Product Images Carvedilol
View Photos of Packaging, Labels & Appearance
Product Label Images
The following 4 images provide visual information about the product associated with Carvedilol NDC 63629-3668 by Bryant Ranch Prepack, such as packaging, labeling, and the appearance of the drug itself. This resource could be helpful for medical professionals, pharmacists, and patients seeking to verify medication information and ensure they have the correct product.
Label - 36681

This appears to be a medication label for a 6.25mg tablet of Carvedilol. It instructs to store the medication in a light-resistant container at room temperature and gives an expiration date of MM/YY. It also includes information about the manufacturer and NDC number.*
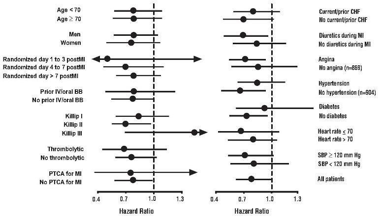
Figure 1. Survival Analysis for CAPRICORN (intent-to-treat) - carvedilol fig1

This is a chart that compares mortality rates between a placebo and Carvedilol. The y-axis shows the percentage of mortality, with increments of 10%, and the x-axis shows the variable "P=003". There is no further information available.*
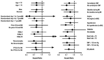
Figure 2. Effects on Mortality for Subgroups in CAPRICORN - carvedilol fig2

This text appears to be a mix of medical-related terms and random numbers without any clear context. Therefore, it is not possible to generate a useful description.*
* The product label images have been analyzed using a combination of traditional computing and machine learning techniques. It should be noted that the descriptions provided may not be entirely accurate as they are experimental in nature. Use the information in this page at your own discretion and risk.