Product Images Inlyta
View Photos of Packaging, Labels & Appearance
Product Label Images
The following 9 images provide visual information about the product associated with Inlyta NDC 63539-044 by U.s. Pharmaceuticals, such as packaging, labeling, and the appearance of the drug itself. This resource could be helpful for medical professionals, pharmacists, and patients seeking to verify medication information and ensure they have the correct product.
Figure 1 - inlyta 02

This document provides information on population description for different drugs including strong CYP3A4/5 inhibitors and inducers, antacids, and recommendations for dose adjustment based on hepatic impairment. The text also includes PK parameters such as Cmax and AUC, as well as fold change and 90% CI recommendations. The document also explains the meaning of AUC and Cmax and provides dosage and administration instructions for INLYTA.*
Logo - inlyta 04

This is a graph that represents the comparison of Overall Survival between the treatment arms of INLYTA + pembrolizumab and Sunitinib over a period of 24 months. The graph shows that after 24 months, the overall survival rate for patients taking INLYTA + pembrolizumab was higher than patients taking Sunitinib. The number at risk for INLYTA + pembrolizumab treatment arm was 432, while for the Sunitinib arm, the number at risk was 101.*
Principal Display Panel - 5 mg Tablet Bottle Label - inlyta 05

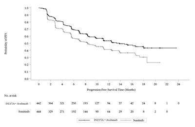
This text appears to be a chart showing the proportion of patients who remained progression-free during a clinical trial involving two medications: INLYTA and Sorafenib. The chart shows that in the group of 361 patients who received INLYTA, the median progression-free period was 6.7 months. In the group of 362 patients who received Sorafenib, the median progression-free period was 4.7 months. The hazard ratio for INLYTA versus Sorafenib was 0.67, with a 95% confidence interval of 0.54 to 0.81 and a P value of less than 0.0001. The numbers at the bottom of the chart may represent time in months.*
PRINCIPAL DISPLAY PANEL - 1 mg Tablet Bottle Label - inlyta 06

This text is a distribution information for the Pfizer Labs Division of Pfizer Inc, located in NY, NY 10017.*
inlyta 07

This is a brief text indicating that a company called Pfizer Labs, which is a division of Pfizer Inc. located in NY, NY 10017, is responsible for distribution. It is likely that this text was found on the packaging or label of a product distributed by Pfizer Labs.*
inlyta 08

This is a label of a medication called Inlyta (axitinib) tablets. It states the storage temperature range, dosage information, and the quantity of medication in the container. It also mentions that the medication should be dispensed in a child-resistant container and cautions that the accompanying prescribing information should be reviewed. It lists the manufacturer and the place of origin. It also indicates that this sample is not for sale.*
inlyta 09

This is a description of storage and dosage information for Inlyta® tablets containing 1 mg of axitinib. The tablets should be stored between 20°C to 25°C (68°F to 77°F), with excursions allowed up to 15°C to 30°C (59°F to 86°F). Dispensing should be done in child-resistant containers, according to USP standards. The prescribing information should be referenced for dosage and usage guidance. The tablets are distributed by U.S. Pharmaceuticals Pfizer Inc. The product is not for sale and only intended for professional samples. A product code is also included: NDC 63539-026-01.*
* The product label images have been analyzed using a combination of traditional computing and machine learning techniques. It should be noted that the descriptions provided may not be entirely accurate as they are experimental in nature. Use the information in this page at your own discretion and risk.