in pregnant women exposed to paroxetine or other SSRIs.
When treating a pregnant woman with paroxetine during the third trimester, the physician should carefully consider both the potential risks and benefits of treatment [see Dosage and Administration ( 2.5)] . A prospective longitudinal study of 201 women with a history of major depression who were euthymic at the beginning of pregnancy. The women who discontinued antidepressant medication during pregnancy were more likely to experience a relapse of major depression than women who continued antidepressant medication.
Animal Findings:
Reproduction studies were performed at doses up to 50 mg/kg/day in rats and 6 mg/kg/day in rabbits administered during organogenesis. These doses are approximately 6 (rat) and less than 2 (rabbit) times the maximum recommended human dose (MRHD – 75 mg) on an mg/m 2 basis. These studies have revealed no evidence of malformations. However, in rats, there was an increase in pup deaths during the first 4 days of lactation when dosing occurred during the last trimester of gestation and continued throughout lactation. This effect occurred at a dose of 1 mg/kg/day or approximately one-thirteens of the MRHD on an mg/m 2 basis. The no-effect dose for rat pup mortality was not determined. The cause of these deaths is not known.
8.3 Nursing Mothers
Like many other drugs, paroxetine is secreted in human milk. Because of the potential for serious adverse reactions in nursing infants from Paroxetine, a decision should be made whether to discontinue nursing or to discontinue the drug, taking into account the importance of the drug to the mother.
8.4 Pediatric Use
The safety and effectiveness of Paroxetine in pediatric patients have not been established [see Boxed Warning, Warnings and Precautions ( 5.1)] .
Three placebo-controlled trials in 752 pediatric patients with MDD have been conducted with immediate-release paroxetine, and effectiveness was not established in pediatric patients.
Decreased appetite and weight loss have been observed in association with the use of SSRIs. In placebo-controlled clinical trials conducted with pediatric patients, the following adverse reactions were reported in at least 2% of pediatric patients treated with immediate-release paroxetine hydrochloride and at a rate at least twice that for pediatric patients receiving placebo: emotional lability (including self-harm, suicidal thoughts, attempted suicide, crying, and mood fluctuations), hostility, decreased appetite, tremor, sweating, hyperkinesia, and agitation.
Adverse reactions upon discontinuation of treatment with immediate-release paroxetine hydrochloride in the pediatric clinical trials that included a taper phase regimen, which occurred in at least 2% of patients and at a rate at least twice that of placebo, were: emotional lability (including suicidal ideation, suicide attempt, mood changes, and tearfulness), nervousness, dizziness, nausea, and abdominal pain.
8.5 Geriatric Use
SSRIs and SNRIs, including Paroxetine, have been associated with cases of clinically significant hyponatremia in elderly patients, who may be at greater risk for this adverse reaction [see Warnings and Precautions ( 5.9)] .
In premarketing clinical trials with immediate-release paroxetine hydrochloride, 17% of paroxetine treated patients (approximately 700) were 65 years or older. Pharmacokinetic studies revealed a decreased clearance in the elderly, and a lower starting dose is recommended; however, no overall differences in safety or effectiveness were observed between these subjects and younger subjects [see Dosage and Administration ( 2.5), Clinical Pharmacology ( 12.3)] .
8.6 Renal And/Or Hepatic Impairment
Increased plasma concentrations of paroxetine occur in patients with renal and hepatic impairment. The initial dosage should be reduced in patients with severe renal impairment and patients with severe hepatic impairment [see Dosage and Administration ( 2.5) and Clinical Pharmacology ( 12.3)] .
10 Overdosage
The following have been reported with paroxetine tablet overdosage:
- Seizures, which may be delayed, and altered mental status including coma.
- Cardiovascular toxicity, which may be delayed, including QRS and QTc interval prolongation. Hypertension most commonly seen, but rarely can see hypotension alone or with co-ingestants including alcohol.
- Serotonin syndrome (patients with a multiple drug overdosage with other proserotonergic drugs may have a higher risk).
Gastrointestinal decontamination with activated charcoal should be considered in patients who present early after a paroxetine overdose.
Consider contacting a Poison Center (1-800-222-1222) or a medical toxicologist for additional overdosage management recommendations.
11 Description
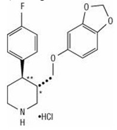
Paroxetine Extended-Release Tablets, USP contain paroxetine hydrochloride, an SSRI. It is the hydrochloride salt of a phenylpiperidine compound identified chemically as (-)- trans-4 R-(4'-fluorophenyl)-3 S-[(3',4'-methylenedioxyphenoxy) methyl] piperidine hydrochloride hemihydrate and has the empirical formula of C 19H 20FNO 3•HCl• ½ H 2O. The molecular weight is 374.8 g/mol (329.4 g/mol as free base). The structural formula of paroxetine hydrochloride is:
Paroxetine hydrochloride is an odorless, off-white powder, having a melting point range of 120° C to 138°C and a solubility of 5.4 mg/mL in water.
Paroxetine Extended-Release Tablets, USP are intended for oral administration. Each enteric, film-coated, extended-release tablet contains paroxetine hydrochloride equivalent to paroxetine as follows: 12.5 mg–white, 25 mg–pink and 37.5 mg–blue.
Inactive ingredients consist of hypromellose, lactose monohydrate, magnesium stearate, methacrylic acid and ethyl acrylate copolymer dispersion, polyethylene glycols, polyvinyl alcohol, povidone, silicon dioxide, talc, titanium dioxide, triethyl citrate. In addition, the 25 mg and 37.5 mg colorant contains FD&C Blue No. 2 aluminum lake. In addition, the 25 mg colorant also contains carmine.
Paroxetine meets USP Dissolution Test 3.
12 Clinical Pharmacology
12.1 Mechanism Of Action
The mechanism of action of paroxetine in the treatment of major depressive disorder (MDD), panic disorder (PD), social anxiety disorder (SAD), and premenstrual dysphoric disorder (PMDD) is unknown, but is presumed to be linked to potentiation of serotonergic activity in the central nervous system resulting from inhibition of neuronal reuptake of serotonin (5-HT).
12.2 Pharmacodynamics
Studies at clinically relevant doses in humans have demonstrated that paroxetine blocks the uptake of serotonin into human platelets. In vitro studies in animals also suggest that paroxetine is a potent and highly selective inhibitor of neuronal serotonin reuptake (SSRI) and has only very weak effects on norepinephrine and dopamine neuronal reuptake.
12.3 Pharmacokinetics
Absorption
Tablets of Paroxetine contain a degradable polymeric matrix designed to control the dissolution rate of paroxetine over a period of approximately 4 to 5 hours. In addition to controlling the rate of drug release in vivo, an enteric coat delays the start of drug release until tablets of Paroxetine have left the stomach.
Paroxetine extended-release tablets are completely absorbed after oral dosing of a solution of the hydrochloride salt. In a study in which normal male and female subjects (n = 23) received single oral doses of Paroxetine at 4 dosage strengths (12.5 mg, 25 mg, 37.5 mg, and 50 mg), paroxetine C max and AUC 0-inf increased disproportionately with dose (as seen also with immediate-release formulations). Mean C max and AUC 0-inf values at these doses were 2.0, 5.5, 9.0, and 12.5 ng/mL, and 121, 261, 338, and 540 ng•hr. /mL, respectively. T max was observed typically between 6 and 10 hours post-dose, reflecting a reduction in absorption rate compared with immediate-release formulations. The bioavailability of 25 mg Paroxetine is not affected by food.
Distribution
Paroxetine distributes throughout the body, including the CNS, with only 1% remaining in the plasma.
Approximately 95% and 93% of paroxetine is bound to plasma protein at 100 ng/mL and 400 ng/mL, respectively. Under clinical conditions, paroxetine concentrations would normally be less than 400 ng/mL. Paroxetine does not alter the in vitro protein binding of phenytoin or warfarin.
Elimination
Metabolism
The mean elimination half-life of paroxetine was 15 to 20 hours throughout a range of single doses of Paroxetine (12.5 mg, 25 mg, 37.5 mg, and 50 mg). During repeated administration of Paroxetine (25 mg once daily), steady state was reached within 2 weeks (i.e., comparable to immediate-release formulations). In a repeat-dose study in which normal male and female subjects (n = 23) received Paroxetine (25 mg daily), mean steady state C max, C min, and AUC 0-24 values were 30 ng/mL, 20 ng/mL, and 550 ng•hr./mL, respectively.
Based on studies using immediate-release formulations, steady-state drug exposure based on AUC 0-24was several-fold greater than would have been predicted from single-dose data. The excess accumulation is a consequence of the fact that 1 of the enzymes that metabolizes paroxetine is readily saturable.
In steady-state dose proportionality studies involving elderly and nonelderly patients, at doses of the immediate-release formulation of 20 mg to 40 mg daily for the elderly and 20 mg to 50 mg daily for the nonelderly, some nonlinearity was observed in both populations, again reflecting a saturable metabolic pathway (Figure 3).
Paroxetine is extensively metabolized after oral administration. The principal metabolites are polar and conjugated products of oxidation and methylation, which are readily cleared. Conjugates with glucuronic acid and sulfate predominate, and major metabolites have been isolated and identified. Data indicate that the metabolites have no more than 1/50 the potency of the parent compound at inhibiting serotonin uptake. The metabolism of paroxetine is accomplished in part by CYP2D6. Saturation of this enzyme at clinical doses appears to account for the nonlinearity of paroxetine kinetics with increasing dose and increasing duration of treatment. The role of this enzyme in paroxetine metabolism also suggests potential drug-drug interactions [see Drug Interactions ( 7.1)] .
Excretion
Approximately 64% of a 30-mg oral solution dose of paroxetine was excreted in the urine with 2% as the parent compound and 62% as metabolites over a 10-day post-dosing period. About 36% was excreted in the feces (probably via the bile), mostly as metabolites and less than 1% as the parent compound over the 10-day post-dosing period.
The elimination half-life is approximately 15 to 20 hours after a single dose of Paroxetine. Paroxetine metabolism is mediated in part by CYP2D6, and the metabolites are primarily excreted in the urine and to some extent in the feces. Pharmacokinetic behavior of paroxetine has not been evaluated in subjects who are deficient in CYP2D6 (poor metabolizers).
Drug Interaction Studies
There are clinically significant, known drug interactions between paroxetine and other drugs [see Drug Interactions ( 7)] .
Figure 1. Impact of Paroxetine on the Pharmacokinetics of Co-Administered Drugs (log scale)
Figure 2. Impact of Co-Administered Drugs on the Pharmacokinetics of Paroxetine
Theophylline:
Reports of elevated theophylline levels associated with immediate-release paroxetine treatment have been reported. While this interaction has not been formally studied, it is recommended that theophylline levels be monitored when these drugs are concurrently administered.
Drugs Metabolized by Cytochrome CYP3A4
An in vivo interaction study involving the coadministration under steady-state conditions of paroxetine and terfenadine, a substrate for CYP3A4, revealed no effect of paroxetine on terfenadine pharmacokinetics. In addition, in vitro studies have shown ketoconazole, a potent inhibitor of CYP3A4 activity, to be at least 100 times more potent than paroxetine as an inhibitor of the metabolism of several substrates for this enzyme, including terfenadine, astemizole, cisapride, triazolam, and cyclosporine. Paroxetine’s extent of inhibition of CYP3A4 activity is not expected to be of clinical significance.
Specific Populations
The impact of specific populations on the pharmacokinetics of paroxetine are shown in Figure 3.
Figure 3. Impact of Specific Population on the Pharmacokinetics of Paroxetine (log scale)
13 Nonclinical Toxicology
13.1 Carcinogenesis, Mutagenesis, Impairment Of Fertility
Carcinogenesis
Two-year carcinogenicity studies were conducted in rodents given paroxetine in the diet at 1, 5, and 25 mg/kg/day (mice) and 1, 5, and 20 mg/kg/day (rats). These doses are up to approximately 1.6 (mouse) and 2.5 (rat) times the MRHD on an mg/m 2 basis. There was a significantly greater number of male rats in the high-dose group with reticulum cell sarcomas (1/100, 0/50, 0/50, and 4/50 for control, low-, middle-, and high-dose groups, respectively) and a significantly increased linear trend across dose groups for the occurrence of lymphoreticular tumors in male rats. Female rats were not affected. Although there was a dose-related increase in the number of tumors in mice, there was no drug-related increase in the number of mice with tumors. The relevance of these findings to humans is unknown.
Mutagenesis
Paroxetine produced no genotoxic effects in a battery of 5 in vitro and 2 in vivo assays that included the following: Bacterial mutation assay, mouse lymphoma mutation assay, unscheduled DNA synthesis assay, and tests for cytogenetic aberrations in vivo in mouse bone marrow and in vitro in human lymphocytes and in a dominant lethal test in rats.
Impairment of Fertility
Some clinical studies have shown that SSRIs (including paroxetine) may affect sperm quality during SSRI treatment, which may affect fertility in some men. A reduced pregnancy rate was found in reproduction studies in rats at a dose of paroxetine of 15 mg/kg/day, which is approximately twice the MRHD on an mg/m 2 basis. Irreversible lesions occurred in the reproductive tract of male rats after dosing in toxicity studies for 2 to 52 weeks. These lesions consisted of vacuolation of epididymal tubular epithelium at 50 mg/kg/day and atrophic changes in the seminiferous tubules of the testes with arrested spermatogenesis at 25 mg/kg/day (approximately 6 and 3 times the MRHD on an mg/m 2 basis).
14 Clinical Studies
14.1 Major Depressive Disorder
The efficacy of Paroxetine as a treatment for major depressive disorder (MDD) was established in two 12-week, multicenter, randomized, double-blind, placebo-controlled, flexible dose studies with Paroxetine (Study 1 and Study 2) in adult patients who met Diagnostic and Statistical Manual of Mental Disorders (DSM)-IV criteria for MDD. Study 1 and 2 included patients 18 to 65 years old who received Paroxetine doses of 25 to 62.5 mg/day (N= 212) or placebo (N= 211) once daily compared to immediate-release paroxetine 20 to 50 mg (N=217). A third 12-week, multicenter, randomized, double-blind, placebo-controlled, flexible dose study with Paroxetine (Study 3) included elderly patients, ranging in age from 60 to 88 years old and used Paroxetine doses of 12.5 to 50 mg/day (N=104) or placebo (N=109) once daily compared to immediate-release paroxetine 10 to 40 mg (N=106). In all three studies, Paroxetine was statistically superior to placebo in improving depressive symptoms as measured by the following: the mean change from baseline in the Hamilton Depression Rating Scale (HDRS) total score at Week 12, the mean change from baseline in the Hamilton Depressed Mood item score at Week 12, and the mean change from baseline in the Clinical Global Impression (CGI)–Severity of Illness score.
Long-term efficacy of paroxetine for treatment of MDD in outpatients was established with one randomized withdrawal study with immediate-release paroxetine. Patients who responded to immediate-release paroxetine (HDRS total score <8) during an initial 8-week open-label treatment phase were then randomized to continue immediate-release paroxetine or placebo, for up to 1 year. Patients treated with immediate-release paroxetine demonstrated a statistically significant lower relapse rate during the withdrawal phase (15%) compared to those on placebo (39%). Effectiveness was similar for male and female patients.
14.2 Panic Disorder
The effectiveness of Paroxetine in the treatment of panic disorder (PD) was evaluated in three 10-week, multicenter, flexible-dose studies (Studies 4, 5, and 6) comparing Paroxetine (12.5 to 75 mg daily) to placebo in adult outpatients 19 to 72 years of age who met panic disorder (with or without agoraphobia) criteria according to DSM-IV. These trials were assessed on the basis of their outcomes on 3 variables: (1) the proportions of patients free of full panic attacks at Week 10; (2) change from baseline to Week 10 in the median number of full panic attacks; and (3) change from baseline to Week 10 in the median Clinical Global Impression Severity score. For Studies 4 and 5, Paroxetine was superior to placebo on 2 of these 3 variables. Study 6 failed to consistently demonstrate a statistically significant difference between Paroxetine and placebo on any of these variables.
For all 3 studies, the mean dose of Paroxetine for completers at Week 10 was approximately 50 mg/day. Subgroup analyses did not indicate that there were any differences in treatment outcomes as a function of age or gender.
Long-term maintenance effects of paroxetine in patients with PD were demonstrated in a randomized-withdrawal study using immediate-release paroxetine. Patients who were responders during a 10-week, double-blind trial (followed by a 3-month double-blind maintenance phase) of immediate-release paroxetine were re-randomized to continue immediate-release paroxetine or placebo in a 3-month, double-blind withdrawal phase. Patients randomized to immediate-release paroxetine were statistically significantly less likely to relapse than placebo-treated patients.
14.3 Social Anxiety Disorder
The efficacy of Paroxetine as a treatment for social anxiety disorder (SAD) was established, in part, on the basis of extrapolation from the established effectiveness of immediate-release paroxetine in the treatment of SAD. In addition, the effectiveness of Paroxetine in the treatment of SAD was demonstrated in one 12-week, multicenter, double-blind, flexible-dose, placebo-controlled study of adult outpatients with a primary diagnosis of SAD by DSM-IV criteria (Study 7). In Study 7, the effectiveness of Paroxetine (12.5 to 37.5 mg daily) compared to placebo was evaluated on the basis of (1) change from baseline in the Liebowitz Social Anxiety Scale (LSAS) total score at Week 12 and (2) the proportion of responders who scored 1 or 2 (very much improved or much improved) on the CGI Global Improvement score at Week 12.
In Study 7, Paroxetine demonstrated statistically significant superiority over placebo on both the change on LSAS total score at Week 12 and the CGI Improvement responder criterion at Week 12. For patients who completed the trial, 64% of patients treated with Paroxetine compared to 35% of patients treated with placebo were CGI Improvement responders at Week 12.
Subgroup analyses did not indicate that there were any differences in treatment outcomes as a function of gender. Subgroup analyses of studies utilizing the immediate-release formulation of paroxetine generally did not indicate differences in treatment outcomes as a function of age, race, or gender.
14.4 Premenstrual Dysphoric Disorder
The effectiveness of Paroxetine for the treatment of Premenstrual Dysphoric Disorder (PMDD) utilizing a continuous dosing regimen has been established in 2 placebo-controlled trials in female patients ages 18 to 46 (Studies 8 and 9 [N=672]). Patients in these trials met DSM-IV criteria for PMDD. Of 1,030 patients including Study 10, who were treated with daily doses of Paroxetine 12.5 or 25 mg/day, or placebo continuously throughout the menstrual cycle for a period of 3 menstrual cycles, the mean duration of the PMDD symptoms was approximately 11 ± 7 years. Patients on systemic hormonal contraceptives were excluded from these trials. Therefore, the efficacy of Paroxetine in combination with systemic (including oral) hormonal contraceptives for the continuous daily treatment of PMDD is unknown.
The VAS score is a patient-rated instrument that mirrors the diagnostic criteria of PMDD as identified in the DSM-IV, and includes assessments for mood, physical symptoms, and other symptoms associated with PMDD. In Studies 8 and 9, 12.5 mg/day and 25 mg/day of Paroxetine were statistically significantly more effective than placebo as measured by change from baseline to Month 3 on the luteal phase VAS score.
In an additional study employing luteal phase dosing (Study 11), patients (N = 366) were treated for the 2 weeks prior to the onset of menses with 12.5 or 25 mg/day of Paroxetine or placebo for a period of 3 months. In this trial, 12.5 mg/day and 25 mg/day of Paroxetine, as luteal phase dosing, was statistically significantly more effective than placebo as measured by change from baseline to luteal phase VAS score at Month 3.
There is insufficient information to determine the effect of race or age on outcome in Studies 8, 9, 10, and 11.
16 How Supplied/Storage And Handling
Paroxetine Extended-Release Tablets, USP are supplied as film-coated, extended-release, round convex tablets, as follows:
12.5 mg white tablets (debossed with “KU” on one side and “470” on the other)
NDC 62135-425-30 Bottles of 30
25 mg pink tablets (debossed with “KU” on one side and “471” on the other)
NDC 62135-426-30 Bottles of 30
37.5 mg blue tablets (debossed with “KU” on one side and “472” on the other)
NDC 62135-427-30 Bottles of 30
Store at 20°C to 25°C (68°F to 77°F) [see USP Controlled Room Temperature].
17 Patient Counseling Information
Advise the patient to read the FDA-approved patient labeling (Medication Guide).
Suicidal Thoughts and Behaviors
Advise patients and caregivers to look for the emergence of suicidality, especially early during treatment and when the dosage is adjusted up or down, and instruct them to report such symptoms to the healthcare provider [see Boxed Warning and Warnings and Precautions ( 5.1)] .
Important Administration Instructions
Instruct patients to swallow Paroxetine whole and to not chew or crush the tablets [see Dosage and Administration ( 2.1)] .
Serotonin Syndrome
Caution patients about the risk of serotonin syndrome, particularly with the concomitant use of Paroxetine with other serotonergic drugs including triptans, tricyclic antidepressants, fentanyl, lithium, tramadol, tryptophan, buspirone, amphetamines, St. John’s Wort, and with drugs that impair metabolism of serotonin (in particular, MAOIs, both those intended to treat psychiatric disorders and also others, such as linezolid). Instruct patients to contact their health care provider or report to the emergency room if they experience signs or symptoms of serotonin syndrome [see Warnings and Precautions ( 5.2), Drug Interactions ( 7.1)] .
Concomitant Medications
Advise patients to inform their physician if they are taking, or plan to take, any prescription or over-the-counter drugs, since there is a potential for drug-drug interactions [see Warning and Precautions ( 5.3), Drug Interactions ( 7)] .
Increased Risk of Bleeding
Inform patients about the concomitant use of Paroxetine with aspirin, NSAIDs, other antiplatelet drugs, warfarin, or other anticoagulants because the combined use has been associated with an increased risk of bleeding. Advise patients to inform their health care providers if they are taking or planning to take any prescription or over-the counter medications that increase the risk of bleeding [see Warnings and Precautions ( 5.5)] .
Activation of Mania/Hypomania
Advise patients and their caregivers to observe for signs of activation of mania/hypomania and instruct them to report such symptoms to the healthcare provider [see Warnings and Precautions ( 5.6)] .
Discontinuation Syndrome
Advise patients not to abruptly discontinue Paroxetine and to discuss any tapering regimen with their healthcare provider. Inform patients that adverse reactions can occur when Paroxetine is discontinued [see Warnings and Precautions ( 5.7)] .
Sexual Dysfunction
Advise patients that use of Paroxetine may cause symptoms of sexual dysfunction in both male and female patients. Inform patients that they should discuss any changes in sexual function and potential management strategies with their healthcare provider [see Warnings and Precautions ( 5.13)] .
Allergic Reactions
Advise patients to notify their healthcare provider if they develop an allergic reaction such as rash, hives, swelling, or difficulty breathing [see Adverse Reactions ( 6.1, 6.2)] .
Embryo-Fetal Toxicity
Advise women of the potential risk to the fetus [see Warnings and Precautions ( 5.4), Use in Specific Populations ( 8.1) ]. Advise patients to notify their healthcare provider if they become pregnant or intend to become pregnant during therapy because of the risk to the fetus.
Nursing
Advise women to notify their healthcare provider if they are breastfeeding an infant [see Use in Specific Populations ( 8.3)] .
Manufactured for:
Chartwell RX, LLC
Congers, NY 10920
L71125
Rev. 11/2022
Dispense with Medication Guide available at: www.chartwellpharma.com/medguides
Package Label.Principal Display Panel
Paroxetine Extended-Release Tablets, USP 12.5mg - NDC-62135-425-30 - 30s Bottle Label
Paroxetine Extended-Release Tablets, USP 25mg - NDC-62135-426-30 - 30s Bottle Label
Paroxetine Extended-Release Tablets, USP 37.5mg - NDC-62135-427-30 - 30s Bottle Label
* Please review the disclaimer below.


