Product Images Methyldopa

View Photos of Packaging, Labels & Appearance

Product Label Images

The following 2 images provide visual information about the product associated with Methyldopa NDC 64980-571 by Rising Pharma Holdings, Inc., such as packaging, labeling, and the appearance of the drug itself. This resource could be helpful for medical professionals, pharmacists, and patients seeking to verify medication information and ensure they have the correct product.

500mg-methyldopa - 500mg methyldopa

500mg-methyldopa - 500mg methyldopa

This is a prescription drug label for Methyldopa tablets, each containing 500 mg of the active ingredient. The package size is 100 tablets, and the National Drug Code (NDC) is 64980-572-01. This medication is commonly used to treat high blood pressure.*

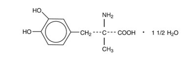
structure-methyldopa - structure methyldopa

structure-methyldopa - structure methyldopa

Not available.*

* The product label images have been analyzed using a combination of traditional computing and machine learning techniques. It should be noted that the descriptions provided may not be entirely accurate as they are experimental in nature. Use the information in this page at your own discretion and risk.