Product Images Paroxetine Hydrochloride

View Photos of Packaging, Labels & Appearance

Product Label Images

The following 5 images provide visual information about the product associated with Paroxetine Hydrochloride NDC 63629-8527 by Bryant Ranch Prepack, such as packaging, labeling, and the appearance of the drug itself. This resource could be helpful for medical professionals, pharmacists, and patients seeking to verify medication information and ensure they have the correct product.

Label - lbl636298527

Label - lbl636298527

This is a description of Paroxetine Hydrochloride extended-release tablets that contain 25 mg of paroxetine. It is important to keep this medication away from children, store it at a temperature of 20° to 25°C, and dispense it in a tight, light-resistant container with a child-resistant closure. The tablets should be swallowed whole and not broken, crushed, dissolved, or chewed. This description includes the NDC code, dosage form, and quantity of the medication, but does not provide any indications or recommended usage.*

Formula - paroxetine extended release tablets usp 1

Formula - paroxetine extended release tablets usp 1

Figure 1 - paroxetine extended release tablets usp 2

Figure 1 - paroxetine extended release tablets usp 2

Figure 2 - paroxetine extended release tablets usp 3

Figure 2 - paroxetine extended release tablets usp 3

Figure 3 - paroxetine extended release tablets usp 4

Figure 3 - paroxetine extended release tablets usp 4

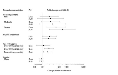
This text appears to be a chart or table with information on population description, including details on renal and hepatic impairment, age, gender, and pharmacokinetics. The chart includes dosing recommendations based on age and impairment level, as well as measurements of Cmax, AUC, and Cmin. The last two rows seem to show fold change and percent confidence intervals, with a value of 50.0 showing a relative change to the reference.*

* The product label images have been analyzed using a combination of traditional computing and machine learning techniques. It should be noted that the descriptions provided may not be entirely accurate as they are experimental in nature. Use the information in this page at your own discretion and risk.