Product Images Labetalol Hydrochloride

View Photos of Packaging, Labels & Appearance

Product Label Images

The following 2 images provide visual information about the product associated with Labetalol Hydrochloride NDC 63629-1164 by Bryant Ranch Prepack, such as packaging, labeling, and the appearance of the drug itself. This resource could be helpful for medical professionals, pharmacists, and patients seeking to verify medication information and ensure they have the correct product.

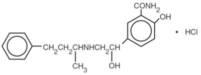
the following structure for Labetalol hydrochloride, USP is a racemate, chemically designated as 2-hydroxy-5-[1-hydroxy-2-[(1-methyl-3-phenylpropyl)amino]ethyl] benzamide monohydrochloride. - labetalol hcl tablets 01

the following structure for Labetalol hydrochloride, USP is a racemate, chemically designated as 2-hydroxy-5-[1-hydroxy-2-[(1-methyl-3-phenylpropyl)amino]ethyl] benzamide monohydrochloride. - labetalol hcl tablets 01

Label - lbl636291164

Label - lbl636291164

This is a description of a medication called NILD in the form of Labetalol Hydrochloride tablets. The tablets come in a container with 500 tablets and each tablet contains 200 mg of the active ingredient. The medication should be kept away from children and stored at a controlled room temperature of 20° to 25°C. The tablets should be dispensed in a tightly sealed USP-defined container with a childproof cap. NDC number for the tablets is 63629-1164-1.*

* The product label images have been analyzed using a combination of traditional computing and machine learning techniques. It should be noted that the descriptions provided may not be entirely accurate as they are experimental in nature. Use the information in this page at your own discretion and risk.