Product Images Vecuronium Bromide

View Photos of Packaging, Labels & Appearance

Product Label Images

The following 6 images provide visual information about the product associated with Vecuronium Bromide NDC 63323-782 by Fresenius Kabi Usa, Llc, such as packaging, labeling, and the appearance of the drug itself. This resource could be helpful for medical professionals, pharmacists, and patients seeking to verify medication information and ensure they have the correct product.

10vial

10vial

This is a prescription drug with NDC code 63323-781-21. It is Vecuronium Bromide in injectable form with 10mg strength, to be used only for intravenous administration. This drug is a paralyzing agent, and its package contains a warning to that effect. When reconstituted to 10mL, its strength is 1mg/mL.*

Tray10g

Tray10g

This is a product label for Vecuronium Bromide for Injection, containing 10x10mg vials for intravenous use. It cautions that the product should be reconstituted with 10mL of solution and is for "IV use only." The label also includes the NDC number and a warning statement.*

carton20mg

carton20mg

NDC 63323-782-20 is a warning for Vecuronium Bromide for Injection which comes in 10 x 20 mg vial lyophilized powder form as a paralyzing agent to be used only for intravenous purposes. When reconstituted to 20 mL, it is in a 1mg/mL concentration. The rest of the text is not clear.*

logo - fk logo

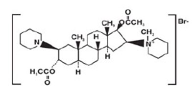
structure - ver structure

structure - ver structure

vial20

vial20

This is a warning and dosage information for Vecuronium Bromide, a paralyzing agent used only for intravenous administration. It has the National Drug Code 63323-782-23 and when reconstituted to 20 mL, provides 1 mg/mL strength.*

* The product label images have been analyzed using a combination of traditional computing and machine learning techniques. It should be noted that the descriptions provided may not be entirely accurate as they are experimental in nature. Use the information in this page at your own discretion and risk.