Product Images Clindamycin Phosphate

View Photos of Packaging, Labels & Appearance

Product Label Images

The following 2 images provide visual information about the product associated with Clindamycin Phosphate NDC 63629-8630 by Bryant Ranch Prepack, such as packaging, labeling, and the appearance of the drug itself. This resource could be helpful for medical professionals, pharmacists, and patients seeking to verify medication information and ensure they have the correct product.

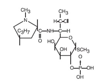
chemical-structure.jpg - chemical structure 9B3

chemical-structure.jpg - chemical structure 9B3

Label - lbl636298630

Label - lbl636298630

This is a description of Clindamycin Phosphate Gel, USP, used for topical use, which contains 10mg of Clindamycin Phosphate in each gram. The drug also includes carbomer 974P, methylparaben, polyethylene glycol 400, propylene glycol, sodium hydroxide, purified water, and allantoin. This medication should be kept out of the reach of children and stored at controlled room temperature, between 20°C to 25°C (68°F to 77°F), and protected from freezing. The product is available in a 30-gram pharmaceutical packaging and is only for prescription. The text also contains safety instructions to avoid eye contact.*

* The product label images have been analyzed using a combination of traditional computing and machine learning techniques. It should be noted that the descriptions provided may not be entirely accurate as they are experimental in nature. Use the information in this page at your own discretion and risk.