Product Images Griseofulvin Microsize

View Photos of Packaging, Labels & Appearance

Product Label Images

The following 3 images provide visual information about the product associated with Griseofulvin Microsize NDC 62135-496 by Chartwell Rx, Llc., such as packaging, labeling, and the appearance of the drug itself. This resource could be helpful for medical professionals, pharmacists, and patients seeking to verify medication information and ensure they have the correct product.

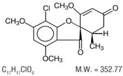
Griseofulvin tablets, USP (microsize) contain griseofulvin microsize for oral administration. The active ingredient, griseofulvin, is a fungistatic antibiotic, derived from a species of Penicillium. The chemical name of griseofulvin is 7-chloro-2’,4,6-trimethoxy-6’β-methylspiro[benzofuran-2(3H),1’-[2]cyclohexane]-3-4’-dione. Its structural formula is: - griseofulvin tablets microsize 01

Griseofulvin tablets, USP (microsize) contain griseofulvin microsize for oral administration. The active ingredient, griseofulvin, is a fungistatic antibiotic, derived from a species of Penicillium. The chemical name of griseofulvin is 7-chloro-2’,4,6-trimethoxy-6’β-methylspiro[benzofuran-2(3H),1’-[2]cyclohexane]-3-4’-dione. Its structural formula is: - griseofulvin tablets microsize 01

PRINCIPAL DISPLAY PANELNDC 62135-496-30Griseofulvin Tablets, USP(microsize)500 mgRx Only30 Tablets - griseofulvin tablets microsize 02

PRINCIPAL DISPLAY PANELNDC 62135-496-30Griseofulvin Tablets, USP(microsize)500 mgRx Only30 Tablets - griseofulvin tablets microsize 02

This is a description of a medication called Griseofulvin. The text includes the medication's name, NDG number (62135-496-30), and form (tablets). There is also a reference to dosage and instructions for use (Rx Only). Additionally, there is some unrecognizable text, including some letters and numbers that do not form words or phrases.*

PRINCIPAL DISPLAY PANELNDC 62135-496-01Griseofulvin Tablets, USP(microsize)500 mgRx Only100 Tablets - griseofulvin tablets microsize 03

PRINCIPAL DISPLAY PANELNDC 62135-496-01Griseofulvin Tablets, USP(microsize)500 mgRx Only100 Tablets - griseofulvin tablets microsize 03

This is a description of a medication called Griseofulvin. It comes in tablet form and is only available with a prescription. The NDC (National Drug Code) is 62135-496-01 and each bottle contains 100 tablets. The text also includes some letters and numbers that are difficult to interpret.*

* The product label images have been analyzed using a combination of traditional computing and machine learning techniques. It should be noted that the descriptions provided may not be entirely accurate as they are experimental in nature. Use the information in this page at your own discretion and risk.