Product Images Valganciclovir
View Photos of Packaging, Labels & Appearance
Product Label Images
The following 4 images provide visual information about the product associated with Valganciclovir NDC 63629-2288 by Bryant Ranch Prepack, such as packaging, labeling, and the appearance of the drug itself. This resource could be helpful for medical professionals, pharmacists, and patients seeking to verify medication information and ensure they have the correct product.
Label - lbl636292288

Valganciclovir Tablets, USP is a prescription drug that is film-coated and contains 450 mg of Valganciclovir. It comes in a bottle containing 60 tablets, and it's recommended to store it at a temperature between 20°C to 25°C. Dispense it in a tightly closed container with a child-resistant cap to keep the drug away from children. Breaking or crushing is not allowed. The NDC number of this drug is 63629-2288-1.*
Figure 1 - valgantabl 1

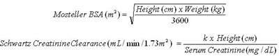
This text provides formulas for calculating the Mosteller BSA and Schwartz Creatinine Clearance. Mosteller BSA can be calculated by multiplying the height in centimeters by the weight in kilograms and dividing the result by 3600 times the square root of height in centimeters. Schwartz Creatinine Clearance can be calculated as the product of 0.413 times height in centimeters divided by Serum Creatinine in milligrams per deciliter.*
* The product label images have been analyzed using a combination of traditional computing and machine learning techniques. It should be noted that the descriptions provided may not be entirely accurate as they are experimental in nature. Use the information in this page at your own discretion and risk.