Product Images Carvedilol

View Photos of Packaging, Labels & Appearance

Product Label Images

The following 5 images provide visual information about the product associated with Carvedilol NDC 63187-447 by Proficient Rx Lp, such as packaging, labeling, and the appearance of the drug itself. This resource could be helpful for medical professionals, pharmacists, and patients seeking to verify medication information and ensure they have the correct product.

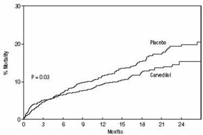
Figure 1. Survival Analysis for CAPRICORN (intent-to-treat) - carvedilol fig1

Figure 1. Survival Analysis for CAPRICORN (intent-to-treat) - carvedilol fig1

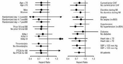
Figure 2. Effects on Mortality for Subgroups in CAPRICORN - carvedilol fig2

Figure 2. Effects on Mortality for Subgroups in CAPRICORN - carvedilol fig2

63187-447-90 - carvedilol fig5

63187-447-90 - carvedilol fig5

This is a description of Carvedilol 12.5mg tablets. Each film-coated tablet contains Carvedilol USP 12.5mg. The tablets are oval shaped, white to off-white, and marked with "£" on one side and "03" on the other side. They are packaged in a bottle of 30 tablets by Proficient Rx LP. The manufacturer is Aurobindo Pharma Limited. The tablets must be stored at 20°-25°C (68°-77°F) and kept out of the reach of children. The GTIN is 0036318747304, and the lot number is 00000. The tablets are available only with a prescription.*

63187-409-60 - carvedilol fig6

63187-409-60 - carvedilol fig6

This is a pharmaceutical product called Carvedilol with a strength of 25mg. The tablets come in packs of 90 and are film-coated, oval-shaped, white to off-white in color, with '€' and '04' printed on either side. They are packaged by Proficent Rx LP in Thousand Oaks, CA. The tablets must be kept out of the reach of children and stored at a temperature between 20-25°C (68-77°F). The expiry date, lot number, and product ID are also provided.*

Chemical Structure - carvedilol str

Chemical Structure - carvedilol str

* The product label images have been analyzed using a combination of traditional computing and machine learning techniques. It should be noted that the descriptions provided may not be entirely accurate as they are experimental in nature. Use the information in this page at your own discretion and risk.