FDA Label for Lisinopril
View Indications, Usage & Precautions
- OTHER
- WARNING: FETAL TOXICITY
- DESCRIPTION
- MECHANISM OF ACTION
- ADULT PATIENTS
- PEDIATRIC PATIENTS
- HYPERTENSION
- HEART FAILURE
- ACUTE MYOCARDIAL INFARCTION
- CONTRAINDICATIONS
- ANAPHYLACTOID AND POSSIBLY RELATED REACTIONS
- HEAD AND NECK ANGIOEDEMA
- INTESTINAL ANGIOEDEMA
- ANAPHYLACTOID REACTIONS DURING DESENSITIZATION
- ANAPHYLACTOID REACTIONS DURING MEMBRANE EXPOSURE
- HYPOTENSION
- LEUKOPENIA/NEUTROPENIA/AGRANULOCYTOSIS
- HEPATIC FAILURE
- FETAL TOXICITY
- AORTIC STENOSIS/ HYPERTROPHIC CARDIOMYOPATHY
- IMPAIRED RENAL FUNCTION
- HYPERKALEMIA
- COUGH
- SURGERY/ANESTHESIA
- ANGIOEDEMA
- SYMPTOMATIC HYPOTENSION
- HYPOGLYCEMIA
- LEUKOPENIA/NEUTROPENIA
- PREGNANCY
- HYPOTENSION - PATIENTS ON DIURETIC THERAPY
- ANTIDIABETICS
- NON-STEROIDAL ANTI-INFLAMMATORY AGENTS INCLUDING SELECTIVE CYCLOOXYGENASE-2 INHIBITORS (COX-2 INHIBITORS)
- DUAL BLOCKADE OF THE RENIN-ANGIOTENSIN SYSTEM (RAS)
- OTHER AGENTS
- AGENTS INCREASING SERUM POTASSIUM
- LITHIUM
- GOLD
- CARCINOGENESIS, MUTAGENESIS, IMPAIRMENT OF FERTILITY
- NURSING MOTHERS
- PEDIATRIC USE
- GERIATIC USE
- ADVERSE REACTIONS
- CLINICAL LABORATORY TEST FINDINGS
- OVERDOSAGE
- HOW SUPPLIED
Lisinopril Product Label
The following document was submitted to the FDA by the labeler of this product Tya Pharmaceuticals. The document includes published materials associated whith this product with the essential scientific information about this product as well as other prescribing information. Product labels may durg indications and usage, generic names, contraindications, active ingredients, strength dosage, routes of administration, appearance, warnings, inactive ingredients, etc.
Other
2.5 mg, 5 mg, 10 mg, 20 mg, 30 mg and 40 mg
Rx only
Manufactured for:
Lupin Pharmaceuticals, Inc.
Baltimore, Maryland 21202
United States.
Manufactured by:
Lupin Limited
Goa 403 722
INDIA.
Or
Lupin Limited
Pithampur (M.P.) 454 775
INDIA.
Revised: July 5, 2013 ID#: 233363
Warning: Fetal Toxicity
See full prescribing information for complete boxed warning.
- When pregnancy is detected, discontinue lisinopril as soon as possible.
- Drugs that act directly on the renin-angiotensin system can cause injury and death to the developing fetus. See . WARNINGS: FETAL TOXICITY
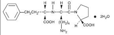
Description
Lisinopril is an oral long-acting angiotensin converting enzyme inhibitor. Lisinopril, a synthetic peptide derivative, is chemically described as (S)-1-[ -(1-carboxy-3-phenylpropyl)-L-lysyl]-L-proline dihydrate. Its empirical formula is C H N O (2H O and its structural formula is: N 22131352
Lisinopril is a white to off-white, crystalline powder, with a molecular weight of 441.53. It is soluble in water and sparingly soluble in methanol and practically insoluble in ethanol.
Lisinopril tablets USP are supplied as 2.5 mg, 5 mg, 10 mg, 20 mg, 30 mg and 40 mg tablets for oral administration.
Inactive Ingredients:
2.5 mg tablets - colloidal silicon dioxide, dibasic calcium phosphate, magnesium stearate, mannitol, pre-gelatinized starch, starch.
5 mg, 10 mg, 20 mg and 30 mg tablets – colloidal silicon dioxide, dibasic calcium phosphate, magnesium stearate, mannitol, pre-gelatinized starch, red iron oxide, starch.
40 mg tablets - colloidal silicon dioxide, dibasic calcium phosphate, magnesium stearate, mannitol, pre-gelatinized starch, starch, yellow iron oxide.
Mechanism Of Action
Lisinopril inhibits angiotensin-converting enzyme (ACE) in human subjects and animals. ACE is a peptidyl dipeptidase that catalyzes the conversion of angiotensin I to the vasoconstrictor substance, angiotensin II. Angiotensin II also stimulates aldosterone secretion by the adrenal cortex. The beneficial effects of lisinopril in hypertension and heart failure appear to result primarily from suppression of the renin-angiotensin-aldosterone system. Inhibition of ACE results in decreased plasma angiotensin II which leads to decreased vasopressor activity and to decreased aldosterone secretion. The latter decrease may result in a small increase of serum potassium. In hypertensive patients with normal renal function treated with lisinopril alone for up to 24 weeks, the mean increase in serum potassium was approximately 0.1 mEq/L; however, approximately 15% of patients had increases greater than 0.5 mEq/L and approximately 6% had a decrease greater than 0.5 mEq/L. In the same study, patients treated with lisinopril and hydrochlorothiazide for up to 24 weeks had a mean decrease in serum potassium of 0.1 mEq/L; approximately 4% of patients had increases greater than 0.5 mEq/L and approximately 12% had a decrease greater than 0.5 mEq/L. (See ). Removal of angiotensin II negative feedback on renin secretion leads to increased plasma renin activity. PRECAUTIONS
ACE is identical to kininase, an enzyme that degrades bradykinin. Whether increased levels of bradykinin, a potent vasodepressor peptide, play a role in the therapeutic effects of lisinopril remains to be elucidated.
While the mechanism through which lisinopril lowers blood pressure is believed to be primarily suppression of the renin-angiotensin-aldosterone system, lisinopril is antihypertensive even in patients with low-renin hypertension. Although lisinopril was antihypertensive in all races studied, Black hypertensive patients (usually a low-renin hypertensive population) had a smaller average response to monotherapy than non-Black patients.
Concomitant administration of lisinopril and hydrochlorothiazide further reduced blood pressure in Black and non-Black patients and any racial differences in blood pressure response were no longer evident.
Adult Patients
Following oral administration of lisinopril, peak serum concentrations of lisinopril occur within about 7 hours, although there was a trend to a small delay in time taken to reach peak serum concentrations in acute myocardial infarction patients. Declining serum concentrations exhibit a prolonged terminal phase which does not contribute to drug accumulation. This terminal phase probably represents saturable binding to ACE and is not proportional to dose.
Lisinopril does not appear to be bound to other serum proteins. Lisinopril does not undergo metabolism and is excreted unchanged entirely in the urine. Based on urinary recovery, the mean extent of absorption of lisinopril is approximately 25%, with large intersubject variability (6%-60%) at all doses tested (5-80 mg). Lisinopril absorption is not influenced by the presence of food in the gastrointestinal tract. The absolute bioavailability of lisinopril is reduced to 16% in patients with stable NYHA Class II-IV congestive heart failure, and the volume of distribution appears to be slightly smaller than that in normal subjects. The oral bioavailability of lisinopril in patients with acute myocardial infarction is similar to that in healthy volunteers.
Upon multiple dosing, lisinopril exhibits an effective half-life of accumulation of 12 hours.
Impaired renal function decreases elimination of lisinopril, which is excreted principally through the kidneys, but this decrease becomes clinically important only when the glomerular filtration rate is below 30 mL/min. Above this glomerular filtration rate, the elimination half-life is little changed. With greater impairment, however, peak and trough lisinopril levels increase, time to peak concentration increases and time to attain steady state is prolonged. Older patients, on average, have (approximately doubled) higher blood levels and area under the plasma concentration time curve (AUC) than younger patients. (See ). Lisinopril can be removed by hemodialysis. DOSAGE AND ADMINISTRATION
Studies in rats indicate that lisinopril crosses the blood-brain barrier poorly. Multiple doses of lisinopril in rats do not result in accumulation in any tissues. Milk of lactating rats contains radioactivity following administration of C lisinopril. By whole body autoradiography, radioactivity was found in the placenta following administration of labeled drug to pregnant rats, but none was found in the fetuses. 14
Pediatric Patients
The pharmacokinetics of lisinopril were studied in 29 pediatric hypertensive patients between 6 years and 16 years with glomerular filtration rate > 30 mL/min/1.73 m . After doses of 0.1 to 0.2 mg/kg, steady state peak plasma concentrations of lisinopril occurred within 6 hours and the extent of absorption based on urinary recovery was about 28%. These values are similar to those obtained previously in adults. The typical value of lisinopril oral clearance (systemic clearance/absolute bioavailability) in a child weighing 30 kg is 10 L/h, which increases in proportion to renal function. 2
Hypertension
Adult Patients
Administration of lisinopril to patients with hypertension results in a reduction of both supine and standing blood pressure to about the same extent with no compensatory tachycardia. Symptomatic postural hypotension is usually not observed although it can occur and should be anticipated in volume and/or salt-depleted patients. (See ). When given together with thiazide-type diuretics, the blood pressure lowering effects of the two drugs are approximately additive. WARNINGS
In most patients studied, onset of antihypertensive activity was seen at one hour after oral administration of an individual dose of lisinopril, with peak reduction of blood pressure achieved by 6 hours. Although an antihypertensive effect was observed 24 hours after dosing with recommended single daily doses, the effect was more consistent and the mean effect was considerably larger in some studies with doses of 20 mg or more than with lower doses; however, at all doses studied, the mean antihypertensive effect was substantially smaller 24 hours after dosing than it was 6 hours after dosing.
In some patients achievement of optimal blood pressure reduction may require two to four weeks of therapy.
The antihypertensive effects of lisinopril are maintained during long-term therapy. Abrupt withdrawal of lisinopril has not been associated with a rapid increase in blood pressure, or a significant increase in blood pressure compared to pretreatment levels.
Two dose-response studies utilizing a once-daily regimen were conducted in 438 mild to moderate hypertensive patients not on a diuretic. Blood pressure was measured 24 hours after dosing. An antihypertensive effect of lisinopril was seen with 5 mg in some patients; however, in both studies blood pressure reduction occurred sooner and was greater in patients treated with 10, 20 or 80 mg of lisinopril. In controlled clinical studies, lisinopril 20-80 mg has been compared in patients with mild to moderate hypertension to hydrochlorothiazide 12.5-50 mg and with atenolol 50-200 mg; and in patients with moderate to severe hypertension to metoprolol 100-200 mg. It was superior to hydrochlorothiazide in effects on systolic and diastolic pressure in a population that was 3/4 Caucasian. Lisinopril was approximately equivalent to atenolol and metoprolol in effects on diastolic blood pressure, and had somewhat greater effects on systolic blood pressure.
Lisinopril had similar effectiveness and adverse effects in younger and older (> 65 years) patients. It was less effective in Blacks than in Caucasians.
In hemodynamic studies in patients with essential hypertension, blood pressure reduction was accompanied by a reduction in peripheral arterial resistance with little or no change in cardiac output and in heart rate. In a study in nine hypertensive patients, following administration of lisinopril, there was an increase in mean renal blood flow that was not significant. Data from several small studies are inconsistent with respect to the effect of lisinopril on glomerular filtration rate in hypertensive patients with normal renal function, but suggest that changes, if any, are not large.
In patients with renovascular hypertension lisinopril has been shown to be well tolerated and effective in controlling blood pressure (See ). PRECAUTIONS
Pediatric Patients
In a clinical study involving 115 hypertensive pediatric patients 6 to 16 years of age, patients who weighed < 50 kg received either 0.625, 2.5 or 20 mg of lisinopril daily and patients who weighed ≥ 50 kg received either 1.25, 5, or 40 mg of lisinopril daily. At the end of 2 weeks, lisinopril administered once daily lowered trough blood pressure in a dose-dependent manner with consistent antihypertensive efficacy demonstrated at doses > 1.25 mg (0.02 mg/kg). This effect was confirmed in a withdrawal phase, where the diastolic pressure rose by about 9 mmHg more in patients randomized to placebo than it did in patients who were randomized to remain on the middle and high doses of lisinopril. The dose-dependent antihypertensive effect of lisinopril was consistent across several demographic subgroups: age, Tanner stage, gender, and race. In this study, lisinopril was generally well tolerated.
In the above pediatric studies, lisinopril was given either as tablets or in a suspension for those children and infants who were unable to swallow tablets or who required a lower dose than is available in tablet form.
Lisinopril tablets USP are indicated for the treatment of hypertension to lower blood pressure. Lowering blood pressure lowers the risk of fatal and non-fatal cardiovascular events, primarily strokes and myocardial infarctions. These benefits have been seen in controlled trials of antihypertensive drugs from a wide variety of pharmacologic classes including lisinopril.
Control of high blood pressure should be part of comprehensive cardiovascular risk management, including, as appropriate, lipid control, diabetes management, antithrombotic therapy, smoking cessation, exercise, and limited sodium intake. Many patients will require more than 1 drug to achieve blood pressure goals. For specific advice on goals and management, see published guidelines, such as those of the National High Blood Pressure Education Program's Joint National Committee on Prevention, Detection, Evaluation, and Treatment of High Blood Pressure (JNC).
Numerous antihypertensive drugs, from a variety of pharmacologic classes and with different mechanisms of action, have been shown in randomized controlled trials to reduce cardiovascular morbidity and mortality, and it can be concluded that it is blood pressure reduction, and not some other pharmacologic property of the drugs, that is largely responsible for those benefits. The largest and most consistent cardiovascular outcome benefit has been a reduction in the risk of stroke, but reductions in myocardial infarction and cardiovascular mortality also have been seen regularly.
Elevated systolic or diastolic pressure causes increased cardiovascular risk, and the absolute risk increase per mmHg is greater at higher blood pressures, so that even modest reductions of severe hypertension can provide substantial benefit. Relative risk reduction from blood pressure reduction is similar across populations with varying absolute risk, so the absolute benefit is greater in patients who are at higher risk independent of their hypertension (for example, patients with diabetes or hyperlipidemia), and such patients would be expected to benefit from more aggressive treatment to a lower blood pressure goal.
Some antihypertensive drugs have smaller blood pressure effects (as monotherapy) in black patients, and many antihypertensive drugs have additional approved indications and effects (e.g, on angina, heart failure, or diabetic kidney disease). These considerations may guide selection of therapy.
Lisinopril tablets USP may be administered alone or with other antihypertensive agents.
In clinical trials in patients with hypertension treated with lisinopril, discontinuation of therapy due to clinical adverse experiences occurred in 5.7% of patients. The overall frequency of adverse experiences could not be related to total daily dosage within the recommended therapeutic dosage range.
For adverse experiences occurring in greater than 1% of patients with hypertension treated with lisinopril or lisinopril plus hydrochlorothiazide in controlled clinical trials, and more frequently with lisinopril and/or lisinopril plus hydrochlorothiazide than placebo, comparative incidence data are listed in the table below:
| Lisinopril (n=1349) Incidence (discontinuation) | Lisinopril/ Hydrochlorothiazide (n=629) Incidence (discontinuation) | Placebo (n=207) Incidence (discontinuation) | |
| Body as a Whole | |||
| Fatigue
| 2.5 (0.3)
| 4.0 (0.5)
| 1.0 (0.0)
|
| Asthenia
| 1.3 (0.5)
| 2.1 (0.2)
| 1.0 (0.0)
|
| Orthostatic Effects
| 1.2 (0.0)
| 3.5 (0.2)
| 1.0 (0.0)
|
| Cardiovascular | |||
| Hypotension
| 1.2 (0.5)
| 1.6 (0.5)
| 0.5 (0.5)
|
| Digestive | |||
| Diarrhea
| 2.7 (0.2)
| 2.7 (0.3)
| 2.4 (0.0)
|
| Nausea
| 2.0 (0.4)
| 2.5 (0.2)
| 2.4 (0.0)
|
| Vomiting
| 1.1 (0.2)
| 1.4 (0.1)
| 0.5 (0.0)
|
| Dyspepsia
| 0.9 (0.0)
| 1.9 (0.0)
| 0.0 (0.0)
|
| Musculoskeletal | |||
| Muscle Cramps
| 0.5 (0.0)
| 2.9 (0.8)
| 0.5 (0.0)
|
| Nervous/Psychiatric | |||
| Headache
| 5.7 (0.2)
| 4.5 (0.5)
| 1.9 (0.0)
|
| Dizziness
| 5.4 (0.4)
| 9.2 (1.0)
| 1.9 (0.0)
|
| Paresthesia
| 0.8 (0.1)
| 2.1 (0.2)
| 0.0 (0.0)
|
| Decreased Libido
| 0.4 (0.1)
| 1.3 (0.1)
| 0.0 (0.0)
|
| Vertigo
| 0.2 (0.1)
| 1.1 (0.2)
| 0.0 (0.0)
|
| Respiratory | |||
| Cough
| 3.5 (0.7)
| 4.6 (0.8)
| 1.0 (0.0)
|
| Upper Respiratory Infection
| 2.1 (0.1)
| 2.7 (0.1)
| 0.0 (0.0)
|
| Common Cold
| 1.1 (0.1)
| 1.3 (0.1)
| 0.0 (0.0)
|
| Nasal Congestion
| 0.4 (0.1)
| 1.3 (0.1)
| 0.0 (0.0)
|
| Influenza
| 0.3 (0.1)
| 1.1 (0.1)
| 0.0 (0.0)
|
| Skin | |||
| Rash
| 1.3 (0.4)
| 1.6 (0.2)
| 0.5 (0.5)
|
| Urogenital | |||
| Impotence
| 1.0 (0.4)
| 1.6 (0.5)
| 0.0 (0.0)
|
Chest pain and back pain were also seen, but were more common on placebo than lisinopril.
In patients with uncomplicated essential hypertension not on diuretic therapy, the recommended initial dose is 10 mg once a day. Dosage should be adjusted according to blood pressure response. The usual dosage range is 20 to 40 mg per day administered in a single daily dose. The antihypertensive effect may diminish toward the end of the dosing interval regardless of the administered dose, but most commonly with a dose of 10 mg daily. This can be evaluated by measuring blood pressure just prior to dosing to determine whether satisfactory control is being maintained for 24 hours. If it is not, an increase in dose should be considered. Doses up to 80 mg have been used but do not appear to give greater effect. If blood pressure is not controlled with lisinopril tablet alone, a low dose of a diuretic may be added. Hydrochlorothiazide, 12.5 mg has been shown to provide an additive effect. After the addition of a diuretic, it may be possible to reduce the dose of lisinopril. Initial Therapy:
In hypertensive patients who are currently being treated with a diuretic, symptomatic hypotension may occur occasionally following the initial dose of lisinopril tablet. The diuretic should be discontinued, if possible, for two to three days before beginning therapy with lisinopril tablet to reduce the likelihood of hypotension (See ). The dosage of lisinopril tablet should be adjusted according to blood pressure response. If the patient's blood pressure is not controlled with lisinopril tablet alone, diuretic therapy may be resumed as described above. Diuretic Treated Patients:WARNINGS
If the diuretic cannot be discontinued, an initial dose of 5 mg should be used under medical supervision for at least two hours and until blood pressure has stabilized for at least an additional hour (See and ). WARNINGSPRECAUTIONS, Drug Interactions
Concomitant administration of lisinopril with potassium supplements, potassium salt substitutes, or potassium-sparing diuretics may lead to increases of serum potassium (See ). PRECAUTIONS
The usual dose of lisinopril tablet (10 mg) is recommended for patients with creatinine clearance > 30 mL/min (serum creatinine of up to approximately 3 mg/dL). For patients with creatinine clearance ≥ 10 mL/min ≤ 30 mL/min (serum creatinine ≥ 3 mg/dL), the first dose is 5 mg once daily. For patients with creatinine clearance < 10 mL/min (usually on hemodialysis) the recommended initial dose is 2.5 mg. The dosage may be titrated upward until blood pressure is controlled or to a maximum of 40 mg daily. Dosage Adjustment in Renal Impairment:
Renal Status | Creatinine Clearance mL/min | Initial Dose mg/day |
| Normal Renal Function to Mild Impairment
| >30
| 10
|
| Moderate to Severe Impairment
| ≥10 ≤30
| 5
|
| Dialysis Patients
See WARNINGS, Anaphylactoid Reactions During Membrane Exposure. | <10
| 2.5
Dosage or dosing interval should be adjusted depending on the blood pressure response. |
Lisinopril tablet is indicated as adjunctive therapy with diuretics and (usually) digitalis. The recommended starting dose is 5 mg once a day. When initiating treatment with lisinopril in patients with heart failure, the initial dose should be administered under medical observation, especially in those patients with low blood pressure (systolic blood pressure below 100 mmHg). The mean peak blood pressure lowering occurs six to eight hours after dosing. Observation should continue until blood pressure is stable. The concomitant diuretic dose should be reduced, if possible, to help minimize hypovolemia which may contribute to hypotension. (See and ). The appearance of hypotension after the initial dose of lisinopril tablet does not preclude subsequent careful dose titration with the drug, following effective management of the hypotension. Heart Failure:WARNINGSPRECAUTIONS, Drug Interactions
The usual effective dosage range is 5 to 40 mg per day administered as a single daily dose. The dose of lisinopril can be increased by increments of no greater than 10 mg, at intervals of no less than 2 weeks to the highest tolerated dose, up to a maximum of 40 mg daily. Dose adjustment should be based on the clinical response of individual patients.
In patients with heart failure who have hyponatremia (serum sodium < 130 mEq/L) or moderate to severe renal impairment (creatinine clearance ≤ 30 mL/min or serum creatinine > 3 mg/dL), therapy with lisinopril should be initiated at a dose of 2.5 mg once a day under close medical supervision. (See and ). Dosage Adjustment in Patients with Heart Failure and Renal Impairment or Hyponatremia:WARNINGSPRECAUTIONS, Drug Interactions
In hemodynamically stable patients within 24 hours of the onset of symptoms of acute myocardial infarction, the first dose of lisinopril is 5 mg given orally, followed by 5 mg after 24 hours, 10 mg after 48 hours and then 10 mg of lisinopril once daily. Dosing should continue for six weeks. Patients should receive, as appropriate, the standard recommended treatments such as thrombolytics, aspirin, and beta-blockers. Acute Myocardial Infarction:
Patients with a low systolic blood pressure (≤ 120 mmHg) when treatment is started or during the first 3 days after the infarct should be given a lower 2.5 mg oral dose of lisinopril (see ). If hypotension occurs (systolic blood pressure ≤ 100 mmHg) a daily maintenance dose of 5 mg may be given with temporary reductions to 2.5 mg if needed. If prolonged hypotension occurs (systolic blood pressure < 90 mmHg for more than 1 hour) lisinopril should be withdrawn. For patients who develop symptoms of heart failure, see . WARNINGSDOSAGE AND ADMINISTRATION, Heart Failure
In acute myocardial infarction, treatment with lisinopril should be initiated with caution in patients with evidence of renal dysfunction, defined as serum creatinine concentration exceeding 2 mg/dL. No evaluation of dosing adjustments in myocardial infarction patients with severe renal impairment has been performed. Dosage Adjustment in Patients With Myocardial Infarction with Renal Impairment:
In general, the clinical response was similar in younger and older patients given similar doses of lisinopril. Pharmacokinetic studies, however, indicate that maximum blood levels and area under the plasma concentration time curve (AUC) are doubled in older patients, so that dosage adjustments should be made with particular caution. Use in Elderly:
The usual recommended starting dose is 0.07 mg/kg once daily (up to 5 mg total). Dosage should be adjusted according to blood pressure response. Doses above 0.61 mg/kg (or in excess of 40 mg) have not been studied in pediatric patients. (See and ). Pediatric Hypertensive Patients ≥ 6 years of age:CLINICAL PHARMACOLOGY, Pharmacokinetics and MetabolismPharmacodynamics and Clinical Effects
Lisinopril is not recommend in pediatric patients < 6 years or in pediatric patients with glomerular filtration rate < 30 mL/min/1.73 m (see and and ). 2CLINICAL PHARMACOLOGY, Pharmacokinetics and MetabolismPharmacodynamics and Clinical EffectsPRECAUTIONS
Heart Failure
During baseline-controlled clinical trials, in patients receiving digitalis and diuretics, single doses of lisinopril resulted in decreases in pulmonary capillary wedge pressure, systemic vascular resistance and blood pressure accompanied by an increase in cardiac output and no change in heart rate.
In two placebo controlled, 12-week clinical studies using doses of lisinopril upto 20 mg, lisinopril as adjunctive therapy to digitalis and diuretics improved the following signs and symptoms due to congestive heart failure: edema, rales, paroxysmal nocturnal dyspnea and jugular venous distention. In one of the studies, beneficial response was also noted for: orthopnea, presence of third heart sound and the number of patients classified as NYHA Class III and IV. Exercise tolerance was also improved in this study. The once-daily dosing for the treatment of congestive heart failure was the only dosage regimen used during clinical trial development and was determined by the measurement of hemodynamic response. A large (over 3000 patients) survival study, the ATLAS Trial, comparing 2.5 and 35 mg of lisinopril in patients with heart failure, showed that the higher dose of lisinopril had outcomes at least as favorable as the lower dose.
Lisinopril tablets USP are indicated as adjunctive therapy in the management of heart failure in patients who are not responding adequately to diuretics and digitalis.
In patients with heart failure treated with lisinopril for up to four years, discontinuation of therapy due to clinical adverse experiences occurred in 11% of patients. In controlled studies in patients with heart failure, therapy was discontinued in 8.1% of patients treated with lisinopril for 12 weeks, compared to 7.7% of patients treated with placebo for 12 weeks.
The following table lists those adverse experiences which occurred in greater than 1% of patients with heart failure treated with lisinopril or placebo for up to 12 weeks in controlled clinical trials, and more frequently on lisinopril than placebo.
| Controlled Trials | ||
| Lisinopril (n=407) Incidence (discontinuation) 12 weeks | Placebo (n=155) Incidence (discontinuation) 12 weeks | |
| Body as a Whole | ||
| Chest Pain Abdominal Pain
| 3.4 (0.2) 2.2 (0.7)
| 1.3 (0.0) 1.9 (0.0)
|
| Cardiovascular | ||
| Hypotension
| 4.4 (1.7)
| 0.6 (0.6)
|
| Digestive | ||
| Diarrhea
| 3.7 (0.5)
| 1.9 (0.0)
|
| Nervous/Psychiatric | ||
| Dizziness Headache
| 11.8 (1.2) 4.4 (0.2)
| 4.5 (1.3) 3.9 (0.0)
|
| Respiratory | ||
| Upper Respiratory Infection
| 1.5 (0.0)
| 1.3 (0.0)
|
| Skin | ||
| Rash
| 1.7 (0.5)
| 0.6 (0.6)
|
Also observed at > 1% with lisinopril but more frequent or as frequent on placebo than lisinopril in controlled trials were asthenia, angina pectoris, nausea, dyspnea, cough, and pruritus.
Worsening of heart failure, anorexia, increased salivation, muscle cramps, back pain, myalgia, depression, chest sound abnormalities, and pulmonary edema were also seen in controlled clinical trials, but were more common on placebo than lisinopril.
In the two-dose ATLAS trial in heart failure patients, withdrawals due to adverse events were not different between the low and high groups, either in total number of discontinuation (17-18%) or in rare specific events (<1%). The following adverse events, mostly related to ACE inhibition, were reported more commonly in the high dose group:
| % of patients Events | High Dose (N=1568) | Low dose (N=1596) |
| Dizziness
| 18.9
| 12.1
|
| Hypotension
| 10.8
| 6.7
|
| Creatinine-increased
| 9.9
| 7.0
|
| Hyperkalemia
| 6.4
| 3.5
|
| NPN increased
NPN = non-protein nitrogen | 9.2
| 6.5
|
| Syncope
| 7.0
| 5.1
|
Acute Myocardial Infarction
The Gruppo Italiano per lo Studio della Sopravvienza nell’Infarto Miocardico (GISSI-3) study was a multicenter, controlled, randomized, unblinded clinical trial conducted in 19,394 patients with acute myocardial infarction admitted to a coronary care unit. It was designed to examine the effects of short-term (6 week) treatment with lisinopril, nitrates, their combination, or no therapy on short-term (6 week) mortality and on long-term death and markedly impaired cardiac function. Patients presenting within 24 hours of the onset of symptoms who were hemodynamically stable were randomized, in a 2 x 2 factorial design, to six weeks of either 1) lisinopril alone (n=4841), 2) nitrates alone (n=4869), 3) lisinopril plus nitrates (n=4841), or 4) open control (n=4843). All patients received routine therapies, including thrombolytics (72%), aspirin (84%), and a beta-blocker (31%), as appropriate, normally utilized in acute myocardial infarction (MI) patients.
The protocol excluded patients with hypotension (systolic blood pressure ( 100 mmHg), severe heart failure, cardiogenic shock, and renal dysfunction (serum creatinine >2 mg/dL and/or proteinuria > 500 mg/24 h). Doses of lisinopril were adjusted as necessary according to protocol (see ). DOSAGE AND ADMINISTRATION
Study treatment was withdrawn at six weeks except where clinical conditions indicated continuation of treatment.
The primary outcomes of the trial were the overall mortality at 6 weeks and a combined end point at 6 months after the myocardial infarction, consisting of the number of patients who died, had late (day 4) clinical congestive heart failure, or had extensive left ventricular damage defined as ejection fraction ≤ 35% or an akinetic-dyskinetic [A-D] score ≥ 45%. Patients receiving lisinopril (n=9646), alone or with nitrates, had an 11% lower risk of death (2p [two-tailed] = 0.04) compared to patients receiving no lisinopril (n=9672) (6.4% vs. 7.2%, respectively) at six weeks. Although patients randomized to receive lisinopril for up to six weeks also fared numerically better on the combined end point at 6 months, the open nature of the assessment of heart failure, substantial loss to follow-up echocardiography, and substantial excess use of lisinopril between 6 weeks and 6 months in the group randomized to 6 weeks of lisinopril, preclude any conclusion about this end point.Patients with acute myocardial infarction, treated with lisinopril, had a higher (9% versus 3.7%) incidence of persistent hypotension (systolic blood pressure < 90 mmHg for more than 1 hour) and renal dysfunction (2.4% versus 1.1%) in-hospital and at six weeks (increasing creatinine concentration to over 3 mg/dL or a doubling or more of the baseline serum creatinine concentration). See . ADVERSE REACTIONS Acute Myocardial Infarction
Lisinopril tablets USP are indicated for the treatment of hemodynamically stable patients within 24 hours of acute myocardial infarction, to improve survival. Patients should receive, as appropriate, the standard recommended treatments such as thrombolytics, aspirin and beta-blockers.
In using lisinopril tablets, consideration should be given to the fact that another angiotensin-converting enzyme inhibitor, captopril, has caused agranulocytosis, particularly in patients with renal impairment or collagen vascular disease, and that available data are insufficient to show that lisinopril tablets USP does not have a similar risk. (See ). WARNINGS
In considering the use of lisinopril tablets USP, it should be noted that in controlled clinical trials ACE inhibitors have an effect on blood pressure that is less in Black patients than in non-Blacks. In addition, ACE inhibitors have been associated with a higher rate of angioedema in Black than in non-Black patients (see ). WARNINGS, Anaphylactoid and Possibly Related Reactions
In the GISSI-3 trial, in patients treated with lisinopril for six weeks following acute myocardial infarction, discontinuation of therapy occurred in 17.6% of patients.
Patients treated with lisinopril had a significantly higher incidence of hypotension and renal dysfunction compared with patients not taking lisinopril.
In the GISSI-3 trial, hypotension (9.7%), renal dysfunction (2%), cough (0.5%), post infarction angina (0.3%), skin rash and generalized edema (0.01%), and angioedema (0.01%) resulted in withdrawal of treatment. In elderly patients treated with lisinopril, discontinuation due to renal dysfunction was 4.2%.
Other clinical adverse experiences occurring in 0.3% to 1.0% of patients with hypertension or heart failure treated with lisinopril in controlled clinical trials and rarer, serious, possibly drug-related events reported in uncontrolled studies or marketing experience are listed below, and within each category are in order of decreasing severity:
Body as a Whole
Anaphylactoid reactions (see , ), syncope, orthostatic effects, chest discomfort, pain, pelvic pain, flank pain, edema, facial edema, virus infection, fever, chills, malaise. WARNINGSAnaphylactoid and Possibly Related Reactions
Cardiac arrest; myocardial infarction or cerebrovascular accident possibly secondary to excessive hypotension in high risk patients (see ); pulmonary embolism and infarction, arrhythmias (including ventricular tachycardia, atrial tachycardia, atrial fibrillation, bradycardia and premature ventricular contractions), palpitations, transient ischemic attacks, paroxysmal nocturnal dyspnea, orthostatic hypotension, decreased blood pressure, peripheral edema, vasculitis. Cardiovascular:WARNINGS, Hypotension
Pancreatitis, hepatitis (hepatocellular or cholestatic jaundice) (see ), vomiting, gastritis, dyspepsia, heartburn, gastrointestinal cramps, constipation, flatulence, dry mouth. Digestive:WARNINGS, Hepatic Failure
Rare cases of bone marrow depression, hemolytic anemia, leukopenia/neutropenia and thrombocytopenia. Hematologic:
Diabetes mellitus, inappropriate antidiuretic hormone secretion. Endocrine:
Weight loss, dehydration, fluid overload, gout, weight gain. Cases of hypoglycemia in diabetic patients on oral antidiabetic agents or insulin have been reported in post-marketing experience (See ). Metabolic:PRECAUTIONS, Drug Interactions
Arthritis, arthralgia, neck pain, hip pain, low back pain, joint pain, leg pain, knee pain, shoulder pain, arm pain, lumbago. Musculoskeletal:
Stroke, ataxia, memory impairment, tremor, peripheral neuropathy (e.g., dysesthesia), spasm, paresthesia, confusion, insomnia, somnolence, hypersomnia, irritability, nervousness and mood alterations (including depressive symptoms). Nervous System/Psychiatric:
Malignant lung neoplasms, hemoptysis, pulmonary infiltrates, bronchospasm, asthma, pleural effusion, pneumonia, eosinophilic pneumonitis, bronchitis, wheezing, orthopnea, painful respiration, epistaxis, laryngitis, sinusitis, pharyngeal pain, pharyngitis, rhinitis, rhinorrhea. Respiratory System:
Urticaria, alopecia, herpes zoster, photosensitivity, skin lesions, skin infections, pemphigus, erythema, flushing, diaphoresis, cutaneous pseudolymphoma, psoriasis.. Other severe skin reactions have been reported rarely, including toxic epidermal necrolysis and Stevens-Johnson syndrome; causal relationship has not been established. Skin:
Visual loss, diplopia, blurred vision, tinnitus, photophobia, taste disturbances. Special Senses:
Acute renal failure, oliguria, anuria, uremia, progressive azotemia, renal dysfunction (see and ), pyelonephritis, dysuria, urinary tract infection, breast pain. Urogenital System:PRECAUTIONSDOSAGE AND ADMINISTRATION
A symptom complex has been reported which may include a positive ANA, an elevated erythrocyte sedimentation rate, arthralgia/arthritis, myalgia, fever, vasculitis, eosinophilia and leukocytosis. Rash, photosensitivity or other dermatological manifestations may occur alone or in combination with these symptoms. Miscellaneous:
Angioedema has been reported in patients receiving lisinopril (0.1%) with an incidence higher in Black than in non-Black patients. Angioedema associated with laryngeal edema may be fatal. If angioedema of the face, extremities, lips, tongue, glottis and/or larynx occurs, treatment with lisinopril should be discontinued and appropriate therapy instituted immediately (See ). Angioedema:WARNINGS
In rare cases, intestinal angioedema has been reported in post marketing experience.
In hypertensive patients, hypotension occurred in 1.2% and syncope occurred in 0.1% of patients with an incidence higher in Black than in non-Black patients. Hypotension or syncope was a cause of discontinuation of therapy in 0.5% of hypertensive patients. In patients with heart failure, hypotension occurred in 5.3% and syncope occurred in 1.8% of patients. These adverse experiences were possibly dose-related (see above data from ATLAS Trial) and caused discontinuation of therapy in 1.8% of these patients in the symptomatic trials. In patients treated with lisinopril for six weeks after acute myocardial infarction, hypotension (systolic blood pressure (100 mmHg) resulted in discontinuation of therapy in 9.7% of the patients. (See ). Hypotension:WARNINGS
See Cough:PRECAUTIONS, Cough
No relevant differences between the adverse experience profile for pediatric patients and that previously reported for adult patients were identified. Pediatric Patients:
Contraindications
Lisinopril tablets are contraindicated in patients who are hypersensitive to this product and in patients with a history of angioedema related to previous treatment with an angiotensin converting enzyme inhibitor and in patients with hereditary or idiopathic angioedema.
Anaphylactoid And Possibly Related Reactions
Presumably because angiotensin-converting enzyme inhibitors affect the metabolism of eicosanoids and polypeptides, including endogenous bradykinin, patients receiving ACE inhibitors (including lisinopril) may be subject to a variety of adverse reactions, some of them serious.
Head And Neck Angioedema
Angioedema of the face, extremities, lips, tongue, glottis and/or larynx has been reported in patients treated with angiotensin converting enzyme inhibitors, including lisinopril. This may occur at any time during treatment. ACE inhibitors have been associated with a higher rate of angioedema in Black than in non-Black patients. Lisinopril should be promptly discontinued and appropriate therapy and monitoring should be provided until complete and sustained resolution of signs and symptoms has occurred. Even in those instances where swelling of only the tongue is involved, without respiratory distress, patients may require prolonged observation since treatment with antihistamines and corticosteroids may not be sufficient. Very rarely, fatalities have been reported due to angioedema associated with laryngeal edema or tongue edema. Patients with involvement of the tongue, glottis or larynx are likely to experience airway obstruction, especially those with a history of airway surgery. (See ). Where there is involvement of the tongue, glottis or larynx, likely to cause airway obstruction, appropriate therapy, e.g., subcutaneous epinephrine solution 1:1000 (0.3 mL to 0.5 mL) and/or measures necessary to ensure a patent airway should be promptly providedADVERSE REACTIONS
Intestinal Angioedema
Intestinal angioedema has been reported in patients treated with ACE inhibitors. These patients presented with abdominal pain (with or without nausea or vomiting); in some cases there was no prior history of facial angioedema and C-1 esterase levels were normal. The angioedema was diagnosed by procedures including abdominal CT scan or ultrasound or at surgery and symptoms resolved after stopping the ACE inhibitor. Intestinal angioedema should be included in the differential diagnosis of patients on ACE inhibitors presenting with abdominal pain.
Patients with a history of angioedema unrelated to ACE inhibitor therapy may be at increased risk of angioedema while receiving an ACE inhibitor (see also and ). INDICATIONS AND USAGECONTRAINDICATIONS
Anaphylactoid Reactions During Desensitization
Two patients undergoing desensitizing treatment with hymenoptera venom while receiving ACE inhibitors sustained life-threatening anaphylactoid reactions. In the same patients, these reactions were avoided when ACE inhibitors were temporarily withheld, but they reappeared upon inadvertent rechallenge.
Anaphylactoid Reactions During Membrane Exposure
Sudden and potentially life-threatening anaphylactoid reactions have been reported in some patients dialyzed with high-flux membranes (e.g., AN69 *) and treated concomitantly with an ACE inhibitor. In such patients, dialysis must be stopped immediately, and aggressive therapy for anaphylactoid reactions must be initiated. Symptoms have not been relieved by antihistamines in these situations. In these patients, consideration should be given to using a different type of dialysis membrane or a different class of antihypertensive agent. Anaphylactoid reactions have also been reported in patients undergoing low-density lipoprotein apheresis with dextran sulfate absorption. ®
*AN69 is a registered trademark of Hospal Ltd. ®
Hypotension
Excessive hypotension is rare in patients with uncomplicated hypertension treated with lisinopril alone.
Patients with heart failure given lisinopril commonly have some reduction in blood pressure, with peak blood pressure reduction occurring 6 to 8 hours post dose. Evidence from the two-dose ATLAS trial suggested that incidence of hypotension may increase with dose of lisinopril in heart failure patients. Discontinuation of therapy because of continuing symptomatic hypotension usually is not necessary when dosing instructions are followed; caution should be observed when initiating therapy. (See ). DOSAGE AND ADMINISTRATION
Patients at risk of excessive hypotension, sometimes associated with oliguria and/or progressive azotemia, and rarely with acute renal failure and/or death, include those with the following conditions or characteristics: heart failure with systolic blood pressure below 100 mmHg, hyponatremia, high dose diuretic therapy, recent intensive diuresis or increase in diuretic dose, renal dialysis, or severe volume and/or salt depletion of any etiology. It may be advisable to eliminate the diuretic (except in patients with heart failure), reduce the diuretic dose or increase salt intake cautiously before initiating therapy with lisinopril in patients at risk for excessive hypotension who are able to tolerate such adjustments. (See and ). PRECAUTIONS Drug InteractionsADVERSE REACTIONS
Patients with acute myocardial infarction in the GISSI-3 trial had a higher (9% versus 3.7%) incidence of persistent hypotension (systolic blood pressure < 90 mmHg for more than 1 hour) when treated with lisinopril. Treatment with lisinopril must not be initiated in acute myocardial infarction patients at risk of further serious hemodynamic deterioration after treatment with a vasodilator (e.g., systolic blood pressure of 100 mmHg or lower) or cardiogenic shock.
In patients at risk of excessive hypotension, therapy should be started under very close medical supervision and such patients should be followed closely for the first two weeks of treatment and whenever the dose of lisinopril and/or diuretic is increased. Similar considerations may apply to patients with ischemic heart or cerebrovascular disease, or in patients with acute myocardial infarction, in whom an excessive fall in blood pressure could result in a myocardial infarction or cerebrovascular accident.
If excessive hypotension occurs, the patient should be placed in the supine position and, if necessary, receive an intravenous infusion of normal saline. A transient hypotensive response is not a contraindication to further doses of lisinopril which usually can be given without difficulty once the blood pressure has stabilized. If symptomatic hypotension develops, a dose reduction or discontinuation of lisinopril or concomitant diuretic may be necessary.
Leukopenia/Neutropenia/Agranulocytosis
Another angiotensin-converting enzyme inhibitor, captopril, has been shown to cause agranulocytosis and bone marrow depression, rarely in uncomplicated patients but more frequently in patients with renal impairment especially if they also have a collagen vascular disease. Available data from clinical trials of lisinopril are insufficient to show that lisinopril does not cause agranulocytosis at similar rates. Marketing experience has revealed rare cases of leukopenia/neutropenia and bone marrow depression in which a causal relationship to lisinopril cannot be excluded. Periodic monitoring of white blood cell counts in patients with collagen vascular disease and renal disease should be considered.
Hepatic Failure
Rarely, ACE inhibitors have been associated with a syndrome that starts with cholestatic jaundice or hepatitis and progresses to fulminant hepatic necrosis and (sometimes) death. The mechanism of this syndrome is not understood. Patients receiving ACE inhibitors who develop jaundice or marked elevations of hepatic enzymes should discontinue the ACE inhibitor and receive appropriate medical follow-up.
Fetal Toxicity
Pregnancy category D
Use of drugs that act on the renin-angiotensin system during the second and third trimesters of pregnancy reduces fetal renal function and increases fetal and neonatal morbidity and death. Resulting oligohydramnios can be associated with fetal lung hypoplasia and skeletal deformations. Potential neonatal adverse effects include skull hypoplasia, anuria, hypotension, renal failure, and death. When pregnancy is detected, discontinue lisinopril as soon as possible. These adverse outcomes are usually associated with use of these drugs in the second and third trimester of pregnancy. Most epidemiologic studies examining fetal abnormalities after exposure to antihypertensive use in the first trimester have not distinguished drugs affecting the renin-angiotensin system from other antihypertensive agents. Appropriate management of maternal hypertension during pregnancy is important to optimize outcomes for both mother and fetus.
In the unusual case that there is no appropriate alternative to therapy with drugs affecting the renin-angiotensin system for a particular patient, apprise the mother of the potential risk to the fetus. Perform serial ultrasound examinations to assess the intra-amniotic environment. If oligohydramnios is observed, discontinue lisinopril, unless it is considered lifesaving for the mother. Fetal testing may be appropriate, based on the week of pregnancy. Patients and physicians should be aware, however, that oligohydramnios may not appear until after the fetus has sustained irreversible injury. Closely observe infants with histories of in utero exposure to lisinopril for hypotension, oliguria, and hyperkalemia. (See ). PRECAUTIONS, PEDIATRIC USE
No teratogenic effects of lisinopril were seen in studies of pregnant rats, mice, and rabbits. On a mg/kg basis, the doses used were up to 625 times (in mice), 188 times (in rats), and 0.6 times (in rabbits) the maximum recommended human dose.
Aortic Stenosis/ Hypertrophic Cardiomyopathy
As with all vasodialators, lisinopril should be given with caution to patients with obstruction in the outflow tract of the left ventricle.
Impaired Renal Function
As a consequence of inhibiting the renin-angiotensin-aldosterone system, changes in renal function may be anticipated in susceptible individuals. In patients with severe congestive heart failure whose renal function may depend on the activity of the renin-angiotensin-aldosterone system, treatment with angiotensin converting enzyme inhibitors, including lisinopril, may be associated with oliguria and/or progressive azotemia and rarely with acute renal failure and/or death.
In hypertensive patients with unilateral or bilateral renal artery stenosis, increases in blood urea nitrogen and serum creatinine may occur. Experience with another angiotensin-converting enzyme inhibitor suggests that these increases are usually reversible upon discontinuation of lisinopril and/or diuretic therapy. In such patients, renal function should be monitored during the first few weeks of therapy.
Some patients with hypertension or heart failure with no apparent pre-existing renal vascular disease have developed increases in blood urea nitrogen and serum creatinine, usually minor and transient, especially when lisinopril has been given concomitantly with a diuretic. This is more likely to occur in patients with pre-existing renal impairment. Dosage reduction and/or discontinuation of the diuretic and/or lisinopril may be required.
Patients with acute myocardial infarction in the GISSI-3 trial treated with lisinopril had a higher (2.4% versus 1.1%) incidence of renal dysfunction in-hospital and at six weeks (increasing creatinine concentration to over 3 mg/dL or a doubling or more of the baseline serum creatinine concentration). In acute myocardial infarction, treatment with lisinopril should be initiated with caution in patients with evidence of renal dysfunction, defined as serum creatinine concentration exceeding 2 mg/dL. If renal dysfunction develops during treatment with lisinopril (serum creatinine concentration exceeding 3 mg/dL or a doubling from the pre-treatment value) then the physician should consider withdrawal of lisinopril.
(See ). Evaluation of patients with hypertension, heart failure, or myocardial infarction should always include assessment of renal function.DOSAGE AND ADMINISTRATION
Hyperkalemia
In clinical trials hyperkalemia (serum potassium greater than 5.7 mEq/L) occurred in approximately 2.2% of hypertensive patients and 4.8% of patients with heart failure. In most cases these were isolated values which resolved despite continued therapy. Hyperkalemia was a cause of discontinuation of therapy in approximately 0.1% of hypertensive patients; 0.6% of patients with heart failure and 0.1% of patients with myocardial infarction. Risk factors for the development of hyperkalemia include renal insufficiency, diabetes mellitus, and the concomitant use of potassium-sparing diuretics, potassium supplements and/or potassium-containing salt substitutes. Hyperkalemia can cause serious, sometimes fatal, arrhythmias. Lisinopril should be used cautiously, if at all, with these agents and with frequent monitoring of serum potassium (See ). PRECAUTIONS, Drug Interactions
Patients should be told not to use salt substitutes containing potassium without consulting their physician.
Cough
Presumably due to the inhibition of the degradation of endogenous bradykinin, persistent nonproductive cough has been reported with all ACE inhibitors, almost always resolving after discontinuation of therapy. ACE inhibitor-induced cough should be considered in the differential diagnosis of cough.
Surgery/Anesthesia
In patients undergoing major surgery or during anesthesia with agents that produce hypotension, lisinopril may block angiotensin II formation secondary to compensatory renin release. If hypotension occurs and is considered to be due to this mechanism, it can be corrected by volume expansion.
Angioedema
Angioedema, including laryngeal edema, may occur at any time during treatment with angiotensin-converting enzyme inhibitors, including lisinopril. Patients should be so advised and told to report immediately any signs or symptoms suggesting angioedema (swelling of face, extremities, eyes, lips, tongue, difficulty in swallowing or breathing) and to take no more drug until they have consulted with the prescribing physician.
Symptomatic Hypotension
Patients should be cautioned to report lightheadedness especially during the first few days of therapy. If actual syncope occurs, the patient should be told to discontinue the drug until they have consulted with the prescribing physician.
All patients should be cautioned that excessive perspiration and dehydration may lead to an excessive fall in blood pressure because of reduction in fluid volume. Other causes of volume depletion such as vomiting or diarrhea may also lead to a fall in blood pressure; patients should be advised to consult with their physician.
Hypoglycemia
Diabetic patients treated with oral antidiabetic agents or insulin starting an ACE inhibitor should be told to closely monitor for hypoglycemia, especially during the first month of combined use. (See .) PRECAUTIONS, Drug Interactions
Leukopenia/Neutropenia
Patients should be told to report promptly any indication of infection (e.g., sore throat, fever) which may be a sign of leukopenia/neutropenia.
Pregnancy
Female patients of childbearing age should be told about the consequences of exposure to lisinopril during pregnancy. Discuss treatment options with women planning to become pregnant. Patients should be asked to report pregnancies to their physicians as soon as possible.
As with many other drugs, certain advice to patients being treated with lisinopril is warranted. This information is intended to aid in the safe and effective use of this medication. It is not a disclosure of all possible adverse or intended effects. NOTE:
Hypotension - Patients On Diuretic Therapy
Patients on diuretics and especially those in whom diuretic therapy was recently instituted, may occasionally experience an excessive reduction of blood pressure after initiation of therapy with lisinopril. The possibility of hypotensive effects with lisinopril can be minimized by either discontinuing the diuretic or increasing the salt intake prior to initiation of treatment with lisinopril. If it is necessary to continue the diuretic, initiate therapy with lisinopril at a dose of 5 mg daily, and provide close medical supervision after the initial dose until blood pressure has stabilized (See , and ). When a diuretic is added to the therapy of a patient receiving lisinopril, an additional antihypertensive effect is usually observed. Studies with ACE inhibitors in combination with diuretics indicate that the dose of the ACE inhibitor can be reduced when it is given with a diuretic. (See ). WARNINGSDOSAGE AND ADMINISTRATIONDOSAGE AND ADMINISTRATION
Antidiabetics
Epidemiological studies have suggested that concomitant administration of ACE inhibitors and antidiabetic medicines (insulins, oral hypoglycemic agents) may cause an increased blood-glucose-lowering effect with risk of hypoglycemia. This phenomenon appeared to be more likely to occur during the first weeks of combined treatment and in patients with renal impairment. In diabetic patients treated with oral antidiabetic agents or insulin, glycemic control should be closely monitored for hypoglycemia, especially during the first month of treatment with an ACE inhibitor.
Non-Steroidal Anti-Inflammatory Agents Including Selective Cyclooxygenase-2 Inhibitors (Cox-2 Inhibitors)
In patients who are elderly, volume-depleted (including those on diuretic therapy), or with compromised renal function, co-administration of NSAIDs, including selective COX-2 inhibitors, with ACE inhibitors, including lisinopril, may result in deterioration of renal function, including possible acute renal failure. These effects are usually reversible. Monitor renal function periodically in patients receiving lisinopril and NSAID therapy.
The antihypertensive effect of ACE inhibitors, including lisinopril, may be attenuated by NSAIDs.
Dual Blockade Of The Renin-Angiotensin System (Ras)
Dual blockade of the RAS with angiotensin receptor blockers, ACE inhibitors, or aliskiren is associated with increased risks of hypotension, hyperkalemia, and changes in renal function (including acute renal failure) compared to monotherapy. Closely monitor blood pressure, renal function and electrolytes in patients on lisinopril and other agents that affect the RAS.
Do not co-administer aliskiren with lisinopril in patients with diabetes. Avoid use of aliskiren with lisinopril in patients with renal impairment (GFR < 60 mL/min).
Other Agents
Lisinopril has been used concomitantly with nitrates and/or digoxin without evidence of clinically significant adverse interactions. This included post myocardial infarction patients who were receiving intravenous or transdermal nitroglycerin. No clinically important pharmacokinetic interactions occurred when lisinopril was used concomitantly with propranolol or hydrochlorothiazide. The presence of food in the stomach does not alter the bioavailability of lisinopril.
Agents Increasing Serum Potassium
Lisinopril attenuates potassium loss caused by thiazide-type diuretics. Use of lisinopril with potassium-sparing diuretics (e.g., spironolactone, eplerenone, triamterene or amiloride), potassium supplements, or potassium-containing salt substitutes may lead to significant increases in serum potassium. Therefore, if concomitant use of these agents is indicated because of demonstrated hypokalemia, they should be used with caution and with frequent monitoring of serum potassium. Potassium -sparing agents should generally not be used in patients with heart failure who are receiving lisinopril.
Lithium
Lithium toxicity has been reported in patients receiving lithium concomitantly with drugs which cause elimination of sodium, including ACE inhibitors. Lithium toxicity was usually reversible upon discontinuation of lithium and the ACE inhibitor. It is recommended that serum lithium levels be monitored frequently if lisinopril is administered concomitantly with lithium.
Gold
Nitritoid reactions (symptoms include facial flushing, nausea, vomiting and hypotension) have been reported rarely in patients on therapy with injectable gold (sodium aurothiomalate) and concomitant ACE inhibitor therapy including lisinopril.
Carcinogenesis, Mutagenesis, Impairment Of Fertility
There was no evidence of a tumorigenic effect when lisinopril was administered for 105 weeks to male and female rats at doses up to 90 mg/kg/day (about 56 or 9 times* the maximum recommended daily human dose, based on body weight and body surface area, respectively). There was no evidence of carcinogenicity when lisinopril was administered for 92 weeks to (male and female) mice at doses up to 135 mg/kg/day (about 84 times* the maximum recommended daily human dose). This dose was 6.8 times the maximum human dose based on body surface area in mice.
Lisinopril was not mutagenic in the Ames microbial mutagen test with or without metabolic activation. It was also negative in a forward mutation assay using Chinese hamster lung cells. Lisinopril did not produce single strand DNA breaks in an in vitro alkaline elution rat hepatocyte assay. In addition, lisinopril did not produce increases in chromosomal aberrations in an in vitro test in Chinese hamster ovary cells or in an in vivo study in mouse bone marrow.
There were no adverse effects on reproductive performance in male and female rats treated with up to 300 mg/kg/day of lisinopril. This dose is 188 times and 30 times the maximum human dose when based on mg/kg and mg/m , respectively. 2
*Calculations assume a human weight of 50 kg and human body surface area of 1.62 m . 2
Nursing Mothers
Milk of lactating rats contains radioactivity following administration of C lisinopril. It is not known whether this drug is excreted in human milk. Because many drugs are excreted in human milk and because of the potential for serious adverse reactions in nursing infants from ACE inhibitors, a decision should be made whether to discontinue nursing or discontinue lisinopril, taking into account the importance of the drug to the mother. 14
Pediatric Use
Neonates with a history of in utero exposure to lisinopril
If oliguria or hypotension occurs, direct attention toward support of blood pressure and renal perfusion. Exchange transfusions or dialysis may be required as a means of reversing hypotension and/or substituting for disordered renal function. Lisinopril, which crosses the placenta, has been removed from neonatal circulation by peritoneal dialysis with some clinical benefit, and theoretically may be removed by exchange transfusion, although there is no experience with the latter procedure.
Antihypertensive effects of lisinopril have been established in hypertensive pediatric patients aged 6 to 16 years.
There are no data on the effect of lisinopril on blood pressure in pediatric patients under the age 6 or in pediatric patients with glomerular filtration rate < 30 mL/min/1.73 m (See and , and .) 2CLINICAL PHARMACOLOGY, Pharmacokinetics and MetabolismPharmacodynamics and Clinical EffectsDOSAGE AND ADMINISTRATION
Geriatic Use
Clinical studies of lisinopril in patients with hypertension did not include sufficient numbers of subjects aged 65 and over to determine whether they respond differently from younger subjects. Other clinical experience in this population has not identified differences in responses between the elderly and younger patients. In general, dose selection for an elderly patient should be cautious, usually starting at the low end of the dosing range, reflecting the greater frequency of decreased hepatic, renal, or cardiac function, and of concomitant disease or other drug therapy .
In the ATLAS trial of lisinopril in patients with congestive heart failure, 1,596 (50%) were 65 and over, while 437 (14%) were 75 and over. In a clinical study of lisinopril in patients with myocardial infarctions 4,413 (47%) were 65 and over, while 1,656 (18%) were 75 and over. In these studies, no overall differences in safety or effectiveness were observed between elderly and younger patients, and other reported clinical experiences has not identified differences in responses between the elderly and younger patients (see and ). CLINICAL PHARMACOLOGY, Pharmacodynamics and Clinical Effects, Heart FailureCLINICAL PHARMACOLOGY, Pharmacodynamics and Clinical Effects, Acute Myocardial Infarction
Other reported clinical experience has not identified differences in responses between elderly and younger patients, but greater sensitivity of some older individuals cannot be ruled out.
Pharmacokinetic studies indicate that maximum blood levels and area under the plasma concentration time curve (AUC) are doubled in older patients (see ). CLINICAL PHARMACOLOGY, Pharmacokinetics and Metabolism
This drug is known to be substantially excreted by the kidney, and the risk of toxic reactions to this drug may be greater in patients with impaired renal function. Because elderly patients are more likely to have decreased renal function, care should be taken in dose selection. Evaluation of patients with hypertension, congestive heart failure, or myocardial infarction should always include assessment of renal function (see ). DOSAGE AND ADMINISTRATION
Adverse Reactions
Lisinopril has been found to be generally well tolerated in controlled clinical trials involving 1969 patients with hypertension or heart failure. For the most part, adverse experiences were mild and transient.
Clinical Laboratory Test Findings
: Hyperkalemia (See ), hyponatremia. Serum ElectrolytesPRECAUTIONS
Minor increases in blood urea nitrogen and serum creatinine, reversible upon discontinuation of therapy, were observed in about 2% of patients with essential hypertension treated with lisinopril alone. Increases were more common in patients receiving concomitant diuretics and in patients with renal artery stenosis (See ). Reversible minor increases in blood urea nitrogen and serum creatinine were observed in approximately 11.6% of patients with heart failure on concomitant diuretic therapy. Frequently, these abnormalities resolved when the dosage of the diuretic was decreased. Creatinine, Blood Urea Nitrogen:PRECAUTIONS
Small decreases in hemoglobin and hematocrit (mean decreases of approximately 0.4 g% and 1.3 vol%, respectively) occurred frequently in patients treated with lisinopril but were rarely of clinical importance in patients without some other cause of anemia. In clinical trials, less than 0.1% of patients discontinued therapy due to anemia. Hemolytic anemia has been reported; a causal relationship to lisinopril cannot be excluded. Hemoglobin and Hematocrit:
Rarely, elevations of liver enzymes and/or serum bilirubin have occurred (See ). Liver Function Tests:WARNINGS, Hepatic Failure
In hypertensive patients, 2.0% discontinued therapy due to laboratory adverse experiences, principally elevations in blood urea nitrogen (0.6%), serum creatinine (0.5%) and serum potassium (0.4%).
In the heart failure trials, 3.4% of patients discontinued therapy due to laboratory adverse experiences; 1.8% due to elevations in blood urea nitrogen and/or creatinine and 0.6% due to elevations in serum potassium.
In the myocardial infarction trial, 2.0% of patients receiving lisinopril discontinued therapy due to renal dysfunction (increasing creatinine concentration to over 3 mg/dL or a doubling or more of the baseline serum creatinine concentration); less than 1.0% of patients discontinued therapy due to other laboratory adverse experiences: 0.1% with hyperkalemia and less than 0.1% with hepatic enzyme alterations.
Overdosage
Following a single oral dose of 20 g/kg no lethality occurred in rats, and death occurred in one of 20 mice receiving the same dose. The most likely manifestation of overdosage would be hypotension, for which the usual treatment would be intravenous infusion of normal saline solution.
Lisinopril can be removed by hemodialysis (See ). WARNINGS, Anaphylactoid Reactions During Membrane Exposure
How Supplied
NDC:64725-0514-1 in a BOTTLE of 100 TABLETS
* Please review the disclaimer below.
