FDA Label for Loteprednol Etabonate
View Indications, Usage & Precautions
- DESCRIPTION
- CLINICAL PHARMACOLOGY
- INDICATIONS AND USAGE
- CONTRAINDICATIONS
- WARNINGS
- GENERAL
- INFORMATION FOR PATIENTS
- CARCINOGENESIS, MUTAGENESIS, IMPAIRMENT OF FERTILITY
- PREGNANCY
- NURSING MOTHERS
- PEDIATRIC USE
- ADVERSE REACTIONS
- DOSAGE AND ADMINISTRATION
- HOW SUPPLIED
- PACKAGE LABEL.PRINCIPAL DISPLAY PANEL-CARTON
- PACKAGE LABEL.PRINCIPAL DISPLAY PANEL-LABEL
Loteprednol Etabonate Product Label
The following document was submitted to the FDA by the labeler of this product Sun Pharmaceutical Industries, Inc.. The document includes published materials associated whith this product with the essential scientific information about this product as well as other prescribing information. Product labels may durg indications and usage, generic names, contraindications, active ingredients, strength dosage, routes of administration, appearance, warnings, inactive ingredients, etc.
Description
Loteprednol etabonate ophthalmic suspension contains a sterile, topical anti-inflammatory corticosteroid for ophthalmic use. Loteprednol etabonate is a white to off-white powder.
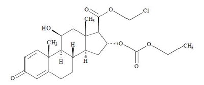
Loteprednol etabonate is represented by the following structural formula:
C24H31ClO7
Mol. Wt. 466.96
Chemical Name: Chloromethyl 17α-[(ethoxycarbonyl)oxy]-11β-hydroxy-3-oxoandrosta-1,4-diene-17β-carboxylate
Each mL contains
ACTIVE: Loteprednol Etabonate 5 mg (0.5%);
INACTIVES: Edetate Disodium, Glycerin, Povidone, Water for Injection and Tyloxapol. Hydrochloric Acid and/or Sodium Hydroxide may be added to adjust the pH to 5.0 - 6.0. The suspension is essentially isotonic with a tonicity of 250 to 310 mOsmol/kg.
PRESERVATIVE ADDED: Benzalkonium Chloride Solution (50%) 0.2 mg.
Clinical Pharmacology
Corticosteroids inhibit the inflammatory response to a variety of inciting agents and probably delay or slow healing. They inhibit the edema, fibrin deposition, capillary dilation, leukocyte migration, capillary proliferation, fibroblast proliferation, deposition of collagen, and scar formation associated with inflammation. There is no generally accepted explanation for the mechanism of action of ocular corticosteroids. However, corticosteroids are thought to act by the induction of phospholipase A2 inhibitory proteins, collectively called lipocortins. It is postulated that these proteins control the biosynthesis of potent mediators of inflammation such as prostaglandins and leukotrienes by inhibiting the release of their common precursor arachidonic acid. Arachidonic acid is released from membrane phospholipids by phospholipase A2. Corticosteroids are capable of producing a rise in intraocular pressure.
Loteprednol etabonate is structurally similar to other corticosteroids. However, the number 20 position ketone group is absent. It is highly lipid soluble which enhances its penetration into cells. Loteprednol etabonate is synthesized through structural modifications of prednisolone-related compounds so that it will undergo a predictable transformation to an inactive metabolite. Based upon in vivo and in vitro preclinical metabolism studies, loteprednol etabonate undergoes extensive metabolism to inactive carboxylic acid metabolites.
Results from a bioavailability study in normal volunteers established that plasma levels of loteprednol etabonate and Δ1 cortienic acid etabonate (PJ 91), its primary, inactive metabolite, were below the limit of quantitation (1 ng/mL) at all sampling times. The results were obtained following the ocular administration of one drop in each eye of 0.5% loteprednol etabonate 8 times daily for 2 days or 4 times daily for 42 days. This study suggests that limited (<1 ng/mL) systemic absorption occurs with loteprednol etabonate ophthalmic suspension.
CLINICAL STUDIES
Post-Operative Inflammation: Placebo-controlled clinical studies demonstrated that loteprednol etabonate ophthalmic suspension is effective for the treatment of anterior chamber inflammation as measured by cell and flare.
Uveitis: Controlled clinical studies of patients with uveitis demonstrated that loteprednol etabonate ophthalmic suspension was less effective than prednisolone acetate 1%. Overall, 72% of patients treated with loteprednol etabonate ophthalmic suspension experienced resolution of anterior chamber cell by day 28, compared to 87% of patients treated with 1% prednisolone acetate. The incidence of patients with clinically significant increases in IOP (≥10 mmHg) was 1% with loteprednol etabonate ophthalmic suspension and 6% with prednisolone acetate 1%.
Giant Papillary Conjunctivitis: Placebo-controlled clinical studies demonstrated that loteprednol etabonate ophthalmic suspension was effective in reducing the signs and symptoms of giant papillary conjunctivitis after 1 week of treatment and continuing for up to 6 weeks while on treatment.
Seasonal Allergic Conjunctivitis: A placebo-controlled clinical study demonstrated that loteprednol etabonate ophthalmic suspension was effective in reducing the signs and symptoms of allergic conjunctivitis during peak periods of pollen exposure.
Indications And Usage
Loteprednol etabonate ophthalmic suspension is indicated for the treatment of steroid responsive inflammatory conditions of the palpebral and bulbar conjunctiva, cornea and anterior segment of the globe such as allergic conjunctivitis, acne rosacea, superficial punctate keratitis, herpes zoster keratitis, iritis, cyclitis, selected infective conjunctivitides, when the inherent hazard of steroid use is accepted to obtain an advisable diminution in edema and inflammation.
Loteprednol etabonate ophthalmic suspension is less effective than prednisolone acetate 1% in two 28-day controlled clinical studies in acute anterior uveitis, where 72% of patients treated with loteprednol etabonate ophthalmic suspension experienced resolution of anterior chamber cells, compared to 87% of patients treated with prednisolone acetate 1%. The incidence of patients with clinically significant increases in IOP (≥10 mmHg) was 1% with loteprednol etabonate ophthalmic suspension and 6% with prednisolone acetate 1%. Loteprednol etabonate ophthalmic suspension should not be used in patients who require a more potent corticosteroid for this indication.
Loteprednol etabonate ophthalmic suspension is also indicated for the treatment of post-operative inflammation following ocular surgery.
Contraindications
Loteprednol etabonate ophthalmic suspension, as with other ophthalmic corticosteroids, is contraindicated in most viral diseases of the cornea and conjunctiva including epithelial herpes simplex keratitis (dendritic keratitis), vaccinia, and varicella, and also in mycobacterial infection of the eye and fungal diseases of ocular structures. Loteprednol etabonate ophthalmic suspension is also contraindicated in individuals with known or suspected hypersensitivity to any of the ingredients of this preparation and to other corticosteroids.
Warnings
Prolonged use of corticosteroids may result in glaucoma with damage to the optic nerve, defects in visual acuity and fields of vision, and in posterior subcapsular cataract formation. Steroids should be used with caution in the presence of glaucoma.
Prolonged use of corticosteroids may suppress the host response and thus increase the hazard of secondary ocular infections. In those diseases causing thinning of the cornea or sclera, perforations have been known to occur with the use of topical steroids. In acute purulent conditions of the eye, steroids may mask infection or enhance existing infection.
Use of ocular steroids may prolong the course and may exacerbate the severity of many viral infections of the eye (including herpes simplex). Employment of a corticosteroid medication in the treatment of patients with a history of herpes simplex requires great caution.
The use of steroids after cataract surgery may delay healing and increase the incidence of bleb formation.
General
For ophthalmic use only. The initial prescription and renewal of the medication order beyond 14 days should be made by a physician only after examination of the patient with the aid of magnification, such as slit lamp biomicroscopy and, where appropriate, fluorescein staining.
If signs and symptoms fail to improve after two days, the patient should be re-evaluated.
If this product is used for 10 days or longer, intraocular pressure should be monitored even though it may be difficult in children and uncooperative patients (see WARNINGS).
Fungal infections of the cornea are particularly prone to develop coincidentally with long-term local steroid application. Fungus invasion must be considered in any persistent corneal ulceration where a steroid has been used or is in use. Fungal cultures should be taken when appropriate.
Information For Patients
Patients should be advised not to allow the dropper tip to touch any surface, as this may contaminate the suspension. If pain develops, redness, itching or inflammation becomes aggravated, the patient should be advised to consult a physician. As with all ophthalmic preparations containing benzalkonium chloride, patients should be advised not to wear soft contact lenses when using loteprednol etabonate ophthalmic suspension.
Carcinogenesis, Mutagenesis, Impairment Of Fertility
Long-term animal studies have not been conducted to evaluate the carcinogenic potential of loteprednol etabonate. Loteprednol etabonate was not genotoxic in the Ames test, the mouse lymphoma tk assay, or in a chromosome aberration test in human lymphocytes, three in vitro tests.In vivo evidence of genotoxicity, an increased frequency of micronucleated immature erythrocytes, was not observed in mice that received a single 4 gm/kg dose of loteprednol etabonate (50,000 times the maximum daily clinical dose). Treatment of male and female rats with up to 50 mg/kg/day and 25 mg/kg/day of loteprednol etabonate, respectively, (600 and 300 times the maximum clinical dose, respectively) prior to and during mating did not impair fertility in either gender.
Pregnancy
Teratogenic Effects: Pregnancy Category C. Loteprednol etabonate has been shown to be embryotoxic (delayed ossification) and teratogenic (increased incidence of meningocele, abnormal left common carotid artery, and limb flexures) when administered orally to rabbits during organogenesis at a dose of 3 mg/kg/day (35 times the maximum daily clinical dose), a dose which caused no maternal toxicity. The no-observed-effect-level (NOEL) for these effects was 0.5 mg/kg/day (6 times the maximum daily clinical dose). Oral treatment of rats during organogenesis with 50 mg/kg/day or 100 mg/kg/day (600 and 1,200 times the maximum clinical dose) resulted in embryotoxicity (increased post-implantation losses with 100 mg/kg/day, and decreased fetal body weight and skeletal ossification with 50 mg/kg/day and 100 mg/kg/day); doses of 5 mg/kg/day (60 times the maximum daily clinical dose), 50 mg/kg/day and 100 mg/kg/day caused teratogenicity (absent innominate artery at all doses, and cleft palate and umbilical hernia at 50 mg/kg/day and 100 mg/kg/day). Loteprednol etabonate was maternally toxic (significantly reduced body weight gain during treatment) when administered to pregnant rats during organogenesis at doses of 5 mg/kg/day to 100 mg/kg/day but not at 0.5 mg/kg/day. The NOELs for the embryotoxic and teratogenic effects in rats were 5 mg/kg/day and 0.5 mg/kg/day (60 and 6 times the maximum daily clinical dose) for embryotoxicity and teratogenicity, respectively.
Oral exposure of pregnant rats to 5 mg/kg/day and 50 mg/kg/day of loteprednol etabonate during the fetal period, a maternally toxic treatment regimen (significantly decreased body weight gain), resulted in teratogenicity (umbilical herniation) and embryotoxicity (decreased fetal birth weight); the NOEL for these effects was 0.5 mg/kg/day. Oral exposure of female rats to 50 mg/kg/day of loteprednol etabonate from the start of the fetal period through the end of lactation, a maternally toxic treatment regimen (significantly decreased body weight gain), gave rise to decreased growth and survival, and retarded development in the offspring during lactation; the NOEL for these effects was 5 mg/kg/day. Loteprednol etabonate had no effect on the duration of gestation or parturition when administered orally to pregnant rats at doses up to 50 mg/kg/day during the fetal period.
Nursing Mothers
It is not known whether topical ophthalmic administration of corticosteroids could result in sufficient systemic absorption to produce detectable quantities in human milk. Systemic steroids appear in human milk and could suppress growth, interfere with endogenous corticosteroid production, or cause other untoward effects. Caution should be exercised when loteprednol etabonate ophthalmic suspension is administered to a nursing woman.
Pediatric Use
Safety and effectiveness in pediatric patients have not been established.
Adverse Reactions
Reactions associated with ophthalmic steroids include elevated intraocular pressure, which may be associated with optic nerve damage, visual acuity and field defects, posterior subcapsular cataract formation, secondary ocular infection from pathogens including herpes simplex, and perforation of the globe where there is thinning of the cornea or sclera.
Ocular adverse reactions occurring in 5% to 15% of patients treated with loteprednol etabonate ophthalmic suspension (0.2% to 0.5%) in clinical studies included abnormal vision/blurring, burning on instillation, chemosis, discharge, dry eyes, epiphora, foreign body sensation, itching, injection, and photophobia. Other ocular adverse reactions occurring in less than 5% of patients include conjunctivitis, corneal abnormalities, eyelid erythema, keratoconjunctivitis, ocular irritation/pain/discomfort, papillae, and uveitis. Some of these events were similar to the underlying ocular disease being studied.
Non-ocular adverse reactions occurred in less than 15% of patients. These include headache, rhinitis and pharyngitis.
In controlled, randomized studies of individuals treated for 28 days or longer with loteprednol etabonate, the incidence of significant elevation of intraocular pressure (≥10 mmHg) was 2% (15/901) among patients receiving loteprednol etabonate, 7% (11/164) among patients receiving 1% prednisolone acetate and 0.5% (3/583) among patients receiving placebo.
To report SUSPECTED ADVERSE REACTIONS, contact Sun Pharmaceutical Industries, Inc. at 1-800-818-4555 or FDA at 1-800-FDA-1088 or www.fda.gov/medwatch.
Dosage And Administration
SHAKE VIGOROUSLY BEFORE USING.
Steroid Responsive Disease Treatment: Apply one to two drops of loteprednol etabonate ophthalmic suspension into the conjunctival sac of the affected eye(s) four times daily. During the initial treatment within the first week, the dosing may be increased, up to 1 drop every hour, if necessary. Care should be taken not to discontinue therapy prematurely. If signs and symptoms fail to improve after two days, the patient should be re-evaluated (see PRECAUTIONS).
Post-Operative Inflammation: Apply one to two drops of loteprednol etabonate ophthalmic suspension into the conjunctival sac of the operated eye(s) four times daily beginning 24 hours after surgery and continuing throughout the first 2 weeks of the post-operative period.
How Supplied
Loteprednol etabonate ophthalmic suspension is supplied in a white opaque LDPE plastic dropper bottle with LDPE white opaque plug and HDPE pilfer-proof pink cap as follows:
5 mL (NDC 62756-232-90)
10 mL (NDC 62756-232-55)
15 mL (NDC 62756-232-56)
Storage: Store upright between 20°C-25°C (68°-77°F). DO NOT FREEZE.
KEEP OUT OF REACH OF CHILDREN.
Rx only
Manufactured by:
Sun Pharmaceutical Medicare Ltd.
Baska Ujeti Road, Ujeti,
Halol-389350, Gujarat, India.
Distributed by:
Sun Pharmaceutical Industries, Inc.
Cranbury, NJ 08512
Version Date:
ISS. 08/2020
Package Label.Principal Display Panel-Carton
NDC 62756-232-90
Loteprednol Etabonate Ophthalmic Suspension 0.5%
For Ophthalmic Use Only
Rx only
Sterile
5 mL
SUN PHARMA
Package Label.Principal Display Panel-Label
NDC 62756-232-90
Loteprednol Etabonate Ophthalmic Suspension 0.5%
For Ophthalmic Use Only
5 mL
* Please review the disclaimer below.


