FDA Label for Amoxicillin And Clavulanate Potassium
View Indications, Usage & Precautions
- DESCRIPTION
- CLINICAL PHARMACOLOGY
- INDICATIONS AND USAGE
- CONTRAINDICATIONS
- WARNINGS
- GENERAL:
- INFORMATION FOR THE PATIENT:
- PHENYLKETONURICS:
- DRUG INTERACTIONS:
- DRUG/LABORATORY TEST INTERACTIONS:
- CARCINOGENESIS, MUTAGENESIS, IMPAIRMENT OF FERTILITY:
- TERATOGENIC EFFECTS:
- LABOR AND DELIVERY:
- NURSING MOTHERS:
- PEDIATRIC USE:
- ADVERSE REACTIONS
- OVERDOSAGE
- DOSAGE AND ADMINISTRATION
- HOW SUPPLIED
- STORAGE
- REFERENCES
Amoxicillin And Clavulanate Potassium Product Label
The following document was submitted to the FDA by the labeler of this product Ranbaxy Pharmaceuticals Inc.. The document includes published materials associated whith this product with the essential scientific information about this product as well as other prescribing information. Product labels may durg indications and usage, generic names, contraindications, active ingredients, strength dosage, routes of administration, appearance, warnings, inactive ingredients, etc.
Description
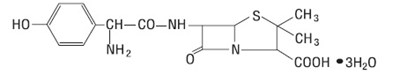
Amoxicillin and clavulanate potassium for oral suspension, USP, 600 mg/42.9 mg per 5 mL is an oral antibacterial combination consisting of the semisynthetic antibiotic amoxicillin, USP and the β-lactamase inhibitor, clavulanate potassium (the potassium salt of clavulanic acid). Amoxicillin is an analog of ampicillin, derived from the basic penicillin nucleus, 6-aminopenicillanic acid. The amoxicillin molecular formula is C16H19N3O5S•3H2O, and the molecular weight is 419.46. Chemically, amoxicillin is (2S,5R,6R)-6-[(R)-(-)-2-Amino-2-(p-hydroxyphenyl)acetamido]-3,3-dimethyl-7-oxo-4-thia-1-azabicyclo[3.2.0]heptane-2-carboxylic acid trihydrate and may be represented structurally as:
Clavulanic acid is produced by the fermentation of Streptomyces clavuligerus. It is a β-lactam structurally related to the penicillins and possesses the ability to inactivate a wide variety of β-lactamases by blocking the active sites of these enzymes. Clavulanic acid is particularly active against the clinically important plasmid-mediated β-lactamases frequently responsible for transferred drug resistance to penicillins and cephalosporins. The clavulanate potassium molecular formula is C8H8KNO5 and the molecular weight is 237.25. Chemically, clavulanate potassium is potassium (Z)-(2R,5R)-3-(2-hydroxyethylidene)-7-oxo-4-oxa-1-azabicyclo[3.2.0]-heptane-2-carboxylate and may be represented structurally as:
Each 5 mL of reconstituted amoxicillin and clavulanate potassium for oral suspension, USP, 600 mg/42.9 mg per 5 mL contains 600 mg amoxicillin, USP as the trihydrate and 42.9 mg clavulanic acid as the potassium salt (clavulanate potassium). The potassium content per 5 mL is 0.25 mEq.
Inactive Ingredients: aspartame, colloidal silicon dioxide, monosodium citrate, silicon dioxide, sodium citrate (as dihydrate), strawberry flavor, strawberry guarana flavor, and xanthan gum.
- See PRECAUTIONS–Information for Patient/Phenylketonurics.
Clinical Pharmacology
The pharmacokinetics of amoxicillin and clavulanate were determined in a study of 19 pediatric patients, 8 months to 11 years, given amoxicillin and clavulanate potassium for oral suspension, 600 mg/42.9 mg per 5 mL at an amoxicillin dose of 45 mg/kg q12h with a snack or meal. The mean plasma amoxicillin and clavulanate pharmacokinetic parameter values are listed in the following table.
| Parameter* | Amoxicillin | Clavulanate |
| Cmax (mcg/mL) | 15.7 ± 7.7 | 1.7 ± 0.9 |
| Tmax (hr) | 2 (1 to 4) | 1.1 (1 to 4) |
| AUC0-t (mcg•hr/mL) | 59.8 ± 20 | 4 ± 1.9 |
| T1/2(hr) | 1.4 ± 0.3 | 1.1 ± 0.3 |
| CL/F (L/hr/kg) | 0.9 ± 0.4 | 1.1 ± 1.1 |
*Arithmetic mean ± standard deviation, except Tmax values which are medians (ranges).
The effect of food on the oral absorption of amoxicillin and clavulanate potassium for oral suspension, 600 mg/42.9 mg per 5 mL has not been studied.
Approximately 50% to 70% of the amoxicillin and approximately 25% to 40% of the clavulanic acid are excreted unchanged in urine during the first 6 hours after administration of 10 mL of 250 mg/62.5 mg per 5 mL suspension of amoxicillin and clavulanate potassium.
Concurrent administration of probenecid delays amoxicillin excretion but does not delay renal excretion of clavulanic acid.
Neither component in amoxicillin and clavulanate potassium for oral suspension, 600 mg/42.9 mg per 5 mL is highly protein-bound; clavulanic acid has been found to be approximately 25% bound to human serum and amoxicillin approximately 18% bound.
Oral administration of a single dose of amoxicillin and clavulanate potassium for oral suspension, 600 mg/42.9 mg per 5 mL at 45 mg/kg (based on the amoxicillin component) to pediatric patients, 9 months to 8 years, yielded the following pharmacokinetic data for amoxicillin in plasma and middle ear fluid (MEF):
| Timepoint | Amoxicillinconcentrationin plasma (mcg/mL) | Amoxicillinconcentrationin MEF (mcg/mL) | |
| 1 hour | Mean Median Range | 7.7 9.3 1.5 to 14 (n = 5) | 3.2 3.5 0.2 to 5.5 (n = 4) |
| 2 hour | Mean Median Range | 15.7 13 11 to 25 (n = 7) | 3.3 2.4 1.9 to 6 (n = 5) |
| 3 hour | Mean Median Range | 13 12 5.5 to 21 (n = 5) | 5.8 6.5 3.9 to 7.4 (n = 5) |
Dose administered immediately prior to eating.
Amoxicillin diffuses readily into most body tissues and fluids with the exception of the brain and spinal fluid. The results of experiments involving the administration of clavulanic acid to animals suggest that this compound, like amoxicillin, is well distributed in body tissues.
Microbiology: Amoxicillin is a semisynthetic antibiotic with a broad-spectrum of bactericidal activity against many gram-positive and gram-negative microorganisms. Amoxicillin is, however, susceptible to degradation by β-lactamases, and therefore, its spectrum of activity does not include organisms which produce these enzymes. Clavulanic acid is a β-lactam, structurally related to penicillin, which possesses the ability to inactivate a wide range of β-lactamase enzymes commonly found in microorganisms resistant to penicillins and cephalosporins. In particular, it has good activity against the clinically important plasmid-mediated b-lactamases frequently responsible for transferred drug resistance.
The clavulanic acid component of amoxicillin and clavulanate potassium for oral suspension,600 mg/42.9 mg per 5 mL protects amoxicillin from degradation by β-lactamase enzymes and effectively extends the antibiotic spectrum of amoxicillin to include many bacteria normally resistant to amoxicillin and other β-lactam antibiotics. Thus, amoxicillin and clavulanate potassium for oral suspension, 600 mg/42.9 mg per 5 mL possesses the distinctive properties of a broad-spectrum antibiotic and a β-lactamase inhibitor.
Amoxicillin/clavulanic acid has been shown to be active against most isolates of the following microorganisms, both in vitro and in clinical infections as described in the INDICATIONS AND USAGE section.
Aerobic Gram-Positive Microorganisms:
Streptococcus pneumoniae (including isolates with penicillin MICs ≤ 2 mcg/mL)
Aerobic Gram-Negative Microorganisms:
Haemophilus influenzae (including β-lactamase-producing isolates)
Moraxella catarrhalis (including β-lactamase-producing isolates)
The following in vitro data are available, but their clinical significance is unknown.
At least 90% of the following microorganisms exhibit an in vitro minimum inhibitory concentrations (MICs) less than or equal to the susceptible breakpoint for amoxicillin/clavulanic acid. However, the safety and efficacy of amoxicillin/clavulanic acid in with the exception of organisms shown to respond to amoxicillin alone, the safety and acid in treating infections due to these microorganisms have not been established in adequate and well-controlled trials.
Aerobic Gram-Positive Microorganisms:
Staphylococcus aureus (including β-lactamase-producing isolates)
NOTE: Staphylococci which are resistant to methicillin/oxacillin must be considered resistant to amoxicillin/clavulanic acid.
Streptococcus pyogenes
NOTE: S. pyogenes do not produce β-lactamase, and therefore, are susceptible to amoxicillin alone. Adequate and well-controlled clinical trials have established the effectiveness of amoxicillin alone in treating certain clinical infections due to S. pyogenes.
Susceptibility Test Methods: When available, the clinical microbiology laboratory should provide cumulative results of in vitro susceptibility test results for antimicrobial drugs used in local hospitals and practice areas to the physician as periodic reports that describe the susceptibility profile of nosocomial and community-acquired pathogens. These reports should aid the physician in selecting the most effective antimicrobial.
Dilution Techniques: Quantitative methods are used to determine antimicrobial minimum inhibitory concentrations (MICs). These MICs provide estimates of the susceptibility of bacteria to antimicrobial compounds. The MICs should be determined using a standardized procedure.1,2 Standardized procedures are based on dilution methods (broth for S. pneumoniae and H. influenzae) or equivalent with standardized inoculum concentration and standardized concentrations of amoxicillin/clavulanate potassium powder.
The recommended dilution pattern utilizes a constant amoxicillin/clavulanate potassium ratio of 2 to 1 in all tubes with varying amounts of amoxicillin. MICs are expressed in terms of the amoxicillin concentration in the presence of clavulanic acid at a constant 2 parts amoxicillin to 1 part clavulanic acid. The MIC values should be interpreted according to criteria provided in Table 3.
Diffusion Technique: Quantitative methods that require measurement of zone diameters also provides reproducible estimates of the susceptibility of bacteria to antimicrobials. One such standardized technique requires the use of a standardized inoculum concentration. 2,3 This procedure uses paper disks impregnated with 30 mcg amoxicillin/clavulanate potassium (20 mcg amoxicillin plus 10 mcg clavulanate potassium) to test susceptibility of microorganisms to amoxicillin/clavulanate potassium. Disk diffusion zone sizes should be interpreted according to criteria provided in Table 3.
| Pathogen | Minimum Inhibitory Concentration (mcg/mL) | Disk Diffusion(Zone Diameter in mm) | ||||
| S | I | R | S | I | R | |
| Streptococcus pneumoniae | ≤ 2/1 | 4/2 | ≥ 8/4 | Not applicable (NA) | ||
| Haemophilus influenzae | ≤ 4/2 | NA | ≥ 8/4 | ≥ 20 | NA | ≤ 19 |
NOTE: Susceptibility of S. pneumoniae should be determined using a 1 mcg oxacillin disk. Isolates with oxacillin zone sizes of ≥ 20 mm are susceptible to amoxicillin/clavulanic acid. An amoxicillin/clavulanic acid MIC should be determined on isolates of S. pneumoniae with oxacillin zone sizes of ≤ 19 mm.
NOTE: β-lactamase-negative, ampicillin-resistant H. influenzae isolates must be considered resistant to amoxicillin/clavulanic acid.
A report of S (“Susceptible”) indicates that the antimicrobial is likely to inhibit growth of the pathogen if the antimicrobial compound in the blood reaches the concentration usually achievable. A report of I (“Intermediate”) indicates that the result should be considered equivocal, and, if the microorganism is not fully susceptible to alternative, clinically feasible antimicrobials, the test should be repeated. This category implies possible clinical applicability in body sites where the drug is physiologically concentrated or in situations where high doses of antimicrobial can be used. This category also provides a buffer zone that prevents small uncontrolled technical factors from causing major discrepancies in interpretation. A report of R (“Resistant”) indicates that the antimicrobial is not likely to inhibit growth of the pathogen if the antimicrobial compound in the blood reaches the concentration usually achievable; other therapy should be selected.
Standardized susceptibility test procedures require the use of quality microorganisms to determine the performance of the test procedures. 1-3. Standard amoxicillin/clavulanate potassium powder should provide the MIC ranges for the quality control organisms in Table 4. For the disk diffusion technique, the 30 mcg–amoxicillin/clavulanate potassium disk should provide the zone diameter ranges for the quality control organisms in Table 4.
| Quality Control Organisms | Minimum InhibitoryConcentration Range (mcg/mL) | Disk Diffusion(Zone Diameter Rangein mm) |
| Escherichia coli ATCC®* 35218† (H. influenzae quality control) | 4/2 to 16/8 | 17 to 22 |
| Haemophilus influenzae ATCC 49247 | 2/1 to 16/8 | 15 to 23 |
| Streptococcus pneumoniae ATCC 49619 | 0.03/0.016 to 0.12/0.06 | NA |
*ATCC is a trademark of the American Type Culture Collection.
†When using Haemophilus Test Medium (HTM).
Indications And Usage
Amoxicillin and clavulanate potassium for oral suspension, USP, 600 mg/42.9 mg per 5 mL is indicated for the treatment of pediatric patients with recurrent or persistent acute otitis media due to S. pneumoniae (penicillin MICs ≤ 2mcg/mL), H. influenzae (including β-lactamase-producing strains), or M. catarrhalis (including b-lactamase-producing strains) characterized by the following risk factors:
- antibiotic exposure for acute otitis media within the preceding 3 months, and either of the following:
- age ≤ 2 years
- daycare attendance
[See CLINICAL PHARMACOLOGY, Microbiology].
NOTE: Acute otitis media due to S. pneumoniae alone can be treated with amoxicillin. Amoxicillin and clavulanate potassium for oral suspension, USP, 600 mg/42.9 mg per 5 mL is not indicated for the treatment of acute otitis media due to S. pneumoniae with penicillin MIC ≥ 4 mcg/mL.
Therapy may be instituted prior to obtaining results from bacteriological studies when there is reason to believe the infection may involve both S. pneumoniae (penicillin MIC ≤ 2 mcg/mL) and the b-lactamase-producing organisms that listed above.
To reduce the development of drug-resistant bacteria and maintain the effectiveness of amoxicillin and clavulanate potassium for oral suspension, USP, 600 mg/42.9 mg per 5 mL and other antibacterial drugs, amoxicillin and clavulanate potassium for oral suspension, USP, 600 mg/42.9 mg per 5 mL should be used only to treat or prevent infections that are proven or strongly suspected to be caused by susceptible bacteria. When culture and susceptibility information are available, they should be considered in selecting or modifying antibacterial therapy. In the absence of such data, local epidemiology and susceptibility patterns may contribute to the empiric selection of therapy.
Contraindications
Amoxicillin and clavulanate potassium for oral suspension, 600 mg/42.9 mg per 5 mL is contraindicated in patients with a history of allergic reactions to any penicillin. It is also contraindicated in patients with a previous history of cholestatic jaundice/hepatic dysfunction associated with amoxicillin and clavulanate potassium.
Warnings
SERIOUS AND OCCASIONALLY FATAL HYPERSENSITIVITY (ANAPHYLACTIC) REACTIONS HAVE BEEN REPORTED IN PATIENTS ON PENICILLIN THERAPY. THESE REACTIONS ARE MORE LIKELY TO OCCUR IN INDIVIDUALS WITH A HISTORY OF PENICILLIN HYPERSENSITIVITY AND/OR A HISTORY OF SENSITIVITY TO MULTIPLE ALLERGENS. THERE HAVE BEEN REPORTS OF INDIVIDUALS WITH A HISTORY OF PENICILLIN HYPERSENSITIVITY WHO HAVE EXPERIENCED SEVERE REACTIONS WHEN TREATED WITH CEPHALOSPORINS. BEFORE INITIATING THERAPY WITH AMOXICILLIN AND CLAVULANATE POTASSIUM FOR ORAL SUSPENSION, 600 MG/42.9 MG PER 5 ML, CAREFUL INQUIRY SHOULD BE MADE CONCERNING PREVIOUS HYPERSENSITIVITY REACTIONS TO PENICILLINS, CEPHALOSPORINS, OR OTHER ALLERGENS. IF AN ALLERGIC REACTION OCCURS, AMOXICILLIN AND CLAVULANATE POTASSIUM FOR ORAL SUSPENSION, 600 MG/42.9 MG PER 5 ML SHOULD BE DISCONTINUED AND THE APPROPRIATE THERAPY INSTITUTED. SERIOUS ANAPHYLACTIC REACTIONS REQUIRE IMMEDIATE EMERGENCY TREATMENT WITH EPINEPHRINE. OXYGEN, INTRAVENOUS STEROIDS, AND AIRWAY MANAGEMENT, INCLUDING INTUBATION, SHOULD ALSO BE ADMINISTERED AS INDICATED.
Pseudomembranous colitis has been reported with nearly all antibacterial agents, including amoxicillin/clavulanate potassium, and has ranged in severity from mild to life-threatening. Therefore, it is important to consider this diagnosis in patients who present with diarrhea subsequent to the administration of antibacterial agents.
Treatment with antibacterial agents alters the normal flora of the colon and may permit overgrowth of clostridia. Studies indicate that a toxin produced by Clostridium difficile is one primary cause of “antibiotic-associated colitis.”
After the diagnosis of pseudomembranous colitis has been established, appropriate therapeutic measures should be initiated. Mild cases of pseudomembranous colitis usually respond to drug discontinuation alone. In moderate to severe cases, consideration should be given to management with fluids and electrolytes, protein supplementation, and treatment with an antibacterial drug clinically effective against C. difficile colitis.
Amoxicillin and clavulanate potassium for oral suspension, 600 mg/42.9 mg per 5 mL should be used with caution in patients with evidence of hepatic dysfunction. Hepatic toxicity associated with the use of amoxicillin/clavulanate potassium is usually reversible. On rare occasions, deaths have been reported (less than 1 death reported per estimated 4 million prescriptions worldwide). These have generally been cases associated with serious underlying diseases or concomitant medications (See CONTRAINDICATIONS and ADVERSE REACTIONS-Liver).
General:
While amoxicillin/clavulanate possesses the characteristic low toxicity of the penicillin group of antibiotics, periodic assessment of organ system functions, including renal, hepatic, and hematopoietic function, is advisable if therapy is for longer than the drug is approved for administration.
A high percentage of patients with mononucleosis who receive ampicillin develop an erythematous skin rash. Thus, ampicillin-class antibiotics should not be administered to patients with mononucleosis.
The possibility of superinfections with mycotic or bacterial pathogens should be kept in mind during therapy. If superinfections occur (usually involving Pseudomonas or Candida), the drug should be discontinued and/or appropriate therapy instituted.
Prescribing amoxicillin and clavulanate potassium for oral suspension, 600 mg/42.9 mg per 5 mL in the absence of a proven or strongly suspected bacterial infection or a prophylactic indication is unlikely to provide benefit to the patient and increases the risk of the development of drug-resistant-bacteria.
Information For The Patient:
Amoxicillin and clavulanate potassium for oral suspension, 600 mg/42.9 mg per 5 mL should be taken every 12 hours with a meal or snack to reduce the possibility of gastrointestinal upset. If diarrhea develops and is severe or lasts more than 2 or 3 days, call your doctor.
Keep suspension refrigerated. Shake well before using. When dosing a child with the suspension (liquid) of amoxicillin and clavulanate potassium for oral suspension, 600 mg/42.9 mg per 5 mL, use a dosing spoon or medicine dropper. Be sure to rinse the spoon or dropper after each use. Bottles of amoxicillin and clavulanate potassium for oral suspension, 600 mg/42.9 mg per 5 mL may contain more liquid than required. Follow your doctor’s instructions about the amount to use and the days of treatment your child requires. Discard any unused medicine.
Patients should be counseled that antibacterial drugs including amoxicillin and clavulanate potassium for oral suspension, 600 mg/42.9 mg per 5 mL should only be used to treat bacterial infections. They do not treat viral infections (e.g., the common cold). When amoxicillin and clavulanate potassium for oral suspension, 600 mg/42.9 mg per 5 mL is prescribed to treat a bacterial infection, patients should be told that although it is common to feel better early in the course of therapy, the medication should be taken exactly as directed. Skipping doses or not completing the full course of therapy may: (1) decrease the effectiveness of the immediate treatment, and (2) increase the likelihood that bacteria will develop resistance and will not be treatable by amoxicillin and clavulanate potassium for oral suspension, 600 mg/42.9 mg per 5 mL or other antibacterial drugs in the future.
Phenylketonurics:
Each 5 mL of the 600 mg/42.9 mg per 5 mL of amoxicillin and clavulanate potassium for oral suspension contains 5.6 mg phenylalanine.
Drug Interactions:
Probenecid decreases the renal tubular secretion of amoxicillin. Concurrent use with amoxicillin and clavulanate potassium for oral suspension, 600 mg/42.9 mg per 5 mL may result in increased and prolonged blood levels of amoxicillin. Co-administration of probenecid cannot be recommended.
The concurrent administration of allopurinol and ampicillin increases substantially the incidence of rashes in patients receiving both drugs as compared to patients receiving ampicillin alone. It is not known whether this potentiation of ampicillin rashes is due to allopurinol or the hyperuricemia present in these patients. There are no data with amoxicillin and clavulanate potassium for oral suspension, 600 mg/42.9 mg per 5 mL and allopurinol administered concurrently.
In common with other broad-spectrum antibiotics, amoxicillin/clavulanate may reduce the efficacy of oral contraceptives.
Drug/Laboratory Test Interactions:
Oral administration of amoxicillin and clavulanate potassium will result in high urine concentrations of amoxicillin. High urine concentrations of ampicillin may result in false-positive reactions when testing for the presence of glucose in urine using CLINITEST®, Benedict’s Solution, or Fehling’s Solution. Since this effect may also occur with amoxicillin and therefore amoxicillin and clavulanate potassium for oral suspension, 600 mg/42.9 mg per 5 mL, it is recommended that glucose tests based on enzymatic glucose oxidase reactions (such as CLINISTIX®) be used.
Following administration of ampicillin to pregnant women, a transient decrease in plasma concentration of total conjugated estriol, estriol-glucuronide, conjugated estrone, and estradiol has been noted. This effect may also occur with amoxicillin and therefore amoxicillin and clavulanate potassium for oral suspension, 600 mg/42.9 mg per 5 mL.
Carcinogenesis, Mutagenesis, Impairment Of Fertility:
Long-term studies in animals have not been performed to evaluate carcinogenic potential. The mutagenic potential of amoxicillin and clavulanate potassium was investigated in vitro with an Ames test, a human lymphocyte cytogenetic assay, a yeast test, and a mouse lymphoma forward mutation assay, and in vivo with mouse micronucleus tests and a dominant lethal test. All were negative apart from the in vitro mouse lymphoma assay where weak activity was found at very high, cytotoxic concentrations. Amoxicillin and clavulanate potassium at oral doses of up to 1,200 mg/kg/day (5.7 times the maximum adult human dose based on body surface area) was found to have no effect on fertility and reproductive performance in rats, dosed with a 2:1 ratio formulation of amoxicillin:clavulanate.
Teratogenic Effects:
Pregnancy (Category B). Reproduction studies performed in pregnant rats and mice given amoxicillin and clavulanate potassium at oral dosages up to 1,200 mg/kg/day (4.9 and 2.8 times the maximum adult human oral dose based on body surface area, respectively), revealed no evidence of harm to the fetus due to amoxicillin and clavulanate potassium. There are, however, no adequate and well-controlled studies in pregnant women. Because animal reproduction studies are not always predictive of human response, this drug should be used during pregnancy only if clearly needed.
Labor And Delivery:
Oral ampicillin-class antibiotics are generally poorly absorbed during labor. Studies in guinea pigs have shown that intravenous administration of ampicillin decreased the uterine tone, frequency of contractions, height of contractions, and duration of contractions. However, it is not known whether the use of amoxicillin and clavulanate potassium in humans during labor or delivery has immediate or delayed adverse effects on the fetus, prolongs the duration of labor, or increases the likelihood that forceps delivery or other obstetrical intervention or resuscitation of the newborn will be necessary. In a single study in women with premature rupture of fetal membranes, it was reported that prophylactic treatment with amoxicillin and clavulanate potassium may be associated with an increased risk of necrotizing enterocolitis in neonates.
Nursing Mothers:
Ampicillin-class antibiotics are excreted in human milk; therefore, caution should be exercised when amoxicillin and clavulanate potassium is administered to a nursing woman.
Pediatric Use:
Safety and efficacy of amoxicillin and clavulanate potassium for oral suspension, 600 mg/42.9 mg per 5 mL in infants younger than 3 months to 12 years of age have not been established. Safety and efficacy of amoxicillin and clavulanate potassium for oral suspension,600 mg/42.9 mg per 5 mL have been demonstrated for treatment of acute otitis media in infants and children 3 months to 12 years (see Description of Clinical Studies).
The safety and effectiveness of amoxicillin and clavulanate potassium for oral suspension 600 mg/42.9 mg per 5 mL have been established for the treatment of pediatric patients (3 months to 12 years) with acute bacterial sinusitis. This use is supported by evidence from adequate and well-controlled studies of amoxicillin and clavulanate potassium extended-release tablets in adults with acute bacterial sinusitis, studies of amoxicillin and clavulanate potassium for oral suspension 600 mg/42.9 mg per 5 mL in pediatric patients with acute otitis media, and by similar pharmacokinetics of amoxicillin and clavulanate in pediatric patients taking amoxicillin and clavulanate potassium for oral suspension 600 mg/42.9 mg per 5 mL (see CLINICAL PHARMACOLOGY) and adults taking amoxicillin and clavulanate potassium extended-release tablets.
Adverse Reactions
Amoxicillin and clavulanate potassium for oral suspension, 600 mg/42.9 mg per 5 mL is generally well tolerated. The majority of side effects observed in pediatric clinical trials of acute otitis media were either mild or moderate, and transient in nature; 4.4% of patients discontinued therapy because of drug-related side effects. The most commonly reported side effects with probable or suspected relationship to amoxicillin and clavulanate potassium for oral suspension, 600 mg/42.9 mg per 5 mL were contact dermatitis, i.e., diaper rash (3.5%), diarrhea (2.9%), vomiting (2.2%), moniliasis (1.4%), and rash (1.1%). The most common adverse experiences leading to withdrawal that were of probable or suspected relationship to amoxicillin and clavulanate potassium for oral suspension, 600 mg/42.9 mg per 5 mL were diarrhea (2.5%) and vomiting (1.4%).
The following adverse reactions have been reported for ampicillin-class antibiotics:
Gastrointestinal: Diarrhea, nausea, vomiting, indigestion, gastritis, stomatitis, glossitis, black “hairy” tongue, mucocutaneous candidiasis, enterocolitis, and hemorrhagic/pseudomembranous colitis. Onset of pseudomembranous colitis symptoms may occur during or after antibiotic treatment (See WARNINGS).
Hypersensitivity Reactions: Skin rashes, pruritus, urticaria, angioedema, serum sickness-like reactions (urticaria or skin rash accompanied by arthritis, arthralgia, myalgia, and frequently fever), erythema multiforme (rarely Stevens-Johnson syndrome), acute generalized exanthematous pustulosis, and an occasional case of exfoliative dermatitis (including toxic epidermal necrolysis) have been reported. These reactions may be controlled with antihistamines and, if necessary, systemic corticosteroids. Whenever such reactions occur, the drug should be discontinued, unless the opinion of the physician dictates otherwise. Serious and occasional fatal hypersensitivity (anaphylactic) reactions can occur with oral penicillin (See WARNINGS).
Liver: A moderate rise in AST (SGOT) and/or ALT (SGPT) has been noted in patients treated with ampicillin-class antibiotics, but the significance of these findings is unknown. Hepatic dysfunction, including hepatitis and cholestatic jaundice, (see CONTRAINDICATIONS), increases in serum transaminases (AST and/or ALT), serum bilirubin, and/or alkaline phosphatase, has been infrequently reported with amoxicillin and clavulanate potassium. It has been reported more commonly in the elderly, in males, or in patients on prolonged treatment. The histologic findings on liver biopsy have consisted of predominantly cholestatic, hepatocellular, or mixed cholestatic-hepatocellular changes. The onset of signs/symptoms of hepatic dysfunction may occur during or several weeks after therapy has been discontinued. The hepatic dysfunction, which may be severe, is usually reversible. On rare occasions, deaths have been reported (less than 1 death reported per estimated 4 million prescriptions worldwide). These have generally been cases associated with serious underlying diseases or concomitant medications.
Renal: Interstitial nephritis and hematuria have been reported rarely. Crystalluria has also been reported (see OVERDOSAGE).
Hemic and Lymphatic Systems: Anemia, including hemolytic anemia, thrombocytopenia, thrombocytopenic purpura, eosinophilia, leukopenia, and agranulocytosis have been reported during therapy with penicillins. These reactions are usually reversible on discontinuation of therapy and are believed to be hypersensitivity phenomena. A slight thrombocytosis was noted in less than 1% of the patients treated with amoxicillin and clavulanate potassium. There have been reports of increased prothrombin time in patients receiving amoxicillin and clavulanate potassium and anticoagulant therapy concomitantly.
Central Nervous System: Agitation, anxiety, behavioral changes, confusion, convulsions, dizziness, insomnia, and reversible hyperactivity have been reported rarely.
Miscellaneous: Tooth discoloration (brown, yellow, or gray staining) has been rarely reported. Most reports occurred in pediatric patients. Discoloration was reduced or eliminated with brushing or dental cleaning in most cases.
Overdosage
Following overdosage, patients have experienced primarily gastrointestinal symptoms including stomach and abdominal pain, vomiting, and diarrhea. Rash, hyperactivity, or drowsiness have also been observed in a small number of patients.
In the case of overdosage, discontinue amoxicillin and clavulanate potassium for oral suspension, 600 mg/42.9 mg per 5 mL, treat symptomatically, and institute supportive measures as required. If the overdosage is very recent and there is no contraindication, an attempt at emesis or other means of removal of drug from the stomach may be performed. A prospective study of 51 pediatric patients at a poison control center suggested that overdosages of less than 250 mg/kg of amoxicillin are not associated with significant clinical symptoms and do not require gastric emptying.4
Interstitial nephritis resulting in oliguric renal failure has been reported in a small number of patients after overdosage with amoxicillin.
Crystalluria, in some cases leading to renal failure, has also been reported after amoxicillin overdosage in adult and pediatric patients. In case of overdosage, adequate fluid intake and diuresis should be maintained to reduce the risk of amoxicillin crystalluria.
Renal impairment appears to be reversible with cessation of drug administration. High blood levels may occur more readily in patients with impaired renal function because of decreased renal clearance of both amoxicillin and clavulanate. Both amoxicillin and clavulanate are removed from the circulation by hemodialysis.
Dosage And Administration
Amoxicillin and clavulanate potassium for oral suspension, 600 mg/42.9 mg per 5 mL, does not contain the same amount of clavulanic acid (as the potassium salt) as any of the other suspensions of amoxicillin and clavulanate potassium.
Amoxicillin and clavulanate potassium for oral suspension, 600 mg/42.9 mg per 5 mL contains 42.9 mg of clavulanic acid per 5 mL, whereas the 200 mg/5 mL suspension of amoxicillin and clavulanate potassium contains 28.5 mg of clavulanic acid per 5 mL and the 400 mg/5 mL suspension contains 57 mg of clavulanic acid per 5 mL. Therefore, the 200 mg/5 mL and 400 mg/5 mL suspensions of amoxicillin and clavulanate potassium should not be substituted for amoxicillin and clavulanate potassium for oral suspension, 600 mg/42.9 mg per 5 mL, as they are not interchangeable.
Dosage: Pediatric patients 3 months and older: Based on the amoxicillin component (600 mg/5 mL), the recommended dose of amoxicillin and clavulanate potassium for oral suspension, 600 mg/42.9 mg per 5 mL is 90 mg/kg/day divided every 12 hours, administered for 10 days (see chart below).
| Body Weight (kg) | Volume of Amoxicillin and Clavulanate Potassium for Oral Suspension,600 mg/42.9 mg per 5 mLproviding 90 mg/kg/day |
| 8 | 3 mL twice daily |
| 12 | 4.5 mL twice daily |
| 16 | 6 mL twice daily |
| 20 | 7.5 mL twice daily |
| 24 | 9 mL twice daily |
| 28 | 10.5 mL twice daily |
| 32 | 12 mL twice daily |
| 36 | 13.5 mL twice daily |
Pediatric patients weighing 40 kg and more: Experience with amoxicillin and clavulanate potassium for oral suspension (600 mg/42.9 mg per 5 mL formulation) in this group is not available.
Adults: Experience with amoxicillin and clavulanate potassium for oral suspension (600 mg/42.9 mg per 5 mL formulation) in adults is not available and adults who have difficulty swallowing should not be given amoxicillin and clavulanate potassium for oral suspension (600 mg/42.9 mg per 5 mL) in place of the 500 mg or 875 mg tablet of amoxicillin and clavulanate potassium .
Hepatically impaired patients should be dosed with caution and hepatic function monitored at regular intervals (See WARNINGS).
Directions for Mixing Oral Suspension: Prepare a suspension at time of dispensing as follows: Tap bottle until all the powder flows freely. Add approximately 2/3 of the total amount of water for reconstitution (see table below) and shake vigorously to suspend powder. Add remainder of the water and again shake vigorously.
| Amoxicillin and Clavulanate Potassium for Oral Suspension (600 mg/42.9 mg per 5 mL) | |
| Bottle Size | Amount of Water Required for Suspension |
| 50 mL | 44 mL |
| 75 mL | 65 mL |
| 100 mL | 87 mL |
| 125 mL | 112 mL |
| 150 mL | 129 mL |
| 200 mL | 174 mL |
Each teaspoonful (5 mL) will contain 600 mg amoxicillin as the trihydrate and 42.9 mg of clavulanic acid as the potassium salt.
NOTE: SHAKE ORAL SUSPENSION WELL BEFORE USING.
Administration: To minimize the potential for gastrointestinal intolerance, amoxicillin and clavulanate potassium for oral suspension, 600 mg/42.9 mg per 5 mL should be taken at the start of a meal. Absorption of clavulanate potassium may be enhanced when amoxicillin and clavulanate potassium for oral suspension, 600 mg/42.9 mg per 5 mLis administered at the start of a meal.
How Supplied
Amoxicillin and Clavulanate Potassium for Oral Suspension, USP, 600 mg/42.9 mg per 5 mL:
Each 5 mL of reconstituted white to pale yellow colored, strawberry flavored suspension contains 600 mg of amoxicillin, USP and 42.9 mg of clavulanic acid as the potassium salt and is available as follows:
| NDC 63304-768-03 | 50 mL bottles |
| NDC 63304-768-01 | 75 mL bottles |
| NDC 63304-768-04 | 100 mL bottles |
| NDC 63304-768-07 | 125 mL bottles |
| NDC 63304-768-50 | 150 mL bottles |
| NDC 63304-768-02 | 200 mL bottles |
Storage
Store reconstituted suspension under refrigeration. Discard unused suspension after 10 days.
Store dry powder for oral suspension at 20 – 25° C (68 – 77° F) [See USP Controlled Room Temperature]. Dispense in original container.
Call your doctor for medical advice about side effects. You may report side effects to FDA at 1-800-FDA-1088.
References
- National Committee for Clinical Laboratory Standards. Methods for Dilution Antimicrobial Susceptibility Tests for Bacteria That Grow Aerobically – Sixth Edition; Approved Standard. NCCLS Document M7-A6, Vol. 23, No. 2, NCCLS, Wayne, PA, January 2003.
- National Committee for Clinical Laboratory Standards for Antimicrobial Susceptibility Testing: Fourteenth Informational Supplement; Edition. Approved Standard. NCCLS Document 100-S-14, Vol. 24 No. 1 NCCLS, Wayne, PA, January 2003.
- National Committee for Clinical Laboratory Standards. Performance Standards for Antimicrobial Susceptibility Tests – Eighth Edition; Approved Standard. NCCLS Document M2-A8, Vol. 23, No. 1, NCCLS, Wayne, PA, January 2003.
- Swanson-Biearman B, Dean BS, Lopez G, Krenzelok EP. The effects of penicillin and cephalosporin ingestions in children less than six years of age. Vet Hum Toxicol 1988;30:66-67.
CLINITEST® is a registered trademark of Miles, Inc.
CLINISTIX® is a registered trademark of Bayer Corporation.
Manufactured for:
Ranbaxy Pharmaceuticals Inc.
Jacksonville, FL 32257 USA
by: Ranbaxy Laboratories Ltd.
New Delhi - 110 019, India
April 2009 FDA-6
* Please review the disclaimer below.

