Product Images Clindamycin Phosphate

View Photos of Packaging, Labels & Appearance

Product Label Images

The following 3 images provide visual information about the product associated with Clindamycin Phosphate NDC 63629-8628 by Bryant Ranch Prepack, such as packaging, labeling, and the appearance of the drug itself. This resource could be helpful for medical professionals, pharmacists, and patients seeking to verify medication information and ensure they have the correct product.

Image 2 - image 02

Image 2 - image 02

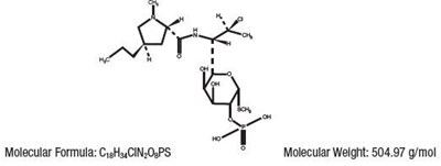
The text provides information about the molecular formula and weight of a compound. Specifically, the molecular formula is CysHs CIN.OsPS, and the molecular weight is 504.97 g/mol. No further information is available.*

Image - image 05

Image - image 05

These are instructions for using Clindamycin Phosphate Foam, 1%. To use it, first remove the clear cap and hold the can upright. Firmly press the nozzle to dispense the foam either into the clear cap or onto a cool surface. Dispense enough to cover the affected area. If the can seems warm or the foam seems runny, run the can under cold water. Once dispensed, pick up a small amount with your fingertips and gently rub it into the affected area until the foam disappears.*

Label - lbl636298628

Label - lbl636298628

This is a description of a medication called "Clindamycin Phosphate Foam" produced by VSN #0516 YO Yueqing. It contains 10mg of clindamycin per gram in a hydroethanolic foam vehicle with various other chemicals including cetyl alcohol, polysorbate 60, propylene glycol, and purified water. The medication is not child-resistant and should be kept out of reach of children. It must be stored at 20° to 25°C (68° to 77°F) and should not be exposed to excessive heat. It is flammable, so it is important to avoid fire, flame, or smoking when applying it. The medication is only for topical use, and should not be used for ophthalmic, oral or intravaginal purposes. The medication is available in a 50-gram package and is only available with a prescription.*

* The product label images have been analyzed using a combination of traditional computing and machine learning techniques. It should be noted that the descriptions provided may not be entirely accurate as they are experimental in nature. Use the information in this page at your own discretion and risk.