Product Images Benztropine Mesylate
View Photos of Packaging, Labels & Appearance
Product Label Images
The following 2 images provide visual information about the product associated with Benztropine Mesylate NDC 63187-840 by Proficient Rx Lp, such as packaging, labeling, and the appearance of the drug itself. This resource could be helpful for medical professionals, pharmacists, and patients seeking to verify medication information and ensure they have the correct product.
63187-840-03 - 1mg100ct

This is a medicine called Benztropine Mesylate 1mg. It comes in a bottle of 3 tablets with a Lot #00000 and an expiration date of 00/00/00. The tablets are white, oval, bisected, and have "EP" "137" stamped on them. The NDC code is 63187-840-03 and the product ID is PB084003. This medicine is available only with a prescription and is manufactured by Leading Pharma, LLC Fairfield, NJ 07004 and packaged by Proficient Rx LP. It should be stored at 20°-25°C (68°-77°F).*
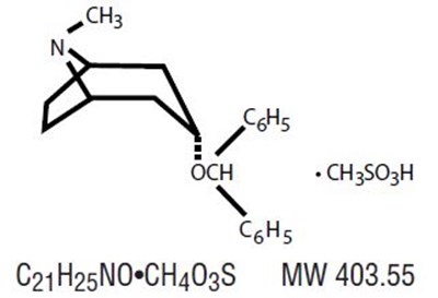
Chemical structure - chemstructure

This text seems to be showing chemical formulas and molecular weights for different compounds. Specifically, it displays the formulas for OCH + CH3503H and CeHs, as well as the molecular weight for Co1HosNOsCH403S (which is 403.55).*
* The product label images have been analyzed using a combination of traditional computing and machine learning techniques. It should be noted that the descriptions provided may not be entirely accurate as they are experimental in nature. Use the information in this page at your own discretion and risk.