Product Images Caffeine Citrate
View Photos of Packaging, Labels & Appearance
Product Label Images
The following 4 images provide visual information about the product associated with Caffeine Citrate NDC 63323-407 by Fresenius Kabi Usa, Llc, such as packaging, labeling, and the appearance of the drug itself. This resource could be helpful for medical professionals, pharmacists, and patients seeking to verify medication information and ensure they have the correct product.
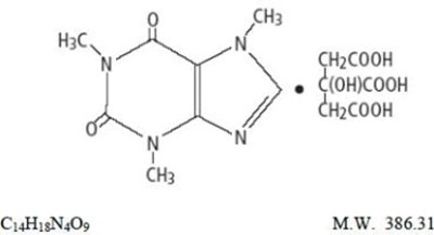
Structural Formula - caf02 0003 01

Chemical formula: C14H18N4O5 Molecular weight: 386.31 g/mol This text provides information about the chemical formula and molecular weight of a compound.*
PACKAGE LABEL - PRINCIPAL DISPLAY - Caffeine Citrate 3 mL Single Dose Vial Label - caf02 0003 03

This is a description of a pharmaceutical product with NDC number 63323-407-03, containing Sterile, nonpyrogenic Caffeine Citrate for intravenous use. Each mL includes Caffeine citrate, caffeine anhydrous, citric acid, sodium citrate dihydrate, and water for injection. The product is for single use only and should be stored at 20° to 25°C. It is preservative-free and comes in a 3 mL Single Dose Vial. The container closure does not contain natural rubber latex.*
PPACKAGE LABEL - PRINCIPAL DISPLAY - Caffeine Citrate 3 mL Single Dose Carton - caf02 0003 04

This text appears to be a medical description of a pharmaceutical product. It mentions details about a Caffeine Citrate Injection, USP, with specific dosage information and instructions for use. The product is labeled for single use only and is suitable for intravenous administration. It also provides storage recommendations and precautions about the container closure. Details about the manufacturer and the product's specifics are included.*
* The product label images have been analyzed using a combination of traditional computing and machine learning techniques. It should be noted that the descriptions provided may not be entirely accurate as they are experimental in nature. Use the information in this page at your own discretion and risk.