Product Images Oxandrolone

View Photos of Packaging, Labels & Appearance

Product Label Images

The following 2 images provide visual information about the product associated with Oxandrolone NDC 63629-7603 by Bryant Ranch Prepack, such as packaging, labeling, and the appearance of the drug itself. This resource could be helpful for medical professionals, pharmacists, and patients seeking to verify medication information and ensure they have the correct product.

Label Image - lbl636297603

Label Image - lbl636297603

This appears to be a description of a medication called "Oxandrin 2.5mg (CIII)" produced by Par Pharmaceutical Companies, Inc. The package was prepacked by Bryant Ranck and contains 30 tablets. The medication should be stored at a temperature between 20 and 25 degrees Celsius and should be kept out of reach of children. The product has an NDC number of 6362976031 and an expiration date of MM/YY which is not specified. The last line of characters is unclear and cannot be determined.*

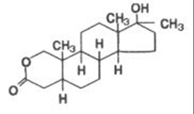
This is the structural formula - oxandrolone tablet usp 1

This is the structural formula - oxandrolone tablet usp 1

* The product label images have been analyzed using a combination of traditional computing and machine learning techniques. It should be noted that the descriptions provided may not be entirely accurate as they are experimental in nature. Use the information in this page at your own discretion and risk.