Product Images Nystop

View Photos of Packaging, Labels & Appearance

Product Label Images

The following 2 images provide visual information about the product associated with Nystop NDC 63629-8696 by Bryant Ranch Prepack, such as packaging, labeling, and the appearance of the drug itself. This resource could be helpful for medical professionals, pharmacists, and patients seeking to verify medication information and ensure they have the correct product.

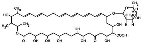
Structural Formula - image 01

Structural Formula - image 01

Label - lbl636298696

Label - lbl636298696

NYSTOP Nystatin powder is a topical medication that contains 100,000 USP units of nystatin in talc. It is used to treat skin infections and should be applied 2 to 3 times a day on the affected area. The medication should be kept out of reach of children and stored at a controlled room temperature of 15°C-30°C (59°F-86°F). It should be tightly closed and is not for ophthalmic use. The NDC number of the medication is 63629-8696-1.*

* The product label images have been analyzed using a combination of traditional computing and machine learning techniques. It should be noted that the descriptions provided may not be entirely accurate as they are experimental in nature. Use the information in this page at your own discretion and risk.