FDA Label for Novolog
View Indications, Usage & Precautions
- 1.1 TREATMENT OF DIABETES MELLITUS
- 2.1 DOSING
- 2.2 SUBCUTANEOUS INJECTION
- 2.3 CONTINUOUS SUBCUTANEOUS INSULIN INFUSION (CSII) BY EXTERNAL PUMP
- 2.4 INTRAVENOUS USE
- 3 DOSAGE FORMS AND STRENGTHS
- 4 CONTRAINDICATIONS
- 5.1 ADMINISTRATION
- 5.2 HYPOGLYCEMIA
- 5.3 HYPOKALEMIA
- 5.4 RENAL IMPAIRMENT
- 5.5 HEPATIC IMPAIRMENT
- 5.6 HYPERSENSITIVITY AND ALLERGIC REACTIONS
- 5.7 ANTIBODY PRODUCTION
- 5.8 MIXING OF INSULINS
- 5.9 CONTINUOUS SUBCUTANEOUS INSULIN INFUSION BY EXTERNAL PUMP
- 5.10 FLUID RETENTION AND HEART FAILURE WITH CONCOMITANT USE OF PPAR-GAMMA AGONISTS
- 6 ADVERSE REACTIONS
- 7 DRUG INTERACTIONS
- 8.1 PREGNANCY
- 8.3 NURSING MOTHERS
- 8.4 PEDIATRIC USE
- 8.5 GERIATRIC USE
- 10 OVERDOSAGE
- 11 DESCRIPTION
- 12.1 MECHANISM OF ACTION
- 12.2 PHARMACODYNAMICS
- 12.3 PHARMACOKINETICS
- 13.1 CARCINOGENESIS, MUTAGENESIS, IMPAIRMENT OF FERTILITY
- 13.2 ANIMAL TOXICOLOGY AND/OR PHARMACOLOGY
- 14.1 SUBCUTANEOUS DAILY INJECTIONS
- 14.2 CONTINUOUS SUBCUTANEOUS INSULIN INFUSION (CSII) BY EXTERNAL PUMP
- 14.3 INTRAVENOUS ADMINISTRATION OF NOVOLOG
- 16 HOW SUPPLIED/STORAGE AND HANDLING
- 16.1 HOW SUPPLIED
- 16.2 RECOMMENDED STORAGE
- 17 PATIENT COUNSELING INFORMATION
- 17.1 PHYSICIAN INSTRUCTIONS
- 17.2 PATIENTS USING PUMPS
- 17.3 FDA APPROVED PATIENT LABELING
- PATIENT INFORMATION
Novolog Product Label
The following document was submitted to the FDA by the labeler of this product Tya Pharmaceuticals. The document includes published materials associated whith this product with the essential scientific information about this product as well as other prescribing information. Product labels may durg indications and usage, generic names, contraindications, active ingredients, strength dosage, routes of administration, appearance, warnings, inactive ingredients, etc.
1.1 Treatment Of Diabetes Mellitus
NovoLog is an insulin analog indicated to improve glycemic control in adults and children with diabetes mellitus.
2.1 Dosing
NovoLog is an insulin analog with an earlier onset of action than regular human insulin. The dosage of NovoLog must be individualized. NovoLog given by subcutaneous injection should generally be used in regimens with an intermediate or long-acting insulin [ ]. The total daily insulin requirement may vary and is usually between 0.5 to 1.0 units/kg/day. When used in a meal-related subcutaneous injection treatment regimen, 50 to 70% of total insulin requirements may be provided by NovoLog and the remainder provided by an intermediate-acting or long-acting insulin. Because of NovoLog’s comparatively rapid onset and short duration of glucose lowering activity, some patients may require more basal insulin and more total insulin to prevent pre-meal hyperglycemia when using NovoLog than when using human regular insulin. see Warnings and Precautions (5),How Supplied/Storage and Handling (16.2)
Do not use NovoLog that is viscous (thickened) or cloudy; use only if it is clear and colorless. NovoLog should not be used after the printed expiration date.
2.2 Subcutaneous Injection
NovoLog should be administered by subcutaneous injection in the abdominal region, buttocks, thigh, or upper arm. Because NovoLog has a more rapid onset and a shorter duration of activity than human regular insulin, it should be injected immediately (within 5-10 minutes) before a meal. Injection sites should be rotated within the same region to reduce the risk of lipodystrophy. As with all insulins, the duration of action of NovoLog will vary according to the dose, injection site, blood flow, temperature, and level of physical activity.
NovoLog may be diluted with Insulin Diluting Medium for NovoLog for subcutaneous injection. Diluting one part NovoLog to nine parts diluent will yield a concentration one-tenth that of NovoLog (equivalent to U-10). Diluting one part NovoLog to one part diluent will yield a concentration one-half that of NovoLog (equivalent to U-50).
2.3 Continuous Subcutaneous Insulin Infusion (Csii) By External Pump
NovoLog can also be infused subcutaneously by an external insulin pump [see ]. Diluted insulin should not be used in external insulin pumps. Because NovoLog has a more rapid onset and a shorter duration of activity than human regular insulin, pre-meal boluses of NovoLog should be infused immediately (within 5-10 minutes) before a meal. Infusion sites should be rotated within the same region to reduce the risk of lipodystrophy. The initial programming of the external insulin infusion pump should be based on the total daily insulin dose of the previous regimen. Although there is significant interpatient variability, approximately 50% of the total dose is usually given as meal-related boluses of NovoLog and the remainder is given as a basal infusion. , Warnings and Precautions (5.8,5.9)How Supplied/Storage and Handling (16.2)Change the NovoLog in the reservoir at least every 6 days, change the infusion sets and the infusion set insertion site at least every 3 days.
The following insulin pumps† have been used in NovoLog clinical or in vitro studies conducted by Novo Nordisk, the manufacturer of NovoLog:
- Medtronic Paradigm® 512 and 712
• - MiniMed 508
• - Disetronic® D-TRON® and H-TRON®
•
Before using a different insulin pump with NovoLog, read the pump label to make sure the pump has been evaluated with NovoLog.
2.4 Intravenous Use
NovoLog can be administered intravenously under medical supervision for glycemic control with close monitoring of blood glucose and potassium levels to avoid hypoglycemia and hypokalemia [ ]. For intravenous use, NovoLog should be used at concentrations from 0.05 U/mL to 1.0 U/mL insulin aspart in infusion systems using polypropylene infusion bags. NovoLog has been shown to be stable in infusion fluids such as 0.9% sodium chloride. see , Warnings and Precautions (5)How Supplied/Storage and Handling (16.2)
Inspect NovoLog for particulate matter and discoloration prior to parenteral administration.
3 Dosage Forms And Strengths
NovoLog is available in the following package sizes: each presentation contains 100 units of insulin aspart per mL (U-100).
- 10 mL vials
• - 3 mL PenFill cartridges for the 3 mL PenFill cartridge delivery device (with or without the addition of a NovoPen 3 PenMate ) with NovoFine disposable needles
• ®®® - 3 mL NovoLog FlexPen
• - 3 mL NovoLog FlexTouch
•
4 Contraindications
NovoLog is contraindicated
- during episodes of hypoglycemia
• - in patients with hypersensitivity to NovoLog or one of its excipients.
•
5.1 Administration
NovoLog has a more rapid onset of action and a shorter duration of activity than regular human insulin. An injection of NovoLog should immediately be followed by a meal within 5-10 minutes. Because of NovoLog’s short duration of action, a longer acting insulin should also be used in patients with type 1 diabetes and may also be needed in patients with type 2 diabetes. Glucose monitoring is recommended for all patients with diabetes and is particularly important for patients using external pump infusion therapy.
Any change of insulin dose should be made cautiously and only under medical supervision. Changing from one insulin product to another or changing the insulin strength may result in the need for a change in dosage. As with all insulin preparations, the time course of NovoLog action may vary in different individuals or at different times in the same individual and is dependent on many conditions, including the site of injection, local blood supply, temperature, and physical activity. Patients who change their level of physical activity or meal plan may require adjustment of insulin dosages. Insulin requirements may be altered during illness, emotional disturbances, or other stresses.
Patients using continuous subcutaneous insulin infusion pump therapy must be trained to administer insulin by injection and have alternate insulin therapy available in case of pump failure.
Needles, NovoLog FlexPen and NovoLog FlexTouch must not be shared.
5.2 Hypoglycemia
Hypoglycemia is the most common adverse effect of all insulin therapies, including NovoLog. Severe hypoglycemia may lead to unconsciousness and/or convulsions and may result in temporary or permanent impairment of brain function or death. Severe hypoglycemia requiring the assistance of another person and/or parenteral glucose infusion or glucagon administration has been observed in clinical trials with insulin, including trials with NovoLog.
The timing of hypoglycemia usually reflects the time-action profile of the administered insulin formulations [ ]. Other factors such as changes in food intake (e.g., amount of food or timing of meals), injection site, exercise, and concomitant medications may also alter the risk of hypoglycemia [ ]. As with all insulins, use caution in patients with hypoglycemia unawareness and in patients who may be predisposed to hypoglycemia (e.g., patients who are fasting or have erratic food intake). The patient’s ability to concentrate and react may be impaired as a result of hypoglycemia. This may present a risk in situations where these abilities are especially important, such as driving or operating other machinery. see Clinical Pharmacology (12)see Drug Interactions (7)
Rapid changes in serum glucose levels may induce symptoms of hypoglycemia in persons with diabetes, regardless of the glucose value. Early warning symptoms of hypoglycemia may be different or less pronounced under certain conditions, such as longstanding diabetes, diabetic nerve disease, use of medications such as beta-blockers, or intensified diabetes control [ ]. These situations may result in severe hypoglycemia (and, possibly, loss of consciousness) prior to the patient’s awareness of hypoglycemia. Intravenously administered insulin has a more rapid onset of action than subcutaneously administered insulin, requiring more close monitoring for hypoglycemia. see Drug Interactions (7)
5.3 Hypokalemia
All insulin products, including NovoLog, cause a shift in potassium from the extracellular to intracellular space, possibly leading to hypokalemia that, if left untreated, may cause respiratory paralysis, ventricular arrhythmia, and death. Use caution in patients who may be at risk for hypokalemia (e.g., patients using potassium-lowering medications, patients taking medications sensitive to serum potassium concentrations, and patients receiving intravenously administered insulin).
5.4 Renal Impairment
As with other insulins, the dose requirements for NovoLog may be reduced in patients with renal impairment [ ]. see Clinical Pharmacology (12.3)
5.5 Hepatic Impairment
As with other insulins, the dose requirements for NovoLog may be reduced in patients with hepatic impairment [ ]. see Clinical Pharmacology (12.3)
5.6 Hypersensitivity And Allergic Reactions
- As with other insulin therapy, patients may experience redness, swelling, or itching at the site of NovoLog injection. These reactions usually resolve in a few days to a few weeks, but in some occasions, may require discontinuation of NovoLog. In some instances, these reactions may be related to factors other than insulin, such as irritants in a skin cleansing agent or poor injection technique. Localized reactions and generalized myalgias have been reported with injected metacresol, which is an excipient in NovoLog. Local Reactions
- Severe, life-threatening, generalized allergy, including anaphylaxis, may occur with any insulin product, including NovoLog. Anaphylactic reactions with NovoLog have been reported post-approval. Generalized allergy to insulin may also cause whole body rash (including pruritus), dyspnea, wheezing, hypotension, tachycardia, or diaphoresis. In controlled clinical trials, allergic reactions were reported in 3 of 735 patients (0.4%) treated with regular human insulin and 10 of 1394 patients (0.7%) treated with NovoLog. In controlled and uncontrolled clinical trials, 3 of 2341 (0.1%) NovoLog-treated patients discontinued due to allergic reactions. Systemic Reactions
5.7 Antibody Production
Increases in anti-insulin antibody titers that react with both human insulin and insulin aspart have been observed in patients treated with NovoLog. Increases in anti-insulin antibodies are observed more frequently with NovoLog than with regular human insulin. Data from a 12-month controlled trial in patients with type 1 diabetes suggest that the increase in these antibodies is transient, and the differences in antibody levels between the regular human insulin and insulin aspart treatment groups observed at 3 and 6 months were no longer evident at 12 months. In this study these antibodies did not appear to cause deterioration in glycemic control or necessitate increases in insulin dose.
In rare cases, the presence of such insulin antibodies may necessitate adjustment of the insulin dose in order to correct a tendency towards hyperglycemia or hypoglycemia.
5.8 Mixing Of Insulins
- Mixing NovoLog with NPH human insulin immediately before injection attenuates the peak concentration of NovoLog, without significantly affecting the time to peak concentration or total bioavailability of NovoLog. If NovoLog is mixed with NPH human insulin, NovoLog should be drawn into the syringe first, and the mixture should be injected immediately after mixing.
• - The efficacy and safety of mixing NovoLog with insulin preparations produced by other manufacturers have not been studied.
• - Insulin mixtures should not be administered intravenously.
•
5.9 Continuous Subcutaneous Insulin Infusion By External Pump
When using NovoLog in an external insulin pump, the NovoLog-specific information should be followed (e.g., in-use time, frequency of changing infusion sets) because NovoLog-specific information may differ from general pump manual instructions. When used in an external subcutaneous insulin infusion pump, NovoLog should not be mixed with any other insulin or diluent.
Pump or infusion set malfunctions or insulin degradation can lead to a rapid onset of hyperglycemia and ketosis because of the small subcutaneous depot of insulin. This is especially pertinent for rapid-acting insulin analogs that are more rapidly absorbed through skin and have a shorter duration of action. Prompt identification and correction of the cause of hyperglycemia or ketosis is necessary. Interim therapy with subcutaneous injection may be required [ ]. see , , , and Dosage and Administration (2.3)Warnings and Precautions (5.8, 5.9)How Supplied/Storage and Handling (16.2)Patient Counseling Information (17.2)
NovoLog should not be exposed to temperatures greater than 37°C (98.6°F). [ ]. NovoLog that will be used in a pump should not be mixed with other insulin or with a diluentsee , , and Dosage and Administration (2.3)Warnings and Precautions (5.8,5.9),How Supplied/Storage and Handling (16.2)Patient Counseling Information (17.2)
5.10 Fluid Retention And Heart Failure With Concomitant Use Of Ppar-Gamma Agonists
Thiazolidinediones (TZDs), which are peroxisome proliferator-activated receptor (PPAR)-gamma agonists, can cause dose-related fluid retention, particularly when used in combination with insulin. Fluid retention may lead to or exacerbate heart failure. Patients treated with insulin, including NovoLog, and a PPAR-gamma agonist should be observed for signs and symptoms of heart failure. If heart failure develops, it should be managed according to current standards of care, and discontinuation or dose reduction of the PPAR-gamma agonist must be considered.
6 Adverse Reactions
Clinical Trial Experience
Because clinical trials are conducted under widely varying designs, the adverse reaction rates reported in one clinical trial may not be easily compared to those rates reported in another clinical trial, and may not reflect the rates actually observed in clinical practice.
• Hypoglycemia• Insulin initiation and glucose control intensification• Lipodystrophy• Weight gain• Peripheral Edema• Frequencies of adverse drug reactions
Hypoglycemia is the most commonly observed adverse reaction in patients using insulin, including NovoLog [ ]. see Warnings and Precautions (5)
Intensification or rapid improvement in glucose control has been associated with a transitory, reversible ophthalmologic refraction disorder, worsening of diabetic retinopathy, and acute painful peripheral neuropathy. However, long-term glycemic control decreases the risk of diabetic retinopathy and neuropathy.
Long-term use of insulin, including NovoLog, can cause lipodystrophy at the site of repeated insulin injections or infusion. Lipodystrophy includes lipohypertrophy (thickening of adipose tissue) and lipoatrophy (thinning of adipose tissue), and may affect insulin absorption. Rotate insulin injection or infusion sites within the same region to reduce the risk of lipodystrophy.
Weight gain can occur with some insulin therapies, including NovoLog, and has been attributed to the anabolic effects of insulin and the decrease in glucosuria.
Insulin may cause sodium retention and edema, particularly if previously poor metabolic control is improved by intensified insulin therapy.
The frequencies of adverse drug reactions during NovoLog clinical trials in patients with type 1 diabetes mellitus and type 2 diabetes mellitus are listed in the tables below.
NovoLog + NPH N= 596 | Human Regular Insulin + NPH N= 286 | |||
Preferred Term | N | (%) | N | (%) |
Hypoglycemia Hypoglycemia is defined as an episode of blood glucose concentration <45 mg/dL, with or without symptoms. See Section 14 for the incidence of serious hypoglycemia in the individual clinical trials. | 448 | 75% | 205 | 72% |
Headache | 70 | 12% | 28 | 10% |
Injury accidental | 65 | 11% | 29 | 10% |
Nausea | 43 | 7% | 13 | 5% |
Diarrhea | 28 | 5% | 9 | 3% |
NovoLog + NPH N= 91 | Human Regular Insulin + NPH N= 91 | |||
N | (%) | N | (%) | |
Hypoglycemia Hypoglycemia is defined as an episode of blood glucose concentration <45 mg/dL, with or without symptoms. See Section 14 for the incidence of serious hypoglycemia in the individual clinical trials. | 25 | 27% | 33 | 36% |
Hyporeflexia | 10 | 11% | 6 | 7% |
Onychomycosis | 9 | 10% | 5 | 5% |
Sensory disturbance | 8 | 9% | 6 | 7% |
Urinary tract infection | 7 | 8% | 6 | 7% |
Chest pain | 5 | 5% | 3 | 3% |
Headache | 5 | 5% | 3 | 3% |
Skin disorder | 5 | 5% | 2 | 2% |
Abdominal pain | 5 | 5% | 1 | 1% |
Sinusitis | 5 | 5% | 1 | 1% |
Postmarketing Data
The following additional adverse reactions have been identified during postapproval use of NovoLog. Because these adverse reactions are reported voluntarily from a population of uncertain size, it is generally not possible to reliably estimate their frequency. Medication errors in which other insulins have been accidentally substituted for NovoLog have been identified during postapproval use [ ]. see Patient Counseling Information (17)
7 Drug Interactions
A number of substances affect glucose metabolism and may require insulin dose adjustment and particularly close monitoring.
- The following are examples of substances that may increase the blood-glucose-lowering effect and susceptibility to hypoglycemia: oral antidiabetic products, pramlintide, ACE inhibitors, disopyramide, fibrates, fluoxetine, monoamine oxidase (MAO) inhibitors, propoxyphene, salicylates, somatostatin analog (e.g., octreotide), sulfonamide antibiotics.
• - The following are examples of substances that may reduce the blood-glucose-lowering effect: corticosteroids, niacin, danazol, diuretics, sympathomimetic agents (e.g., epinephrine, salbutamol, terbutaline), isoniazid, phenothiazine derivatives, somatropin, thyroid hormones, estrogens, progestogens (e.g., in oral contraceptives), atypical antipsychotics.
• - Beta-blockers, clonidine, lithium salts, and alcohol may either potentiate or weaken the blood-glucose-lowering effect of insulin.
• - Pentamidine may cause hypoglycemia, which may sometimes be followed by hyperglycemia.
• - The signs of hypoglycemia may be reduced or absent in patients taking sympatholytic products such as beta-blockers, clonidine, guanethidine, and reserpine.
•
8.1 Pregnancy
Pregnancy Category B. All pregnancies have a background risk of birth defects, loss, or other adverse outcome regardless of drug exposure. This background risk is increased in pregnancies complicated by hyperglycemia and may be decreased with good metabolic control. It is essential for patients with diabetes or history of gestational diabetes to maintain good metabolic control before conception and throughout pregnancy. Insulin requirements may decrease during the first trimester, generally increase during the second and third trimesters, and rapidly decline after delivery. Careful monitoring of glucose control is essential in these patients. Therefore, female patients should be advised to tell their physician if they intend to become, or if they become pregnant while taking NovoLog.
An open-label, randomized study compared the safety and efficacy of NovoLog (n=157) versus regular human insulin (n=165) in 322 pregnant women with type 1 diabetes. Two-thirds of the enrolled patients were already pregnant when they entered the study. Because only one-third of the patients enrolled before conception, the study was not large enough to evaluate the risk of congenital malformations. Both groups achieved a mean HbA of ~ 6% during pregnancy, and there was no significant difference in the incidence of maternal hypoglycemia. 1c
Subcutaneous reproduction and teratology studies have been performed with NovoLog and regular human insulin in rats and rabbits. In these studies, NovoLog was given to female rats before mating, during mating, and throughout pregnancy, and to rabbits during organogenesis. The effects of NovoLog did not differ from those observed with subcutaneous regular human insulin. NovoLog, like human insulin, caused pre- and post-implantation losses and visceral/skeletal abnormalities in rats at a dose of 200 U/kg/day (approximately 32 times the human subcutaneous dose of 1.0 U/kg/day, based on U/body surface area) and in rabbits at a dose of 10 U/kg/day (approximately three times the human subcutaneous dose of 1.0 U/kg/day, based on U/body surface area). The effects are probably secondary to maternal hypoglycemia at high doses. No significant effects were observed in rats at a dose of 50 U/kg/day and in rabbits at a dose of 3 U/kg/day. These doses are approximately 8 times the human subcutaneous dose of 1.0 U/kg/day for rats and equal to the human subcutaneous dose of 1.0 U/kg/day for rabbits, based on U/body surface area.
8.3 Nursing Mothers
It is unknown whether insulin aspart is excreted in human milk. Use of NovoLog is compatible with breastfeeding, but women with diabetes who are lactating may require adjustments of their insulin doses.
8.4 Pediatric Use
NovoLog is approved for use in children for subcutaneous daily injections and for subcutaneous continuous infusion by external insulin pump. NovoLog has not been studied in pediatric patients younger than 2 years of age. NovoLog has not been studied in pediatric patients with type 2 diabetes. Please see for summaries of clinical studies. Section 14 CLINICAL STUDIES
8.5 Geriatric Use
Of the total number of patients (n= 1,375) treated with NovoLog in 3 controlled clinical studies, 2.6% (n=36) were 65 years of age or over. One-half of these patients had type 1 diabetes (18/1285) and the other half had type 2 diabetes (18/90). The HbA response to NovoLog, as compared to human insulin, did not differ by age, particularly in patients with type 2 diabetes. Additional studies in larger populations of patients 65 years of age or over are needed to permit conclusions regarding the safety of NovoLog in elderly compared to younger patients. Pharmacokinetic/pharmacodynamic studies to assess the effect of age on the onset of NovoLog action have not been performed. 1c
10 Overdosage
Excess insulin administration may cause hypoglycemia and, particularly when given intravenously, hypokalemia. Mild episodes of hypoglycemia usually can be treated with oral glucose. Adjustments in drug dosage, meal patterns, or exercise, may be needed. More severe episodes with coma, seizure, or neurologic impairment may be treated with intramuscular/subcutaneous glucagon or concentrated intravenous glucose. Sustained carbohydrate intake and observation may be necessary because hypoglycemia may recur after apparent clinical recovery. Hypokalemia must be corrected appropriately.
11 Description
NovoLog (insulin aspart [rDNA origin] injection) is a rapid-acting human insulin analog used to lower blood glucose. NovoLog is homologous with regular human insulin with the exception of a single substitution of the amino acid proline by aspartic acid in position B28, and is produced by recombinant DNA technology utilizing (baker's yeast). Insulin aspart has the empirical formula C H N 0 S and a molecular weight of 5825.8. Saccharomyces cerevisiae25638165796
NovoLog is a sterile, aqueous, clear, and colorless solution, that contains insulin aspart 100 Units/mL, glycerin 16 mg/mL, phenol 1.50 mg/mL, metacresol 1.72 mg/mL, zinc 19.6 mcg/mL, disodium hydrogen phosphate dihydrate 1.25 mg/mL, sodium chloride 0.58 mg/mL and water for injection. NovoLog has a pH of 7.2-7.6. Hydrochloric acid 10% and/or sodium hydroxide 10% may be added to adjust pH.
12.1 Mechanism Of Action
The primary activity of NovoLog is the regulation of glucose metabolism. Insulins, including NovoLog, bind to the insulin receptors on muscle and fat cells and lower blood glucose by facilitating the cellular uptake of glucose and simultaneously inhibiting the output of glucose from the liver.
12.2 Pharmacodynamics
Studies in normal volunteers and patients with diabetes demonstrated that subcutaneous administration of NovoLog has a more rapid onset of action than regular human insulin.
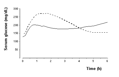
In a study in patients with type 1 diabetes (n=22), the maximum glucose-lowering effect of NovoLog occurred between 1 and 3 hours after subcutaneous injection (see Figure 2). The duration of action for NovoLog is 3 to 5 hours. The time course of action of insulin and insulin analogs such as NovoLog may vary considerably in different individuals or within the same individual. The parameters of NovoLog activity (time of onset, peak time and duration) as designated in Figure 2 should be considered only as general guidelines. The rate of insulin absorption and onset of activity is affected by the site of injection, exercise, and other variables [ ]. see Warnings and Precautions (5.1)
A double-blind, randomized, two-way cross-over study in 16 patients with type 1 diabetes demonstrated that intravenous infusion of NovoLog resulted in a blood glucose profile that was similar to that after intravenous infusion with regular human insulin. NovoLog or human insulin was infused until the patient’s blood glucose decreased to 36 mg/dL, or until the patient demonstrated signs of hypoglycemia (rise in heart rate and onset of sweating), defined as the time of autonomic reaction (R) (see Figure 3).
12.3 Pharmacokinetics
The single substitution of the amino acid proline with aspartic acid at position B28 in NovoLog reduces the molecule's tendency to form hexamers as observed with regular human insulin. NovoLog is, therefore, more rapidly absorbed after subcutaneous injection compared to regular human insulin.
In a randomized, double-blind, crossover study 17 healthy Caucasian male subjects between 18 and 40 years of age received an intravenous infusion of either NovoLog or regular human insulin at 1.5 mU/kg/min for 120 minutes. The mean insulin clearance was similar for the two groups with mean values of 1.2 l/h/kg for the NovoLog group and 1.2 l/h/kg for the regular human insulin group.
- NovoLog has a faster absorption, a faster onset of action, and a shorter duration of action than regular human insulin after subcutaneous injection (see Figure 2 and Figure 4). The relative bioavailability of NovoLog compared to regular human insulin indicates that the two insulins are absorbed to a similar extent. Bioavailability and Absorption
In studies in healthy volunteers (total n=107) and patients with type 1 diabetes (total n=40), NovoLog consistently reached peak serum concentrations approximately twice as fast as regular human insulin. The median time to maximum concentration in these trials was 40 to 50 minutes for NovoLog versus 80 to 120 minutes for regular human insulin. In a clinical trial in patients with type 1 diabetes, NovoLog and regular human insulin, both administered subcutaneously at a dose of 0.15 U/kg body weight, reached mean maximum concentrations of 82 and 36 mU/L respectively. Pharmacokinetic/pharmacodynamic characteristics of insulin aspart have not been established in patients with type 2 diabetes. ,
The intra-individual variability in time to maximum serum insulin concentration for healthy male volunteers was significantly less for NovoLog than for regular human insulin. The clinical significance of this observation has not been established.
In a clinical study in healthy non-obese subjects, the pharmacokinetic differences between NovoLog and regular human insulin described above, were observed independent of the site of injection (abdomen, thigh, or upper arm).
- NovoLog has low binding to plasma proteins (<10%), similar to that seen with regular human insulin. After subcutaneous administration in normal male volunteers (n=24), NovoLog was more rapidly eliminated than regular human insulin with an average apparent half-life of 81 minutes compared to 141 minutes for regular human insulin. Distribution and Elimination
Specific Populations
- The pharmacokinetic and pharmacodynamic properties of NovoLog and regular human insulin were evaluated in a single dose study in 18 children (6-12 years, n=9) and adolescents (13-17 years [Tanner grade 2], n=9) with type 1 diabetes. The relative differences in pharmacokinetics and pharmacodynamics in children and adolescents with type 1 diabetes between NovoLog and regular human insulin were similar to those in healthy adult subjects and adults with type 1 diabetes. Children and Adolescents>
- In healthy volunteers, no difference in insulin aspart levels was seen between men and women when body weight differences were taken into account. There was no significant difference in efficacy noted (as assessed by HbA ) between genders in a trial in patients with type 1 diabetes. Genderlc
- A single subcutaneous dose of 0.1 U/kg NovoLog was administered in a study of 23 patients with type 1 diabetes and a wide range of body mass index (BMI, 22-39 kg/m ). The pharmacokinetic parameters, AUC and C , of NovoLog were generally unaffected by BMI in the different groups – BMI 19-23 kg/m (N=4); BMI 23-27 kg/m (N=7); BMI 27-32 kg/m (N=6) and BMI >32 kg/m (N=6). Clearance of NovoLog was reduced by 28% in patients with BMI >32 kg/m compared to patients with BMI <23 kg/m . Obesity2max222222
- Some studies with human insulin have shown increased circulating levels of insulin in patients with renal failure. A single subcutaneous dose of 0.08 U/kg NovoLog was administered in a study to subjects with either normal (N=6) creatinine clearance (CLcr) (> 80 ml/min) or mild (N=7; CLcr = 50-80 ml/min), moderate (N=3; CLcr = 30-50 ml/min) or severe (but not requiring hemodialysis) (N=2; CLcr = <30 ml/min) renal impairment. In this small study, there was no apparent effect of creatinine clearance values on AUC and C of NovoLog. Careful glucose monitoring and dose adjustments of insulin, including NovoLog, may be necessary in patients with renal dysfunction [ ]. Renal Impairmentmaxsee Warnings and Precautions (5.4)
- Some studies with human insulin have shown increased circulating levels of insulin in patients with liver failure. A single subcutaneous dose of 0.06 U/kg NovoLog was administered in an open-label, single-dose study of 24 subjects (N=6/group) with different degree of hepatic impairment (mild, moderate and severe) having Child-Pugh Scores ranging from 0 (healthy volunteers) to 12 (severe hepatic impairment). In this small study, there was no correlation between the degree of hepatic failure and any NovoLog pharmacokinetic parameter. Careful glucose monitoring and dose adjustments of insulin, including NovoLog, may be necessary in patients with hepatic dysfunction [ ]. Hepatic Impairmentsee Warnings and Precautions (5.5)
The effect of age, ethnic origin, pregnancy and smoking on the pharmacokinetics and pharmacodynamics of NovoLog has not been studied.
13.1 Carcinogenesis, Mutagenesis, Impairment Of Fertility
Standard 2-year carcinogenicity studies in animals have not been performed to evaluate the carcinogenic potential of NovoLog. In 52-week studies, Sprague-Dawley rats were dosed subcutaneously with NovoLog at 10, 50, and 200 U/kg/day (approximately 2, 8, and 32 times the human subcutaneous dose of 1.0 U/kg/day, based on U/body surface area, respectively). At a dose of 200 U/kg/day, NovoLog increased the incidence of mammary gland tumors in females when compared to untreated controls. The incidence of mammary tumors for NovoLog was not significantly different than for regular human insulin. The relevance of these findings to humans is not known. NovoLog was not genotoxic in the following tests: Ames test, mouse lymphoma cell forward gene mutation test, human peripheral blood lymphocyte chromosome aberration test, micronucleus test in mice, and in UDS test in rat liver hepatocytes. In fertility studies in male and female rats, at subcutaneous doses up to 200 U/kg/day (approximately 32 times the human subcutaneous dose, based on U/body surface area), no direct adverse effects on male and female fertility, or general reproductive performance of animals was observed. in vivoex vivo
13.2 Animal Toxicology And/Or Pharmacology
In standard biological assays in mice and rabbits, one unit of NovoLog has the same glucose-lowering effect as one unit of regular human insulin. In humans, the effect of NovoLog is more rapid in onset and of shorter duration, compared to regular human insulin, due to its faster absorption after subcutaneous injection (see Figure 2 and Figure 4). Section 12 CLINICAL PHARMACOLOGY
14.1 Subcutaneous Daily Injections
Two six-month, open-label, active-controlled studies were conducted to compare the safety and efficacy of NovoLog to Novolin R in adult patients with type 1 diabetes. Because the two study designs and results were similar, data are shown for only one study (see ). NovoLog was administered by subcutaneous injection immediately prior to meals and regular human insulin was administered by subcutaneous injection 30 minutes before meals. NPH insulin was administered as the basal insulin in either single or divided daily doses. Changes in HbA and the incidence rates of severe hypoglycemia (as determined from the number of events requiring intervention from a third party) were comparable for the two treatment regimens in this study ( ) as well as in the other clinical studies that are cited in this section. Diabetic ketoacidosis was not reported in any of the adult studies in either treatment group. Table 31cTable 3
NovoLog + NPH | Novolin R + NPH | |
N | 596 | 286 |
Baseline HbA (%) 1c Values are Mean ± SD | 7.9 ±1.1 | 8.0 ± 1.2 |
Change from Baseline HbA (%) 1c | -0.1 ± 0.8 | 0.0 ± 0.8 |
Treatment Difference in HbA Mean (95% confidence interval) 1c, | -0.2 (-0.3, -0.1) | |
Baseline insulin dose (IU/kg/24 hours)
| 0.7 ± 0.2 | 0.7 ± 0.2 |
End-of-Study insulin dose (IU/kg/24 hours)
| 0.7 ± 0.2 | 0.7 ± 0.2 |
Patients with severe hypoglycemia (n, %) Severe hypoglycemia refers to hypoglycemia associated with central nervous system symptoms and requiring the intervention of another person or hospitalization. | 104 (17%) | 54 (19%) |
Baseline body weight (kg)
Weight Change from baseline (kg)
| 75.3 ± 14.5 0.5 ± 3.3 | 75.9 ± 13.1 0.9 ± 2.9 |
A 24-week, parallel-group study of children and adolescents with type 1 diabetes (n = 283) aged 6 to 18 years compared two subcutaneous multiple-dose treatment regimens: NovoLog (n = 187) or Novolin R (n = 96). NPH insulin was administered as the basal insulin. NovoLog achieved glycemic control comparable to Novolin R, as measured by change in HbA ( ) and both treatment groups had a comparable incidence of hypoglycemia. Subcutaneous administration of NovoLog and regular human insulin have also been compared in children with type 1 diabetes (n=26) aged 2 to 6 years with similar effects on HbA and hypoglycemia. 1cTable 41c
NovoLog + NPH | Novolin R + NPH | |
N | 187 | 96 |
Baseline HbA (%) 1c Values are Mean ± SD | 8.3 ± 1.2 | 8.3 ± 1.3 |
Change from Baseline HbA (%) 1c | 0.1± 1.0 | 0.1± 1.1 |
Treatment Difference in HbA Mean (95% confidence interval) 1c, | 0.1 (-0.5, 0.1) | |
Baseline insulin dose (IU/kg/24 hours)
| 0.4 ± 0.2 | 0.6 ± 0.2 |
End-of-Study insulin dose (IU/kg/24 hours)
| 0.4 ± 0.2 | 0.7 ± 0.2 |
Patients with severe hypoglycemia (n, %) Severe hypoglycemia refers to hypoglycemia associated with central nervous system symptoms and requiring the intervention of another person or hospitalization. | 11 (6%) | 9 (9%) |
Diabetic ketoacidosis (n, %) | 10 (5%) | 2 (2%) |
Baseline body weight (kg)
Weight Change from baseline (kg)
| 50.6 ± 19.6 2.7 ± 3.5 | 48.7 ± 15.8 2.4 ± 2.6 |
One six-month, open-label, active-controlled study was conducted to compare the safety and efficacy of NovoLog to Novolin R in patients with type 2 diabetes ( ). NovoLog was administered by subcutaneous injection immediately prior to meals and regular human insulin was administered by subcutaneous injection 30 minutes before meals. NPH insulin was administered as the basal insulin in either single or divided daily doses. Changes in HbA and the rates of severe hypoglycemia (as determined from the number of events requiring intervention from a third party) were comparable for the two treatment regimens. Table 5lc
NovoLog + NPH | Novolin R + NPH | |
N | 90 | 86 |
Baseline HbA (%) 1c Values are Mean ± SD | 8.1 ± 1.2 | 7.8 ± 1.1 |
Change from Baseline HbA (%) 1c | -0.3 ± 1.0 | -0.1 ± 0.8 |
Treatment Difference in HbA Mean (95% confidence interval) 1c, | - 0.1 (-0.4, -0.1) | |
Baseline insulin dose (IU/kg/24 hours)
| 0.6 ± 0.3 | 0.6 ± 0.3 |
End-of-Study insulin dose (IU/kg/24 hours)
| 0.7 ± 0.3 | 0.7 ± 0.3 |
Patients with severe hypoglycemia (n, %) Severe hypoglycemia refers to hypoglycemia associated with central nervous system symptoms and requiring the intervention of another person or hospitalization. | 9 (10%) | 5 (8%) |
Baseline body weight (kg)
Weight Change from baseline (kg)
| 88.4 ± 13.3 1.2 ± 3.0 | 85.8 ± 14.8 0.4 ± 3.1 |
14.2 Continuous Subcutaneous Insulin Infusion (Csii) By External Pump
Two open-label, parallel design studies (6 weeks [n=29] and 16 weeks [n=118]) compared NovoLog to buffered regular human insulin (Velosulin) in adults with type 1 diabetes receiving a subcutaneous infusion with an external insulin pump. The two treatment regimens had comparable changes in HbA and rates of severe hypoglycemia. 1c
NovoLog | Buffered human insulin | |
N | 59 | 59 |
Baseline HbA (%) 1c Values are Mean ± SD | 7.3 ± 0.7 | 7.5 ± 0.8 |
Change from Baseline HbA (%) 1c | 0.0 ± 0.5 | 0.2 ± 0.6 |
Treatment Difference in HbA Mean (95% confidence interval) 1c, | 0.3 (-0.1, 0.4) | |
Baseline insulin dose (IU/kg/24 hours)
| 0.7 ± 0.8 | 0.6 ± 0.2 |
End-of-Study insulin dose (IU/kg/24 hours)
| 0.7 ± 0.7 | 0.6 ± 0.2 |
Patients with severe hypoglycemia (n, %) Severe hypoglycemia refers to hypoglycemia associated with central nervous system symptoms and requiring the intervention of another person or hospitalization. | 1 (2%) | 2 (3%) |
Baseline body weight (kg)
Weight Change from baseline (kg)
| 77.4 ± 16.1 0.1 ± 3.5 | 74.8 ± 13.8 -0.0 ± 1.7 |
A randomized, 16-week, open-label, parallel design study of children and adolescents with type 1 diabetes (n=298) aged 4-18 years compared two subcutaneous infusion regimens administered via an external insulin pump: NovoLog (n=198) or insulin lispro (n=100). These two treatments resulted in comparable changes from baseline in HbA and comparable rates of hypoglycemia after 16 weeks of treatment (see ). 1cTable 7
NovoLog | Lispro | |
N | 198 | 100 |
Baseline HbA (%) 1c Values are Mean ± SD | 8.0 ± 0.9 | 8.2 ± 0.8 |
Change from Baseline HbA (%) 1c | -0.1 ± 0.8 | -0.1 ± 0.7 |
Treatment Difference in HbA Mean (95% confidence interval) 1c, | -0.1 (-0.3, 0.1) | |
Baseline insulin dose (IU/kg/24 hours)
| 0.9 ± 0.3 | 0.9 ± 0.3 |
End-of-Study insulin dose (IU/kg/24 hours)
| 0.9 ± 0.2 | 0.9 ± 0.2 |
Patients with severe hypoglycemia (n, %) Severe hypoglycemia refers to hypoglycemia associated with central nervous system symptoms and requiring the intervention of another person or hospitalization. | 19 (10%) | 8 (8%) |
Diabetic ketoacidosis (n, %) | 1 (0.5%) | 0 (0) |
Baseline body weight (kg)
Weight Change from baseline (kg)
| 54.1 ± 19.7 1.8 ± 2.1 | 55.5 ± 19.0 1.6 ± 2.1 |
An open-label, 16-week parallel design trial compared pre-prandial NovoLog injection in conjunction with NPH injections to NovoLog administered by continuous subcutaneous infusion in 127 adults with type 2 diabetes. The two treatment groups had similar reductions in HbA and rates of severe hypoglycemia ( ) [ ]. 1cTable 8see , , and Indications and Usage (1)Dosage and Administration (2)Warnings and Precautions (5)How Supplied/Storage and Handling (16.2)
NovoLog pump | NovoLog + NPH | |
N | 66 | 61 |
Baseline HbA (%) 1c Values are Mean ± SD | 8.2 ± 1.4 | 8.0 ± 1.1 |
Change from Baseline HbA (%) 1c | -0.6 ± 1.1 | -0.5 ± 0.9 |
Treatment Difference in HbA Mean (95% confidence interval) 1c, | 0.1 (0.4, 0.3) | |
Baseline insulin dose (IU/kg/24 hours)
| 0.7 ± 0.3 | 0.8 ± 0.5 |
End-of-Study insulin dose (IU/kg/24 hours)
| 0.9 ± 0.4 | 0.9 ± 0.5 |
Baseline body weight (kg)
Weight Change from baseline (kg)
| 96.4 ± 17.0 1.7 ± 3.7 | 96.9 ± 17.9 0.7 ± 4.1 |
14.3 Intravenous Administration Of Novolog
See . Section 12.2 CLINICAL PHARMACOLOGY/Pharmacodynamics
16 How Supplied/Storage And Handling
NDC:64725-0750-1 in a VIAL, GLASS of 10 INJECTION, SOLUTIONS
16.1 How Supplied
NovoLog is available in the following package sizes: each presentation containing 100 Units of insulin aspart per mL (U-100).
10 mL vials | NDC 0169-7501-11 |
3 mL PenFill cartridges NovoLog PenFill cartridges are designed for use with Novo Nordisk 3 mL PenFill cartridge compatible insulin delivery devices (with or without the addition of a NovoPen 3 PenMate) with NovoFine disposable needles. FlexPen and FlexTouch can be used with NovoFine or NovoTwist disposable needles. | NDC 0169-3303-12 |
3 mL NovoLog FlexPen | NDC 0169-6339-10 |
3 mL NovoLog FlexTouch | NDC 0169-6338-10 |
16.2 Recommended Storage
Unused NovoLog should be stored in a refrigerator between 2° and 8°C (36° to 46°F). Do not store in the freezer or directly adjacent to the refrigerator cooling element. NovoLog should not be drawn into a syringe and stored for later use. Do not freeze NovoLog and do not use NovoLog if it has been frozen.
After initial use a vial may be kept at temperatures below 30°C (86°F) for up to 28 days, but should not be exposed to excessive heat or light. Opened vials may be refrigerated. Vials:
Unpunctured vials can be used until the expiration date printed on the label if they are stored in a refrigerator. Keep unused vials in the carton so they will stay clean and protected from light.
PenFill cartridges or NovoLog FlexPen and NovoLog FlexTouch:
Once a cartridge or NovoLog FlexPen or NovoLog FlexTouch is punctured, it should be kept at temperatures below 30°C (86°F) for up to 28 days, but should not be exposed to excessive heat or sunlight. A NovoLog FlexPen or NovoLog FlexTouch or cartridge in use must NOT be stored in the refrigerator. Keep the NovoLog FlexPen or NovoLog FlexTouch and all PenFill cartridges away from direct heat and sunlight. Unpunctured NovoLog FlexPen or NovoLog FlexTouch and PenFill cartridges can be used until the expiration date printed on the label if they are stored in a refrigerator. Keep unused NovoLog FlexPen or NovoLog FlexTouch and PenFill cartridges in the carton so they will stay clean and protected from light.
Always remove the needle after each injection and store the 3 mL PenFill cartridge delivery device or NovoLog FlexPen or NovoLog FlexTouch without a needle attached. This prevents contamination and/or infection, or leakage of insulin, and will ensure accurate dosing. Always use a new needle for each injection to prevent contamination.
Pump:
NovoLog in the pump reservoir should be discarded after at least every 6 days of use or after exposure to temperatures that exceed 37°C (98.6°F). The infusion set and the infusion set insertion site should be changed at least every 3 days.
Summary of Storage Conditions:
The storage conditions are summarized in the following table:
NovoLog presentation | Room Temperature (below 30°C) Not in-use (unopened) | Refrigerated Not in-use (unopened) | Room Temperature (below 30°C) In-use (opened) |
10 mL vial | 28 days | Until expiration date | 28 days (refrigerated/room temperature) |
3 mL PenFill cartridges | 28 days | Until expiration date | 28 days (Do not refrigerate) |
3 mL NovoLog FlexPen | 28 days | Until expiration date | 28 days (Do not refrigerate) |
3 mL NovoLog FlexTouch | 28 days | Until expiration date | 28 days (Do not refrigerate) |
Storage of Diluted NovoLog
NovoLog diluted with Insulin Diluting Medium for NovoLog to a concentration equivalent to U-10 or equivalent to U-50 may remain in patient use at temperatures below 30°C (86°F) for 28 days.
Storage of NovoLog in Infusion Fluids
Infusion bags prepared as indicated under are stable at room temperature for 24 hours. Some insulin will be initially adsorbed to the material of the infusion bag. Dosage and Administration (2)
17 Patient Counseling Information
[See ] FDA Approved Patient Labeling (17.3)
17.1 Physician Instructions
Maintenance of normal or near-normal glucose control is a treatment goal in diabetes mellitus and has been associated with a reduction in diabetic complications. Patients should be informed about potential risks and benefits of NovoLog therapy including the possible adverse reactions. Patients should also be offered continued education and advice on insulin therapies, injection technique, life-style management, regular glucose monitoring, periodic glycosylated hemoglobin testing, recognition and management of hypo- and hyperglycemia, adherence to meal planning, complications of insulin therapy, timing of dose, instruction in the use of injection or subcutaneous infusion devices, and proper storage of insulin. Patients should be informed that frequent, patient-performed blood glucose measurements are needed to achieve optimal glycemic control and avoid both hyper- and hypoglycemia.
Patients should receive proper training on how to use NovoLog. Instruct patients that when injecting NovoLog, they must press and hold down the dose button until the dose counter shows 0 and then keep the needle in the skin and count slowly to 6. When the dose counter returns to 0, the prescribed dose is not completely delivered until 6 seconds later. If the needle is removed earlier, they may see a stream of insulin coming from the needle tip. If so, the full dose will not be delivered (a possible under-dose may occur by as much as 20%), and they should increase the frequency of checking their blood glucose levels and possible additional insulin administration may be necessary.
- If 0 does not appear in the dose counter after continuously pressing the dose button, the patient may have used a blocked needle. In this case they would have received insulin – even though the dose counter has moved from the original dose that was set.
• notany - If the patient did have a blocked needle, instruct them to change the needle as described in Section 5 of the Instructions for Use and repeat all steps in the IFU starting with Section 1: Prepare your pen with a new needle.
• Make sure the patient selects the full dose needed.
The patient’s ability to concentrate and react may be impaired as a result of hypoglycemia. This may present a risk in situations where these abilities are especially important, such as driving or operating other machinery. Patients who have frequent hypoglycemia or reduced or absent warning signs of hypoglycemia should be advised to use caution when driving or operating machinery.
Accidental substitutions between NovoLog and other insulin products have been reported. Patients should be instructed to always carefully check that they are administering the appropriate insulin to avoid medication errors between NovoLog and any other insulin. The written prescription for NovoLog should be written clearly, to avoid confusion with other insulin products, for example, NovoLog Mix 70/30.
17.2 Patients Using Pumps
Patients using external pump infusion therapy should be trained in intensive insulin therapy with multiple injections and in the function of their pump and pump accessories.
The following insulin pumps† have been used in NovoLog clinical or studies conducted by Novo Nordisk, the manufacturer of NovoLog: in vitro
- Medtronic Paradigm 512 and 712
• ® - MiniMed 508
• - Disetronic D-TRON and H-TRON
• ®®®
Before using another insulin pump with NovoLog, read the pump label to make sure the pump has been evaluated with NovoLog.
NovoLog is recommended for use in any reservoir and infusion sets that are compatible with insulin and the specific pump. Please see recommended reservoir and infusion sets in the pump manual.
To avoid insulin degradation, infusion set occlusion, and loss of the preservative (metacresol), insulin in the reservoir should be replaced at least every 6 days; infusion sets and infusion set insertion sites should be changed at least every 3 days.
° ° The temperature of the insulin may exceed ambient temperature when the pump housing, cover, tubing, or sport case is exposed to sunlight or radiant heat. Infusion sites that are erythematous, pruritic, or thickened should be reported to medical personnel, and a new site selected because continued infusion may increase the skin reaction and/or alter the absorption of NovoLog. Pump or infusion set malfunctions or insulin degradation can lead to hyperglycemia and ketosis in a short time because of the small subcutaneous depot of insulin. This is especially pertinent for rapid-acting insulin analogs that are more rapidly absorbed through skin and have shorter duration of action. These differences are particularly relevant when patients are switched from multiple injection therapy. Prompt identification and correction of the cause of hyperglycemia or ketosis is necessary. Problems include pump malfunction, infusion set occlusion, leakage, disconnection or kinking, and degraded insulin. Less commonly, hypoglycemia from pump malfunction may occur. If these problems cannot be promptly corrected, patients should resume therapy with subcutaneous insulin injection and contact their physician [ ]. Insulin exposed to temperatures higher than 37C (98.6F) should be discarded.see , and Dosage and Administration (2)Warnings and Precautions (5)How Supplied/Storage and Handling (16.2)
17.3 Fda Approved Patient Labeling
Rx only
Date of Issue: April 25, 2014
Version: 22
Novo Nordisk , NovoLog , NovoPen 3, PenFill , Novolin , FlexPen , FlexTouch , PenMate , NovoFine and NovoTwist are registered trademarks of Novo Nordisk A/S. ®®®®®®®®®®
NovoLog is covered by US Patent Nos. 5,618,913, 5,866,538, and other patents pending. ®
FlexPen is covered by US Patent Nos. RE 41,956, 6,004,297, RE 43,834, and other patents pending. ®
FlexTouch pen is covered by US Patent Nos. 7,686,786, 6,899,699, and other patents pending. ®
PenFill is covered by US Patent No. 5,693,027. ®
†The brands listed are the registered trademarks of their respective owners and are not trademarks of Novo Nordisk A/S.
© 2002-2014 Novo Nordisk
Manufactured by:
Novo Nordisk A/S
DK-2880 Bagsvaerd, Denmark
For information about NovoLog contact:
Novo Nordisk Inc.
800 Scudders Mill Road
Plainsboro, New Jersey 08536
1-800-727-6500
www.novonordisk-us.com
Patient Information
NovoLog (NŌ-vō-log) ®
(insulin aspart [rDNA origin] injection)
What is NovoLog?
- NovoLog is a man-made insulin that is used to control high blood sugar in adults and children with diabetes mellitus.
• - are having an episode of low blood sugar (hypoglycemia).
• - have an allergy to NovoLog or any of the ingredients in NovoLog.
• - pregnant, planning to become pregnant, or are breastfeeding.
• - taking new prescription or over-the-counter medicines, vitamins, or herbal supplements.
• - that come with your NovoLog.
• Read theInstructions for Use - Take NovoLog exactly as your healthcare provider tells you to.
• - You should eat a meal within 5 to 10 minutes after you take your dose of NovoLog.
• NovoLog starts acting fast. - Know the type and strength of insulin you take. change the type of insulin you take unless your healthcare provider tells you to. The amount of insulin and the best time for you to take your insulin may need to change if you take different types of insulin.
• Do not - Ask your healthcare provider what your blood sugars should be and when you should check your blood sugar levels.
• Check your blood sugar levels. - You may give another person an infection or get an infection from them.
• Do not share your NovoLog FlexPen, FlexTouch or needles with another person. - Drive or operate heavy machinery, until you know how NovoLog affects you.
• - Drink alcohol or use prescription or over-the-counter medicines that contain alcohol.
• - dizziness or light-headedness
• - blurred vision
• - anxiety, irritability, or mood changes
• - sweating
• - slurred speech
• - hunger
• - confusion
• - shakiness
• - headache
• - fast heart beat
• - change in level of physical activity or exercise
• - increased stress
• - change in diet
• - weight gain or loss
• - illness
• - low potassium in your blood (hypokalemia), reactions at the injection site, itching, rash, serious allergic reactions (whole body reactions), skin thickening or pits at the injection site (lipodystrophy), weight gain, and swelling of your hands and feet.
• - trouble breathing, shortness of breath, fast heartbeat, swelling of your face, tongue, or throat, sweating, extreme drowsiness, dizziness, confusion.
• - 10 mL NovoLog vial
• ® - insulin syringe and needle
• - alcohol swab
• - Wash your hands with soap and water.
• - Before you start to prepare your injection, check the NovoLog label to make sure that you are taking the right type of insulin. This is especially important if you use more than 1 type of insulin.
• ® - NovoLog should look clear and colorless. use NovoLog if it is thick, cloudy, or is colored.
• ®Do not® - use NovoLog past the expiration date printed on the label.
• Do not® - If there are air bubbles, tap the syringe gently a few times to let any air bubbles rise to the top (See Figure G).
• Giving your Injection:- Inject your NovoLog exactly as your healthcare provider has shown you. Your healthcare provider should tell you if you need to pinch the skin before injecting.
• ® - NovoLog can be injected under the skin (subcutaneously) of your stomach area, buttocks, upper legs or upper arms, infused in an insulin pump, or given through a needle in your arm (intravenously) by your healthcare provider.
• ® - If you inject NovoLog ,change (rotate) your injection sites within the area you choose for each dose. use the same injection site for each injection.
• ®Do not - If you use NovoLog in an insulin pump, you should change your insertion site every 3 days. The insulin in the reservoir should be changed at least every 6 days even if you have not used all of the insulin.
• ® - If you use NovoLog in an insulin pump, see your insulin pump manual for instructions or talk to your healthcare provider.
• ® - NPH insulin is the only type of insulin that can be mixed with NovoLog . mix NovoLog with any other type of insulin.
• ®Do not® - NovoLog should be mixed with NPH insulin if it is going to be injected right away under your skin (subcutaneously).
• ®only - NovoLog should be drawn up into the syringe you draw up your NPH insulin.
• ®before - Talk to your healthcare provider if you are not sure about the right way to mix NovoLog and NPH insulin.
• ® - If you see blood after you take the needle out of your skin, press the injection site lightly with a
• - piece of gauze or an alcohol swab. rub the area.
Do not - recap the needle. Recapping the needle can lead to a needle stick injury.
• Do not - Throw away empty insulin vials, used syringes, and needles in a sharps container or some type of hard plastic or metal container with a screw on cap such as a detergent bottle or empty coffee can. Check with your healthcare provider about the right way to throw away the container. There may be local or state laws about how to throw away used syringes and needles. Do not throw away used syringes and needles in household trash or recycling bins.
• - Keep NovoLog away from heat or light.
• ® - Store opened and unopened NovoLog vials in the refrigerator at 36 F to 46 F (2 C to 8 C). Opened NovoLog vials can also be stored out of the refrigerator below 86 F (30 C).
• ®OOOO®OO - Unopened vials may be used until the expiration date printed on the label, if they are kept in the refrigerator.
• - Opened NovoLog vials should be thrown away after 28 days, even if they still have insulin left in them.
• ® - Always use a new syringe and needle for each injection.
• - Do not share syringes or needles.
• - Keep NovoLog vials, syringes, and needles out of the reach of children.
• ® - Talk with your healthcare provider for information about where to inject NovoLog (injection sites) and how to give an injection with your insulin delivery device.
1. ® - Read the instruction manual that comes with your insulin delivery device for complete instructions on how to use the PenFill cartridge with the device.
2. ® - Just before using your NovoLog cartridge, check to make sure that you have the right type of insulin. This is especially important if you use different types of insulin.
1. Check your insulin.® - The insulin should be clear and colorless. The tamper-resistant foil should be in place before the first use. If the foil has been broken or removed before your first use of the cartridge, or if the insulin is cloudy or colored, do not use it. Call Novo Nordisk at 1-800-727-6500.
2. Carefully look at the cartridge and the insulin inside it. - well with soap and water. If you clean your injection site with an alcohol swab, let the injection site dry before you inject. Talk with your healthcare provider for guidance on injection sites and how to give an injection with your insulin delivery device.
3. Wash your hands - Gather your supplies for injecting NovoLog .
4. ® - Insert a 3 mL cartridge into your Novo Nordisk 3 mL PenFill cartridge compatible insulin delivery device. Wipe the front rubber stopper of the 3 mL PenFill cartridge with an alcohol swab, then attach a new needle. For NovoFine needles, remove the big outer needle cap and the inner needle cap. Always use a new needle for each injection to prevent infection.
5. ®®® - containing 300 units of U-100 NovoLog (insulin aspart [rDNA origin] injection) insulin. You can inject from 1 to 80 units in a single injection.
• NovoLog FlexTouch Pen (“Pen”) is a prefilled disposable pen • Do not share your NovoLog FlexTouch Pen with another person. You may give an infection to them or get an infection from them.• This Pen is not recommended for use by the blind or visually impaired without the assistance of a person trained in the proper use of the product.- NovoLog FlexTouch Pen
• - a new NovoFine or NovoTwist needle
• - alcohol swab
• - 1 sharps container for throwing away used Pens and needles.
• See “Disposing of used NovoLog FlexTouch Pens and needles” at the end of these instructions. - Wash your hands with soap and water.
• • Before you start to prepare your injection, check the NovoLog FlexTouch Pen label to make sure you are taking the right type of insulin. This is especially important if you take more than 1 type of insulin.- NovoLog should look clear and colorless. use NovoLog if it is thick, cloudy, or is colored.
• Do not - use NovoLog past the expiration date printed on the label or 28 days after you start using the Pen.
• Do not • Always use a new needle for each injection to help ensure sterility and prevent blocked needles.- Pull Pen cap straight off (See Figure B).
• - (See Figure C). NovoLog should look clear and colorless. use it if it looks cloudy or colored.
• Check the liquid in the PenDo not • Select a new needle.- Pull off the paper tab from the outer needle cap (See Figure D).
• - Push the capped needle straight onto the Pen and twist the needle on until it is tight (See Figure E).
• - Pull off the outer needle cap. throw it away (See Figure F).
• Do not - Pull off the inner needle cap and throw it away (See Figure G).
• - Turn the dose selector to (See Figure H).
• select 2 units - Hold the Pen with the needle pointing up. Tap the top of the Pen gently a few times to let any air bubbles rise to the top (See Figure I).
• - Press and hold in the dose button until the dose counter shows “0”. The “0” must line up with the dose pointer.
• Hold the Pen with the needle pointing up. - A drop of insulin should be seen at the needle tip (See Figure J).
• - If you see a drop of insulin, repeat steps 7 to 9, no more than 6 times.
• do not - If you see a drop of insulin, change the needle and repeat steps 7 to 9.
• still do not
- If you see a drop of insulin, repeat steps 7 to 9, no more than 6 times.
- The dose pointer should line up with your dose (See Figure K).
• Turn the dose selector to select the number of units you need to inject.- If you select the wrong dose, you can turn the dose selector forwards or backwards to the correct dose.
• - The numbers are printed on the dial.
• even - The numbers are shown as lines.
• odd
- If you select the wrong dose, you can turn the dose selector forwards or backwards to the correct dose.
- The NovoLog FlexTouch Pen insulin scale will show you how much insulin is left in your Pen (See Figure L).
• • To see how much insulin is left in your NovoLog FlexTouch Pen:- Turn the dose selector until it stops. The dose counter will line up with the number of units of insulin that is left in your Pen. If the dose counter shows 80, there are units left in your Pen.
• at least 80 - If the dose counter shows the number shown in the dose counter is the number of units left in your Pen.
• less than 80,
- Turn the dose selector until it stops. The dose counter will line up with the number of units of insulin that is left in your Pen. If the dose counter shows 80, there are units left in your Pen.
- Inject your NovoLog exactly as your healthcare provider has shown you. Your healthcare provider should tell you if you need to pinch the skin before injecting.
• - NovoLog can be injected under the skin (subcutaneously) of your stomach area (abdomen), buttocks, upper legs (thighs) or upper arms.
• - Change (rotate) your injection sites within the area you choose for each dose. use the same injection site for each injection.
• Do not - Choose your injection site and wipe the skin with an alcohol swab. Let the injection site dry before you inject your dose (See Figure M).
• - (See Figure N).
• Insert the needle into your skin- cover it with your fingers, this can stop your injection.
• Make sure you can see the dose counter. Do not
- cover it with your fingers, this can stop your injection.
- (See Figure O).
• Press and hold down the dose button until the dose counter shows “0”- The “0” must line up with the dose pointer. You may then hear or feel a click.
•
- The “0” must line up with the dose pointer. You may then hear or feel a click.
- the dose counter has returned to “0” and (See Figure P).
• Keep the needle in your skin afterslowly count to 6 • When the dose counter returns to “0”, you will not get your full dose until 6 seconds later.• If the needle is removed before you count to 6, you may see a stream of insulin coming from the needle tip.• If you see a stream of insulin coming from the needle tip you will not get your full dose. If this happens you should check your blood sugar levels more often because you may need more insulin.
- (See Figure Q).
• Pull the needle out of your skin- If you see blood after you take the needle out of your skin, press the injection site lightly with a piece of gauze or an alcohol swab. rub the area.
• Do not
- If you see blood after you take the needle out of your skin, press the injection site lightly with a piece of gauze or an alcohol swab. rub the area.
- (See Figure R).
• Carefully remove the needle from the Pen and throw it away- recap the needle. Recapping the needle can lead to needle stick injury.
• Do not
- recap the needle. Recapping the needle can lead to needle stick injury.
- If you have a sharps container, carefully slip the needle into the outer needle cap (See Figure S). Safely remove the needle and throw it away as soon as you can.
• do not - store the Pen with the needle attached. Storing without the needle attached helps prevent leaking, blocking of the needle, and air from entering the Pen.
• Do not
- store the Pen with the needle attached. Storing without the needle attached helps prevent leaking, blocking of the needle, and air from entering the Pen.
- Replace the Pen cap by pushing it straight on (See Figure T).
• - Put your used NovoLog FlexTouch Pen and needles in a FDA-cleared sharps disposal container right away after use. Do not throw away (dispose of) loose needles and Pens in your household trash.
• - If you do not have a FDA-cleared sharps disposal container, you may use a household container that is:
• - made of a heavy-duty plastic
• - can be closed with a tight-fitting, puncture-resistant lid, without sharps being able to come out
• - upright and stable during use
• - leak-resistant
• - properly labeled to warn of hazardous waste inside the container
•
- made of a heavy-duty plastic
- When your sharps disposal container is almost full, you will need to follow your community guidelines for the right way to dispose of your sharps disposal container. There may be state or local laws about how you should throw away used needles and syringes. For more information about the safe sharps disposal, and for specific information about sharps disposal in the state that you live in, go to the FDA’s website at: .
• http://www.fda.gov/safesharpsdisposal - Do not dispose of your used sharps disposal container in your household trash unless your community guidelines permit this. Do not recycle your used sharps disposal container.
• - Store unused NovoLog FlexTouch Pens in the refrigerator at 36°F to 46°F (2°C to 8°C).
• - Store the Pen you are currently using out of the refrigerator below 86°F.
• - freeze NovoLog. use NovoLog if it has been frozen.
• Do notDo not - Keep NovoLog away from heat or light.
• - Unused Pens may be used until the expiration date printed on the label, if kept in the refrigerator.
• - The NovoLog FlexTouch Pen you are using should be thrown away after 28 days, even if it still has insulin left in it.
• • Keep NovoLog FlexTouch Pens and needles out of the reach of children.- use a new needle for each injection.
• Always - share Pens or needles.
• Do not - NovoLog FlexPen should not be used by people who are blind or have severe visual problems without the help of a person who has good eyesight and who is trained to use the NovoLog FlexPen the right way.
Δ - NovoLog FlexPen
• - New NovoFine needle
• - Alcohol swab
• - Always use a new needle for each injection to help ensure sterility and prevent blocked needles.
Δ - Be careful not to bend or damage the needle before use.
Δ - To reduce the risk of unexpected needle sticks, never put the inner needle cap back on the needle.
Δ - Δ Do not use the cartridge scale printed on the cartridge to measure your dose of insulin.
- Put the needle and any empty NovoLog FlexPen or any used NovoLog FlexPen still containing insulin in a sharps container or some type of hard plastic or metal container with a screw top such as a detergent bottle or empty coffee can. These containers should be sealed and thrown away the right way. Check with your healthcare provider about the right way to throw away used syringes and needles. There may be local or state laws about how to throw away used needles and syringes. Do not throw away used needles and syringes in household trash or recycling bins.
Δ - Screw on a new NovoFine needle.
• - Remove the big outer needle cap and the inner needle cap.
• - Do an airshot as described in "Giving the airshot before each injection".
• - Put the big outer needle cap onto the needle. Do not put on the inner needle cap.
• - Turn the dose selector so the dose indicator window shows 20 units.
• - Hold the NovoLog FlexPen so the needle is pointing down.
• - Press the push-button all the way in.
•
Who should not take NovoLog?
Do not take NovoLog if you:
Before taking NovoLog, tell your healthcare provider about all your medical conditions including, if you are:
Before you start taking NovoLog, talk to your healthcare provider about low blood sugar and how to manage it.
How should I take NovoLog?
What should I avoid while taking NovoLog?
While taking NovoLog do not:
What are the possible side effects of NovoLog?
NovoLog may cause serious side effects that can lead to death, including:
Signs and symptoms that may indicate low blood sugar include: Low blood sugar (hypoglycemia).
Your insulin dose may need to change because of:
Other common side effects of NovoLog may include:
Get emergency medical help if you have:
These are not all the possible side effects of NovoLog. Call your doctor for medical advice about side effects. You may report side effects to FDA at 1-800-FDA-1088.
General information about the safe and effective use of NovoLog.
Medicines are sometimes prescribed for purposes other than those listed in a Patient Information leaflet. You can ask your pharmacist or healthcare provider for information about NovoLog that is written for health professionals. Do not use NovoLog for a condition for which it was not prescribed. Do not give NovoLog to other people, even if they have the same symptoms that you have. It may harm them.
What are the ingredients in NovoLog?
insulin aspart (rDNA origin) Active Ingredient:
glycerin, phenol, metacresol, zinc, disodium hydrogen phosphate dihydrate, sodium chloride and water for injection Inactive Ingredients:
Manufactured by:
Novo Nordisk A/S
DK-2880 Bagsvaerd, Denmark
For more information, go to www.novonordisk-us.com or call 1-800-727-6500.
This Patient Information has been approved by the U.S. Food and Drug Administration
Revised: 10/2013
For more information go to
© 2002-2013 Novo Nordisk
PATIENT INSTRUCTIONS FOR USE
NovoLog (NŌ-vō-log) ®
(insulin aspart [rDNA origin] injection)
10 mL vial (100 Units/mL, U-100)
Read this Instructions for Use before you start taking NovoLog and each time you get a refill. There may be new information. This information does not take the place of talking to your healthcare provider about your medical condition or your treatment. ®
Supplies you will need to give your NovoLog injection: ®
Preparing your NovoLog dose: ®
Pull off the tamper resistant cap (See Figure A). Step 1:
Wipe the rubber stopper with an alcohol swab (See Figure B). Step 2:
Hold the syringe with the needle pointing up.Pull down on the plunger until the black tip reaches the line for the number of units for your prescribed dose (See Figure C). Step 3:
Push the needle through the rubber stopper of the NovoLog vial (See Figure D). Step 4:®
Push the plunger all the way in. This puts air into the NovoLog vial (See Figure E). Step 5:®
Turn the NovoLog vial and syringe upside down and slowly pull the plunger down until the black tip is a few units past the line for your dose (See Figure F). Step 6:®
Slowly push the plunger up until the black tip reaches the line for your NovoLog dose (See Figure H). Step 7:®
Check the syringe to make sure you have the right dose of NovoLog . Step 8:®
Pull the syringe out of the vial’s rubber stopper (See Figure I). Step 9:
Choose your injection site and wipe the skin with an alcohol swab. Let the injection site dry before you inject your dose (See Figure J). Step 10:
Insert the needle into your skin. Push down on the plunger to inject your dose (See Figure K). Step 11:Needle should remain in the skin for at least 6 seconds to make sure you have injected all the insulin.
Pull the needle out of your skin. After that, you may see a drop of NovoLog at the needle tip. This is normal and does not affect the dose you just received (See Figure L). Step 12:®
After your injection:
How should I store NovoLog ? ®
freeze NovoLog . use NovoLog if it has been frozen. Do not®Do not®
General information about the safe and effective use of NovoLog ®
This Instructions for Use has been approved by the U.S. Food and Drug Administration.
Manufactured by:
Novo Nordisk A/S
DK-2880 Bagsvaerd, Denmark
. NovoLog is a registered trademark of Novo Nordisk A/S ®
NovoLog is covered by US Patent Nos. 5,618,913, 5,866,538, and other patents pending. ®
© 2002-2013 Novo Nordisk
For information about NovoLog contact: ®
Novo Nordisk Inc.
800 Scudders Mill Road
Plainsboro, New Jersey 08536
1-800-727-6500
www.novonordisk-us.com
Revised: March 2013
PATIENT INSTRUCTIONS FOR USE
NovoLog®3 mL PenFill cartridge (100 Units/mL, U-100) ®
Before using the NovoLog cartridge ®
How to use the NovoLog cartridge ®
Giving the airshot before each injection:
To prevent the injection of air and to make sure insulin is delivered, you must do an airshot before each injection. Hold the device with the needle pointing up and gently tap the PenFill cartridge holder with your finger a few times to raise any air bubbles to the top of the cartridge. Do the airshot as described in the device instruction manual. ®
Giving the injection
6. Dial the number of units on the insulin delivery device that you need to inject. Inject the right way as shown to you by your healthcare provider.
7. Insert the needle into the skin. Inject the dose by pressing the push button all the way in. Keep the needle in the skin for at least 6 seconds, and keep the push button pressed all the way in until the needle has been pulled out from the skin. This will make sure that the full dose has been given. You may see a drop of NovoLog at the needle tip. This is normal and has no effect on the dose you just received. If blood appears after you take the needle out of your skin, press the injection site lightly with a finger. ®Do not rub the area.
After the injection
8. Recapping can lead to a needle stick injury. Do not recap the needle.
9. Remove the needle from the PenFill cartridge after each injection. Keep the 3 mL PenFill cartridge in the insulin delivery device. The needle should not be attached to the 3 mL PenFill cartridge during storage. This will prevent infection or leakage of insulin and will help ensure that you receive the right dose of NovoLog . ®®®®
10. Put the used needle and cartridge in a sharps container, or some type of hard plastic or metal container with a screw on top such as a detergent bottle or coffee can. Check with your healthcare provider about the right way to throw away used needles and cartridges. There may be local or state laws about how to throw away used needles and syringes. Do not throw used needles and cartridges in household trash or recycling bins.
11. Put the pen cap back on the Novo Nordisk 3 mL PenFill cartridge compatible insulin delivery device. ®
Date of Issue: March 2013
Version: 9
Novo Nordisk , NovoLog , PenFill , and NovoFine are registered trademarks of Novo Nordisk A/S. ®®®®
NovoLog is covered by US Patent Nos. 5,618,913, 5,866,538, and other patents pending. ®
PenFill is covered by US Patent No. 5,693,027. ®
© 2002-2013 Novo Nordisk
Manufactured by:
Novo Nordisk A/S
DK-2880 Bagsvaerd, Denmark
For information about NovoLog contact: ®
Novo Nordisk Inc.
800 Scudders Mill Road
Plainsboro, New Jersey 08536
PATIENT INSTRUCTIONS FOR USE
NovoLog (NŌ-vō-log)FlexTouch Pen ®®
(insulin aspart [rDNA origin] injection)
Supplies you will need to give your NovoLog injection:
Preparing your NovoLog FlexTouch Pen:
Step 1:
(Figure B)
Step 2:
(Figure C)
Step 3:
(Figure D)
Step 4:
(Figure E)
Step 5:
(Figure F)
Step 6:
(Figure G)
Priming your NovoLog FlexTouch Pen:
Step 7:
(Figure H)
Step 8:
(Figure I)
Step 9:
(Figure J)
Selecting your dose:
Step 10:
(Figure K)
(Figure L)
Giving your injection:
Step 11:
(Figure M)
Step 12:
(Figure N)
Step 13:
(Figure O)
(Figure P)
Step 14:
(Figure Q)
Step 15:
(Figure R)
(Figure S)
Step 16:
(Figure T)
After your injection:
How should I store my NovoLog FlexTouch Pen?
General Information about the safe and effective use of NovoLog.
This Instructions for Use has been approved by the U.S. Food and Drug Administration.
Manufactured By:
Novo Nordisk A/S
DK-2880 Bagsvaerd, Denmark
Revised: 10/2013
PATIENT INSTRUCTIONS FOR USE
NovoLog FlexPen ®®
Introduction
Please read the following instructions carefully before using your NovoLog FlexPen . ®®
NovoLog FlexPen is a disposable dial-a-dose insulin pen. You can select doses from 1 to 60 units in increments of 1 unit. NovoLog FlexPen is designed to be used with NovoFine needles. ®
Getting ready
Make sure you have the following items:
Preparing Your NovoLog FlexPen
Wash your hands with soap and water. Before you start to prepare your injection, check the label to make sure that you are taking the right type of insulin. This is especially important if you take more than 1 type of insulin. NovoLog should look clear.
. Pull off the pen cap (see diagram A). A
Wipe the rubber stopper with an alcohol swab.
B. Attaching the needle
Remove the protective tab from a disposable needle.
Screw the needle tightly onto your FlexPen. It is important that the needle is put on straight (see diagram B).
Never place a disposable needle on your NovoLog FlexPen until you are ready to take your injection.
Pull off the big outer needle cap (see diagram C). C.
Pull off the inner needle cap and dispose of it (see diagram D). D.
Giving the airshot before each injection
Before each injection small amounts of air may collect in the cartridge during normal use. To avoid injecting air and to ensure proper dosing:
Turn the dose selector to select 2 units (see diagram E). E.
Hold your NovoLog FlexPen with the needle pointing up. Tap the cartridge gently with your finger a few times to make any air bubbles collect at the top of the cartridge (see diagram F). F.
Keep the needle pointing upwards, press the push-button all the way in (see diagram G). The dose selector returns to 0. G.
A drop of insulin should appear at the needle tip. If not, change the needle and repeat the procedure no more than 6 times.
If you do not see a drop of insulin after 6 times, do not use the NovoLog FlexPen and contact Novo Nordisk at 1-800-727-6500.
A small air bubble may remain at the needle tip, but it will not be injected.
Selecting your dose
Check and make sure that the dose selector is set at 0.
Turn the dose selector to the number of units you need to inject. The pointer should line up with your dose. H.
The dose can be corrected either up or down by turning the dose selector in either direction until the correct dose lines up with the pointer (see diagram H). When turning the dose selector, be careful not to press the push-button as insulin will come out.
You cannot select a dose larger than the number of units left in the cartridge.
You will hear a click for every single unit dialed. Do not set the dose by counting the number of clicks you hear.
Giving the injection
Do the injection exactly as shown to you by your healthcare provider. Your healthcare provider should tell you if you need to pinch the skin before injecting.
Insert the needle into your skin. I.
Inject the dose by pressing the push-button all the way in until the 0 lines up with the pointer (see diagram I). Be careful only to push the button when injecting.
Turning the dose selector will not inject insulin.
Keep the needle in the skin for at least 6 seconds, and keep the push-button pressed all the way in until the needle has been pulled out from the skin (see diagram J). This will make sure that the full dose has been given. J.
You may see a drop of NovoLog at the needle tip. This is normal and has no effect on the dose you just received. If blood appears after you take the needle out of your skin, press the injection site lightly with a finger. Do not rub the area.
After the injection
Recapping can lead to a needle stick injury. Remove the needle from the NovoLog FlexPen after each injection. This helps to prevent infection, leakage of insulin, and will help to make sure you inject the right dose of insulin. Do not recap the needle.
The NovoLog FlexPen prevents the cartridge from being completely emptied. It is designed to deliver 300 units.
. Put the pen cap on the NovoLog FlexPen and store the NovoLog FlexPen without the needle attached (see diagram K). K
L Function Check
If your NovoLog FlexPen is not working the right way, follow the steps below:
The insulin should fill the lower part of the big outer needle cap (see diagram L). If the NovoLog FlexPen has released too much or too little insulin, do the function check again. If the same problem happens again, do not use your NovoLog FlexPen and contact Novo Nordisk at 1-800-727-6500.
Maintenance
Your FlexPen is designed to work accurately and safely. It must be handled with care. Avoid dropping your FlexPen as it may damage it. If you are concerned that your FlexPen is damaged, use a new one. You can clean the outside of your FlexPen by wiping it with a damp cloth. Do not soak or wash your FlexPen as it may damage it. Do not refill your FlexPen.
Remove the needle from the NovoLog FlexPen after each injection. This helps to ensure sterility, prevent leakage of insulin, and will help to make sure you inject the right dose of insulin for future injections. Δ
Be careful when handling used needles to avoid needle sticks and transfer of infectious diseases. Δ
Keep your NovoLog FlexPen and needles out of the reach of children. Δ
Use NovoLog FlexPen as directed to treat your diabetes. Needles and NovoLog FlexPen must not be shared. Δ
Always use a new needle for each injection. Δ
Novo Nordisk is not responsible for harm due to using this insulin pen with products not recommended by Novo Nordisk. Δ
As a precautionary measure, always carry a spare insulin delivery device in case your NovoLog FlexPen is lost or damaged. Δ
Remember to keep the disposable NovoLog FlexPen with you. Do not leave it in a car or other location where it can get too hot or too cold. Δ
* Please review the disclaimer below.



