Product Images Carisoprodol

View Photos of Packaging, Labels & Appearance

Product Label Images

The following 2 images provide visual information about the product associated with Carisoprodol NDC 63629-1169 by Bryant Ranch Prepack, such as packaging, labeling, and the appearance of the drug itself. This resource could be helpful for medical professionals, pharmacists, and patients seeking to verify medication information and ensure they have the correct product.

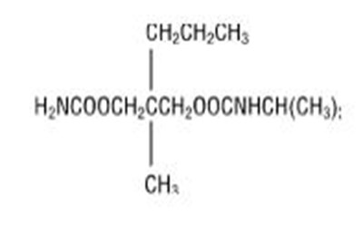
The structural formula for Carisoprodol Tablets USP are available as 350 mg round, white tablets for oral administration. Carisoprodol is a white, crystalline powder, having a mild, characteristic odor and a bitter taste. It is slightly soluble in water; freely soluble in alcohol, in chloroform, and in acetone; and its solubility is practically independent of pH. Carisoprodol is present as a racemic mixture. Chemically, carisoprodol is N-isopropyl-2-methyl-2-propyl-1,3-propanediol dicarbamate and the molecular formula is C12H24N2O4, with a molecular weight of 260.33. - carisoprodol tablets 01

The structural formula for Carisoprodol Tablets USP are available as 350 mg round, white tablets for oral administration. Carisoprodol is a white, crystalline powder, having a mild, characteristic odor and a bitter taste. It is slightly soluble in water; freely soluble in alcohol, in chloroform, and in acetone; and its solubility is practically independent of pH. Carisoprodol is present as a racemic mixture. Chemically, carisoprodol is N-isopropyl-2-methyl-2-propyl-1,3-propanediol dicarbamate and the molecular formula is C12H24N2O4, with a molecular weight of 260.33. - carisoprodol tablets 01

Label - lbl636291169

Label - lbl636291169

Carisoprodol Tablets are a prescription medicine with each tablet containing 350 mg of Carisoprodol, USP. The medicine is to be kept out of children's reach and stored in a tight, light-resistant container between 20° to 25°C (68° to 77°F) with a child-resistant closure. The medicine may cause drowsiness. The NDC for the medicine is 63629-1169-1. The package contains 500 tablets and is only available on prescription.*

* The product label images have been analyzed using a combination of traditional computing and machine learning techniques. It should be noted that the descriptions provided may not be entirely accurate as they are experimental in nature. Use the information in this page at your own discretion and risk.