Product Images Carvedilol Phosphate
View Photos of Packaging, Labels & Appearance
- coreg-cr-chem-struc - carvedilol phosphate extended release spl graphic 01
 - Figure 1 Survival Analysis for COPERNICUS (Intent to Treat) - carvedilol phosphate extended release spl graphic 02
 - Figure 2. Effects on Mortality for Subgroups in COPERNICUS - carvedilol phosphate extended release spl graphic 03
 - Figure 3 - carvedilol phosphate extended release spl graphic 04
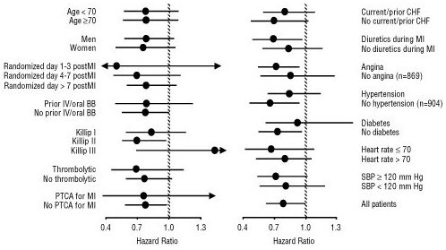
 - Figure 4. Effects on Mortality for Subgroups in CAPRICORN - carvedilol phosphate extended release spl graphic 05
 - Figure 5. Changes from Baseline in Systolic Blood Pressure and Diastolic Blood Pressure Measured by 24-Hour ABPM with Carvedilol Phosphate Extended-release Capsules - carvedilol phosphate extended release spl graphic 06
 - Label - lbl636298794
 
Product Label Images
The following 7 images provide visual information about the product associated with Carvedilol Phosphate NDC 63629-8794 by Bryant Ranch Prepack, such as packaging, labeling, and the appearance of the drug itself. This resource could be helpful for medical professionals, pharmacists, and patients seeking to verify medication information and ensure they have the correct product.
Figure 1 Survival Analysis for COPERNICUS (Intent to Treat) - carvedilol phosphate extended release spl graphic 02
                            
                                                            Figure 2. Effects on Mortality for Subgroups in COPERNICUS - carvedilol phosphate extended release spl graphic 03
                            
                                This appears to be a table with information about men and women in different age groups, with and without various medical conditions and characteristics such as race, blood pressure, and heart function. It also includes a measure of hazard ratio. However, some of the text is unclear and there are random symbols interspersed throughout, making it difficult to provide a more detailed description.*
Figure 4. Effects on Mortality for Subgroups in CAPRICORN - carvedilol phosphate extended release spl graphic 05
                            
                                                            Figure 5. Changes from Baseline in Systolic Blood Pressure and Diastolic Blood Pressure Measured by 24-Hour ABPM with Carvedilol Phosphate Extended-release Capsules - carvedilol phosphate extended release spl graphic 06
                            
                                This appears to be a table, with two columns indicating changes in SBP and DBP measured in mmHg. There seems to be an additional column labeled "Time and morning dose" and some text that might be cut off, but it is not clear what it says. The table also mentions a "locally weighted regression smoothing methodology" that was used to smooth the data.*
Label - lbl636298794
                            
                                Each capsule of this medicine with NDC 63629-8794-1 contains 80 mg of carvedilol phosphate in extended-release form. It is essential to store the capsules at 25°C (77°F) and avoid consuming them if the membrane seal under the cap is missing or open. The medicine's recommended dose is once daily, and it is only available through a prescription. Keep it out of reach of children. Unfortunately, the remaining text is not available for comprehension.*
* The product label images have been analyzed using a combination of traditional computing and machine learning techniques. It should be noted that the descriptions provided may not be entirely accurate as they are experimental in nature. Use the information in this page at your own discretion and risk.