Product Images Topiramate
View Photos of Packaging, Labels & Appearance
Product Label Images
The following 3 images provide visual information about the product associated with Topiramate NDC 63187-696 by Proficient Rx Lp, such as packaging, labeling, and the appearance of the drug itself. This resource could be helpful for medical professionals, pharmacists, and patients seeking to verify medication information and ensure they have the correct product.
Topi - 40ba980b 018b 4973 91e5 ec57c21fdc12 02

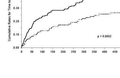
This appears to be a graph showing cumulative rates for time to an event, but without more information it is not possible to determine what the event is or what the significance of the results may be.*
63187-696-60 - image 01

This is a description for a medication named Topiramate 100mg, packaged by Proficient Rx LP, with a National Drug Code of 63187-696-90. It contains 90 tablets and each film-coated tablet has 100mg of Topiramate USP. The tablets are orange and circular, with *124" and "Cipla" debossed on opposite sides, and the lot number is #00000 with an expiry date of 000000. The medication guide enclosed with it should be given to each patient. The medication should be stored at 20°-25°C (68°-77°F) and kept away from children.*
* The product label images have been analyzed using a combination of traditional computing and machine learning techniques. It should be noted that the descriptions provided may not be entirely accurate as they are experimental in nature. Use the information in this page at your own discretion and risk.