Product Images Polymyxin B Sulfate And Trimethoprim
View Photos of Packaging, Labels & Appearance
Product Label Images
The following 3 images provide visual information about the product associated with Polymyxin B Sulfate And Trimethoprim NDC 63187-631 by Proficient Rx Lp, such as packaging, labeling, and the appearance of the drug itself. This resource could be helpful for medical professionals, pharmacists, and patients seeking to verify medication information and ensure they have the correct product.
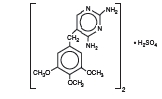
Polymyxin B Sulfate, the sulfate salt of polymyxin Bl and B2 (Structural formula) - 697ea650 95b5 4814 8821 a99a85314679 02

The text contains the names of some chemical compounds, including L-DAB-D-Phe-L-Leu and Polymysin B. It also includes some abbreviations such as "R = CHg" and "-diaminabutyrc acd". There is not enough contextual information to determine the purpose or significance of these compounds.*
63187-631-10 - 697ea650 95b5 4814 8821 a99a85314679 03

This is a description of a medication with the NDC 63187-631-10, a Trimethoprim Sulfate/Polymyxin B Sulfate Eye Solution. It contains 10,000 polymyxin B units and equivalent to trimethoprim 1 mg. This medication is meant for topical application in the eye and is distributed by Bausch + Lomb in Bridgewater, NJ. The package insert and expiration date should be checked, and the medication should be stored between 15°C-25°C.*
* The product label images have been analyzed using a combination of traditional computing and machine learning techniques. It should be noted that the descriptions provided may not be entirely accurate as they are experimental in nature. Use the information in this page at your own discretion and risk.