FDA Label for Saxagliptin
View Indications, Usage & Precautions
- 1.1 MONOTHERAPY AND COMBINATION THERAPY
- 1.2 LIMITATION OF USE
- 2.1 RECOMMENDED DOSAGE
- 2.2 DOSAGE IN PATIENTS WITH RENAL IMPAIRMENT
- 2.3 DOSAGE ADJUSTMENT WITH CONCOMITANT USE OF STRONG CYP3A4/5 INHIBITORS
- 2.4 CONCOMITANT USE WITH AN INSULIN SECRETAGOGUE (E.G., SULFONYLUREA) OR WITH INSULIN
- 3 DOSAGE FORMS AND STRENGTHS
- 4 CONTRAINDICATIONS
- 5.1 PANCREATITIS
- 5.2 HEART FAILURE
- 5.3 HYPOGLYCEMIA WITH CONCOMITANT USE OF SULFONYLUREA OR INSULIN
- 5.4 HYPERSENSITIVITY REACTIONS
- 5.5 SEVERE AND DISABLING ARTHRALGIA
- 5.6 BULLOUS PEMPHIGOID
- 5.7 MACROVASCULAR OUTCOMES
- 6 ADVERSE REACTIONS
- 6.1 CLINICAL TRIALS EXPERIENCE
- 6.2 POST-MARKETING EXPERIENCE
- 7.1 STRONG INHIBITORS OF CYP3A4/5 ENZYMES
- 8.1 PREGNANCY
- 8.2 LACTATION
- 8.4 PEDIATRIC USE
- 8.5 GERIATRIC USE
- 8.6 RENAL IMPAIRMENT
- 10 OVERDOSAGE
- 11 DESCRIPTION
- 12.1 MECHANISM OF ACTION
- 12.2 PHARMACODYNAMICS
- 12.3 PHARMACOKINETICS
- 13.1 CARCINOGENESIS, MUTAGENESIS, IMPAIRMENT OF FERTILITY
- 13.2 ANIMAL TOXICOLOGY AND/OR PHARMACOLOGY
- 14.1 GLYCEMIC EFFICACY TRIALS
- 14.2 RENAL IMPAIRMENT
- 14.3 CARDIOVASCULAR SAFETY TRIAL
- 16 HOW SUPPLIED/STORAGE AND HANDLING
- 17 PATIENT COUNSELING INFORMATION
- MEDICATION GUIDE
- PACKAGE LABEL.PRINCIPAL DISPLAY PANEL
Saxagliptin Product Label
The following document was submitted to the FDA by the labeler of this product Amneal Pharmaceuticals Llc. The document includes published materials associated whith this product with the essential scientific information about this product as well as other prescribing information. Product labels may durg indications and usage, generic names, contraindications, active ingredients, strength dosage, routes of administration, appearance, warnings, inactive ingredients, etc.
1.1 Monotherapy And Combination Therapy
Saxagliptin tablets are indicated as an adjunct to diet and exercise to improve glycemic control in adults with type 2 diabetes mellitus [see Clinical Studies (14)].
1.2 Limitation Of Use
Saxagliptin tablets are not indicated for the treatment of type 1 diabetes mellitus or diabetic ketoacidosis, as it would not be effective in these settings.
2.1 Recommended Dosage
The recommended dosage of saxagliptin tablet is 2.5 mg or 5 mg once daily taken regardless of meals. Saxagliptin tablets must not be split or cut.
2.2 Dosage In Patients With Renal Impairment
No dosage adjustment for saxagliptin tablets are recommended for patients with eGFR ≥ 45 mL/min/1.73 m2.
The dosage of saxagliptin tablet is 2.5 mg once daily (regardless of meals) for patients with eGFR < 45 mL/min/1.73 m2 (which includes a subset of moderate or severe renal impairment, or with end-stage renal disease (ESRD) requiring hemodialysis) [see Clinical Pharmacology (12.3) and Clinical Studies (14.2)]. Saxagliptin tablets should be administered following hemodialysis. Saxagliptin tablets have not been studied in patients undergoing peritoneal dialysis.
Because the dosage of saxagliptin tablets should be limited to 2.5 mg based upon renal function, assessment of renal function is recommended prior to initiation of saxagliptin tablets and periodically thereafter.
2.3 Dosage Adjustment With Concomitant Use Of Strong Cyp3a4/5 Inhibitors
The dosage of saxagliptin tablet is 2.5 mg once daily when co-administered with strong cytochrome P450 3A4/5 (CYP3A4/5) inhibitors (e.g., ketoconazole, atazanavir, clarithromycin, indinavir, itraconazole, nefazodone, nelfinavir, ritonavir, saquinavir, and telithromycin) [see Drug Interactions (7.1) and Clinical Pharmacology (12.3)].
2.4 Concomitant Use With An Insulin Secretagogue (E.G., Sulfonylurea) Or With Insulin
When saxagliptin tablets are used in combination with an insulin secretagogue (e.g., sulfonylurea) or with insulin, a lower dose of the insulin secretagogue or insulin may be required to minimize the risk of hypoglycemia [see Warnings and Precautions (5.3)].
3 Dosage Forms And Strengths
Saxagliptin tablets, 5 mg are available as brown colored, round shaped, biconvex, film-coated tablets imprinted “60” with black ink on one side and plain on other side.
Saxagliptin tablets, 2.5 mg are available as light yellow to yellow colored, round shaped, biconvex, film-coated tablets imprinted “59” with black ink on one side and plain on other side.
4 Contraindications
Saxagliptin tablets are contraindicated in patients with a history of a serious hypersensitivity reaction to saxagliptin, such as anaphylaxis, angioedema, or exfoliative skin conditions [see Warnings and Precautions (5.4) and Adverse Reactions (6.2)].
5.1 Pancreatitis
There have been post-marketing reports of acute pancreatitis in patients taking saxagliptin. In a cardiovascular outcomes trial enrolling participants with established atherosclerotic cardiovascular disease (ASCVD) or multiple risk factors for ASCVD (SAVOR trial), cases of definite acute pancreatitis were confirmed in 17 of 8,240 (0.2%) patients receiving saxagliptin compared to 9 of 8,173 (0.1%) receiving placebo. Preexisting risk factors for pancreatitis were identified in 88% (15/17) of those patients receiving saxagliptin and in 100% (9/9) of those patients receiving placebo.
After initiation of saxagliptin, observe patients for signs and symptoms of pancreatitis. If pancreatitis is suspected, promptly discontinue saxagliptin and initiate appropriate management. It is unknown whether patients with a history of pancreatitis are at increased risk for the development of pancreatitis while using saxagliptin.
5.2 Heart Failure
In a cardiovascular outcomes trial enrolling participants with established ASCVD or multiple risk factors for ASCVD (SAVOR trial), more patients randomized to saxagliptin (289/8,280, 3.5%) were hospitalized for heart failure compared to patients randomized to placebo (228/8,212, 2.8%). In a time-to-first-event analysis the risk of hospitalization for heart failure was higher in the saxagliptin group (estimated Hazard Ratio: 1.27; 95% CI: 1.07, 1.51). Subjects with a prior history of heart failure and subjects with renal impairment had a higher risk for hospitalization for heart failure, irrespective of treatment assignment.
Consider the risks and benefits of saxagliptin prior to initiating treatment in patients at a higher risk for heart failure. Observe patients for signs and symptoms of heart failure during therapy. Advise patients of the characteristic symptoms of heart failure and to immediately report such symptoms. If heart failure develops, evaluate and manage according to current standards of care and consider discontinuation of saxagliptin.
5.3 Hypoglycemia With Concomitant Use Of Sulfonylurea Or Insulin
When saxagliptin was used in combination with a sulfonylurea or with insulin, medications known to cause hypoglycemia, the incidence of confirmed hypoglycemia was increased over that of placebo used in combination with a sulfonylurea or with insulin [see Adverse Reactions (6.1)]. Therefore, a lower dose of the insulin secretagogue or insulin may be required to minimize the risk of hypoglycemia when used in combination with saxagliptin [see Dosage and Administration (2.4)].
5.4 Hypersensitivity Reactions
There have been post-marketing reports of serious hypersensitivity reactions in patients treated with saxagliptin. These reactions include anaphylaxis, angioedema, and exfoliative skin conditions. Onset of these reactions occurred within the first 3 months after initiation of treatment with saxagliptin, with some reports occurring after the first dose.
If a serious hypersensitivity reaction is suspected, discontinue saxagliptin, assess for other potential causes for the event, and institute alternative treatment for diabetes [see Adverse Reactions (6.2)].
Use caution in a patient with a history of angioedema to another dipeptidyl peptidase-4 (DPP4) inhibitor because it is unknown whether such patients will be predisposed to angioedema with saxagliptin.
5.5 Severe And Disabling Arthralgia
There have been post-marketing reports of severe and disabling arthralgia in patients taking DPP4 inhibitors. The time to onset of symptoms following initiation of drug therapy varied from one day to years. Patients experienced relief of symptoms upon discontinuation of the medication. A subset of patients experienced a recurrence of symptoms when restarting the same drug or a different DPP4 inhibitor. Consider DPP4 inhibitors as a possible cause for severe joint pain and discontinue drug if appropriate.
5.6 Bullous Pemphigoid
Post-marketing cases of bullous pemphigoid requiring hospitalization have been reported with DPP-4 inhibitor use. In reported cases, patients typically recovered with topical or systemic immunosuppressive treatment and discontinuation of the DPP-4 inhibitor. Tell patients to report development of blisters or erosions while receiving saxagliptin. If bullous pemphigoid is suspected, saxagliptin should be discontinued and referral to a dermatologist should be considered for diagnosis and appropriate treatment.
5.7 Macrovascular Outcomes
There have been no clinical studies establishing conclusive evidence of macrovascular risk reduction with saxagliptin.
6 Adverse Reactions
The following serious adverse reactions are described below or elsewhere in the prescribing information:
- Pancreatitis [see Warnings and Precautions (5.1)]
- Heart Failure [see Warnings and Precautions (5.2)]
- Hypoglycemia with Concomitant Use of Sulfonylurea or Insulin [see Warnings and Precautions (5.3)]
- Hypersensitivity Reactions [see Warnings and Precautions (5.4)]
- Severe and disabling arthralgia [see Warnings and Precautions (5.5)]
- Bullous pemphigoid [see Warnings and Precautions (5.6)]
6.1 Clinical Trials Experience
Because clinical trials are conducted under widely varying conditions, adverse reaction rates observed in the clinical trials of a drug cannot be directly compared to rates in the clinical trials of another drug and may not reflect the rates observed in practice.
Adverse Reactions in Efficacy Trials
The data in Table 1 are derived from a pool of 5 placebo-controlled clinical trials [see Clinical Studies (14)]. These data shown in the table reflect exposure of 882 patients to saxagliptin and a mean duration of exposure to saxagliptin of 21 weeks. The mean age of these patients was 55 years, 1.4 % were 75 years or older and 48.4% were male. The population was 67.5% White, 4.6% Black or African American, 17.4% Asian, Other 10.5% and 9.8% were of Hispanic or Latino ethnicity. At baseline the population had diabetes for an average of 5.2 years and a mean HbA1c of 8.2%. Baseline estimated renal function was normal or mildly impaired (eGFR ≥ 60 mL/min/1.73 m2) in 91% of these patients.
Table 1 shows common adverse reactions, excluding hypoglycemia, associated with the use of saxagliptin. These adverse reactions occurred more commonly on saxagliptin than on placebo and occurred in at least 5% of patients treated with saxagliptin.
Table 1: Adverse Reactions in Placebo-Controlled Trials* Reported in ≥ 5% of Patients Treated with Saxagliptin 5 mg and More Commonly than in Patients Treated with Placebo
% of Patients | ||
Saxagliptin 5 mg N=882 | Placebo N=799 | |
Upper respiratory tract infection | 7.7 | 7.6 |
Urinary tract infection | 6.8 | 6.1 |
Headache | 6.5 | 5.9 |
* The 5 placebo-controlled trials include two monotherapy trials and one add-on combination therapy trial with each of the following: metformin, thiazolidinedione, or glyburide. Table shows 24-week data regardless of glycemic rescue. | ||
In patients treated with saxagliptin 2.5 mg, headache (6.5%) was the only adverse reaction reported at a rate ≥ 5% and more commonly than in patients treated with placebo.
In the add-on to TZD trial, the incidence of peripheral edema was higher for saxagliptin 5 mg versus placebo (8.1% and 4.3%, respectively). The incidence of peripheral edema for saxagliptin 2.5 mg was 3.1%. None of the reported adverse reactions of peripheral edema resulted in study drug discontinuation. Rates of peripheral edema for saxagliptin 2.5 mg and saxagliptin 5 mg versus placebo were 3.6% and 2% versus 3% given as monotherapy, 2.1% and 2.1% versus 2.2% given as add-on therapy to metformin, and 2.4% and 1.2% versus 2.2% given as add-on therapy to glyburide.
The incidence rate of fractures was 1.0 and 0.6 per 100 patient-years, respectively, for saxagliptin (pooled analysis of 2.5 mg, 5 mg, and 10 mg) and placebo. The 10 mg dosage is not an approved dosage. The incidence rate of fracture events in patients who received saxagliptin did not increase over time. Causality has not been established and nonclinical studies have not demonstrated adverse effects of saxagliptin on bone.
An event of thrombocytopenia, consistent with a diagnosis of idiopathic thrombocytopenic purpura, was observed in the clinical program. The relationship of this event to saxagliptin is not known.
Discontinuation of therapy due to adverse reactions occurred in 2.2%, 3.3%, and 1.8% of subjects receiving saxagliptin 2.5 mg, saxagliptin 5 mg, and placebo, respectively. The most common adverse reactions (reported in at least 2 subjects treated with saxagliptin 2.5 mg or at least 2 subjects treated with saxagliptin 5 mg) associated with premature discontinuation of therapy included lymphopenia (0.1% and 0.5% versus 0%, respectively), rash (0.2% and 0.3% versus 0.3%), blood creatinine increased (0.3% and 0% versus 0%), and blood creatine phosphokinase increased (0.1% and 0.2% versus 0%).
Adverse Reactions with Concomitant Use with Insulin
In the add-on to insulin trial [see Clinical Studies (14.1)], the incidence of adverse events, including serious adverse events and discontinuations due to adverse events, was similar between saxagliptin and placebo, except for confirmed hypoglycemia [see Adverse Reactions (6.1)].
Hypoglycemia
Adverse reactions of hypoglycemia were based on all reports of hypoglycemia. A concurrent glucose measurement was not required or was normal in some patients. Therefore, it is not possible to conclusively determine that all these reports reflect true hypoglycemia.
In the add-on to glyburide study, the overall incidence of reported hypoglycemia was higher for saxagliptin 2.5 mg and saxagliptin 5 mg (13.3% and 14.6%) versus placebo (10.1%). The incidence of confirmed hypoglycemia in this study, defined as symptoms of hypoglycemia accompanied by a fingerstick glucose value of ≤ 50 mg/dL, was 2.4% and 0.8% for saxagliptin 2.5 mg and saxagliptin 5 mg and 0.7% for placebo [see Warnings and Precautions (5.3)]. The incidence of reported hypoglycemia for saxagliptin 2.5 mg and saxagliptin 5 mg versus placebo given as monotherapy was 4% and 5.6% versus 4.1%, respectively, 7.8% and 5.8% versus 5% given as add-on therapy to metformin, and 4.1% and 2.7% versus 3.8% given as add-on therapy to TZD. The incidence of reported hypoglycemia was 3.4% in treatment-naive patients given saxagliptin 5 mg plus metformin and 4% in patients given metformin alone.
In the active-controlled trial comparing add-on therapy with saxagliptin 5 mg to glipizide in patients inadequately controlled on metformin alone, the incidence of reported hypoglycemia was 3% (19 events in 13 patients) with saxagliptin 5 mg versus 36.3% (750 events in 156 patients) with glipizide. Confirmed symptomatic hypoglycemia (accompanying fingerstick blood glucose ≤ 50 mg/dL) was reported in none of the saxagliptin-treated patients and in 35 glipizide-treated patients (8.1%) (p < 0.0001).
In the add-on to insulin trial, the overall incidence of reported hypoglycemia was 18.4% for saxagliptin 5 mg and 19.9% for placebo. However, the incidence of confirmed symptomatic hypoglycemia (accompanying fingerstick blood glucose ≤ 50 mg/dL) was higher with saxagliptin 5 mg (5.3%) versus placebo (3.3%).
In the add-on to metformin plus sulfonylurea trial, the overall incidence of reported hypoglycemia was 10.1% for saxagliptin 5 mg and 6.3% for placebo. Confirmed hypoglycemia was reported in 1.6% of the saxagliptin-treated patients and in none of the placebo-treated patients [see Warnings and Precautions (5.3)].
Hypersensitivity Reactions
Hypersensitivity-related events, such as urticaria and facial edema in the 5-study pooled analysis up to Week 24 were reported in 1.5%, 1.5%, and 0.4% of patients who received saxagliptin 2.5 mg, saxagliptin 5 mg, and placebo, respectively. None of these events in patients who received saxagliptin required hospitalization or were reported as life-threatening by the investigators. One saxagliptin-treated patient in this pooled analysis discontinued due to generalized urticaria and facial edema.
Renal Impairment
In the SAVOR trial, adverse reactions related to renal impairment, including laboratory changes (i.e. doubling of serum creatinine compared with baseline and serum creatinine > 6 mg/dL), were reported in 5.8% (483/8,280) of saxagliptin-treated subjects and 5.1% (422/8,212) of placebo-treated subjects. The most frequently reported adverse reactions included renal impairment (2.1% vs. 1.9%), acute renal failure (1.4% vs. 1.2%), and renal failure (0.8% vs. 0.9%), in the saxagliptin versus placebo groups, respectively. From baseline to the end of treatment, there was a mean decrease in eGFR of 2.5 mL/min/1.73 m2 for saxagliptin-treated patients and a mean decrease of 2.4 mL/min/1.73 m2 for placebo-treated patients. More subjects randomized to saxagliptin (421/5,227, 8.1%) compared to subjects randomized to placebo (344/5,073, 6.8%) had downward shifts in eGFR from > 50 mL/min/1.73 m2 (i.e. normal or mild renal impairment) to ≤ 50 mL/min/1.73 m2 (i.e. moderate or severe renal impairment). The proportions of subjects with renal adverse reactions increased with worsening baseline renal function and increased age, regardless of treatment assignment.
Infections
In the unblinded, controlled, clinical trial database for saxagliptin to date, there have been 6 (0.12%) reports of tuberculosis among the 4,959 saxagliptin-treated patients (1.1 per 1,000 patient-years) compared to no reports of tuberculosis among the 2,868 comparator-treated patients. Two of these six cases were confirmed with laboratory testing. The remaining cases had limited information or had presumptive diagnoses of tuberculosis. None of the six cases occurred in the United States or in Western Europe. One case occurred in Canada in a patient originally from Indonesia who had recently visited Indonesia. The duration of treatment with saxagliptin until report of tuberculosis ranged from 144 to 929 days. Post-treatment lymphocyte counts were consistently within the reference range for four cases. One patient had lymphopenia prior to initiation of saxagliptin that remained stable throughout saxagliptin treatment. The final patient had an isolated lymphocyte count below normal approximately four months prior to the report of tuberculosis. There have been no spontaneous reports of tuberculosis associated with saxagliptin use. Causality has not been estimated and there are too few cases to date to determine whether tuberculosis is related to saxagliptin use.
There has been one case of a potential opportunistic infection in the unblinded, controlled clinical trial database to date in an saxagliptin-treated patient who developed suspected foodborne fatal salmonella sepsis after approximately 600 days of saxagliptin therapy. There have been no spontaneous reports of opportunistic infections associated with saxagliptin use.
Vital Signs
No clinically meaningful changes in vital signs have been observed in patients treated with saxagliptin.
Laboratory Tests
Absolute Lymphocyte Counts
There was a dose-related mean decrease in absolute lymphocyte count observed with saxagliptin. From a baseline mean absolute lymphocyte count of approximately 2200 cells/microL, mean decreases of approximately 100 and 120 cells/microL with saxagliptin 5 mg and 10 mg, respectively, relative to placebo were observed at 24 weeks in a pooled analysis of five placebo-controlled clinical studies. Similar effects were observed when saxagliptin 5 mg was given in initial combination with metformin compared to metformin alone. There was no difference observed for saxagliptin 2.5 mg relative to placebo. The proportion of patients who were reported to have a lymphocyte count ≤ 750 cells/microL was 0.5%, 1.5%, 1.4%, and 0.4% in the saxagliptin 2.5 mg, 5 mg, 10 mg, and placebo groups, respectively. In most patients, recurrence was not observed with repeated exposure to saxagliptin although some patients had recurrent decreases upon rechallenge that led to discontinuation of saxagliptin. The decreases in lymphocyte count were not associated with clinically relevant adverse reactions. The 10 mg dosage is not an approved dosage.
In the SAVOR trial mean decreases of approximately 84 cells/microL with saxagliptin relative to placebo was observed. The proportion of patients who experienced a decrease in lymphocyte counts to a count of ≤ 750 cells/microL was 1.6% (136/8,280) and 1.0% (78/8,212) on saxagliptin and placebo respectively.
The clinical significance of this decrease in lymphocyte count relative to placebo is not known. When clinically indicated, such as in settings of unusual or prolonged infection, lymphocyte count should be measured. The effect of saxagliptin on lymphocyte counts in patients with lymphocyte abnormalities (e.g., human immunodeficiency virus) is unknown.
6.2 Post-Marketing Experience
Additional adverse reactions have been identified during post-approval use of saxagliptin. Because these reactions are reported voluntarily from a population of uncertain size, it is generally not possible to reliably estimate their frequency or establish a causal relationship to drug exposure.
- Hypersensitivity reactions including anaphylaxis, angioedema, and exfoliative skin conditions
- Pancreatitis
- Severe and disabling arthralgia
- Bullous pemphigoid
- Rhabdomyolysis
7.1 Strong Inhibitors Of Cyp3a4/5 Enzymes
Ketoconazole significantly increased saxagliptin exposure. Similar significant increases in plasma concentrations of saxagliptin are anticipated with other strong CYP3A4/5 inhibitors (e.g., atazanavir, clarithromycin, indinavir, itraconazole, nefazodone, nelfinavir, ritonavir, saquinavir, and telithromycin). The dose of saxagliptin should be limited to 2.5 mg when coadministered with a strong CYP3A4/5 inhibitor [see Dosage and Administration (2.3) and Clinical Pharmacology (12.3)].
8.1 Pregnancy
Risk Summary
Limited data with saxagliptin in pregnant women are not sufficient to determine a drug-associated risk for major birth defects or miscarriages. There are risks to the mother and fetus associated with poorly controlled diabetes in pregnancy [see Clinical Considerations].
No adverse developmental effects independent of maternal toxicity were observed when saxagliptin was administered to pregnant rats and rabbits during the period of organogenesis and in pregnant and lactating rats during the pre- and postnatal period [see Data].
The estimated background risk of major birth defects is 6% to 10% in women with pre-gestational diabetes with an HbA1c greater than 7 and has been reported to be as high as 20% to 25% in women with an HbA1c greater than 10. The estimated background risk of miscarriage for the indicated population is unknown. In the U.S. general population, the estimated background risk of major birth defects and miscarriage in clinically recognized pregnancies is 2% to 4% and 15% to 20%, respectively.
Clinical Considerations
Disease-associated maternal and/or embryo/fetal risk
Poorly controlled diabetes in pregnancy increases the maternal risk for diabetic ketoacidosis, preeclampsia, spontaneous abortions, preterm delivery, still birth and delivery complications. Poorly controlled diabetes increases the fetal risk for major birth defects, stillbirth, and macrosomia related morbidity.
Data
Animal Data
In embryo-fetal development studies, saxagliptin was administered to pregnant rats and rabbits during the period of organogenesis, corresponding to the first trimester of human pregnancy. No adverse developmental effects were observed in either species at exposures 1503- and 152-times the 5 mg clinical dose in rats and rabbits, respectively, based on AUC. Saxagliptin crosses the placenta into the fetus following dosing in pregnant rats.
In a prenatal and postnatal development study, no adverse developmental effects were observed in maternal rats administered saxagliptin from gestation day 6 through lactation day 21 at exposures up to 470-times the 5 mg clinical dose, based on AUC.
8.2 Lactation
Risk Summary
There is no information regarding the presence of saxagliptin in human milk, the effects on the breastfed infant, or the effects on milk production.
Saxagliptin is present in the milk of lactating rats [see Data]. The developmental and health benefits of breastfeeding should be considered along with the mother’s clinical need for saxagliptin and any potential adverse effects on the breastfed infant from saxagliptin or from the underlying maternal condition.
Data
Saxagliptin is secreted in the milk of lactating rats at approximately a 1:1 ratio with plasma drug concentrations.
8.4 Pediatric Use
Safety and effectiveness of saxagliptin in pediatric patients under 18 years of age have not been established. Additionally, studies characterizing the pharmacokinetics of saxagliptin in pediatric patients have not been performed.
8.5 Geriatric Use
In the seven, double-blind, controlled clinical safety and efficacy trials of saxagliptin, a total of 4,751 (42.0%) of the 11,301 patients randomized to saxagliptin were 65 years and over, and 1,210 (10.7%) were 75 years and over. No overall differences in safety or effectiveness were observed between subjects ≥ 65 years old and younger subjects. While this clinical experience has not identified differences in responses between the elderly and younger patients, greater sensitivity of some older individuals cannot be ruled out.
Saxagliptin and its active metabolite are eliminated in part by the kidney. Because elderly patients are more likely to have decreased renal function, care should be taken in dose selection in the elderly based on renal function [see Dosage and Administration (2.2) and Clinical Pharmacology (12.3)].
8.6 Renal Impairment
In a 12-week randomized placebo-controlled trial, saxagliptin 2.5 mg was administered to 85 subjects with moderate (n=48) or severe (n=18) renal impairment or end-stage renal disease (ESRD) (n=19) [see Clinical Studies (14)]. The incidence of adverse events, including serious adverse events and discontinuations due to adverse events, was similar between saxagliptin and placebo. The overall incidence of reported hypoglycemia was 20% among subjects treated with saxagliptin 2.5 mg and 22% among subjects treated with placebo. Four saxagliptin-treated subjects (4.7%) and three placebo-treated subjects (3.5%) reported at least one episode of confirmed symptomatic hypoglycemia (accompanying fingerstick glucose ≤ 50 mg/dL).
10 Overdosage
In a controlled clinical trial, once-daily, orally-administered saxagliptin in healthy subjects at doses up to 400 mg daily for 2 weeks (80 times the MRHD) had no dose-related clinical adverse reactions and no clinically meaningful effect on QTc interval or heart rate.
In the event of an overdose, appropriate supportive treatment should be initiated as dictated by the patient’s clinical status. Saxagliptin and its active metabolite are removed by hemodialysis (23% of dose over 4 hours).
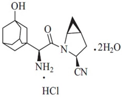
11 Description
Saxagliptin hydrochloride dihydrate is an orally-active inhibitor of the DPP4 enzyme.
Saxagliptin hydrochloride dihydrate is described chemically as (1S,3S,5S)-2-[2(S)-Amino-2-(3- hydroxadamantan-1-yl)acetyl]-2-azabicyclo[3.1.0]hexane-3-carbonitrile hydrochloride, dihydrate or (1S,3S,5S)-2-[2(S)-Amino-2-(3-hydroxytricyclo-[3.3.1.13,7]dec-1-yl)acetyl]-2-azabicyclo[3.1.0]hexane-3-carbonitrile hydrochloride, dihydrate. The molecular formula is C18H30ClN3O4 and the molecular weight is 387.90 g/mol. The structural formula is:
Saxagliptin hydrochloride dihydrate is a white to off-white solid. It is soluble in methanol.
Each film-coated tablet of saxagliptin hydrochloride for oral use contains either 2.79 mg saxagliptin hydrochloride equivalent to 2.5 mg saxagliptin or 5.58 mg saxagliptin hydrochloride equivalent to 5 mg saxagliptin and the following inactive ingredients: croscarmellose sodium, hydrochloric acid, magnesium stearate, mannitol, microcrystalline cellulose and povidone. In addition, the film coating contains the following inactive ingredients: hypromellose, iron oxide red, iron oxide yellow, polyethylene glycol, talc and titanium dioxide. The imprinting ink contains the following inactive ingredients: ammonium hydroxide, iron oxide black, isopropyl alcohol, propylene glycol and shellac.
12.1 Mechanism Of Action
Increased concentrations of the incretin hormones such as glucagon-like peptide-1 (GLP-1) and glucose-dependent insulinotropic polypeptide (GIP) are released into the bloodstream from the small intestine in response to meals. These hormones cause insulin release from the pancreatic beta cells in a glucose-dependent manner but are inactivated by the DPP4 enzyme within minutes. GLP-1 also lowers glucagon secretion from pancreatic alpha cells, reducing hepatic glucose production. In patients with type 2 diabetes, concentrations of GLP-1 are reduced but the insulin response to GLP-1 is preserved. Saxagliptin is a competitive DPP4 inhibitor that slows the inactivation of the incretin hormones, thereby increasing their bloodstream concentrations and reducing fasting and postprandial glucose concentrations in a glucose-dependent manner in patients with type 2 diabetes mellitus.
12.2 Pharmacodynamics
In patients with type 2 diabetes mellitus, administration of saxagliptin inhibits DPP4 enzyme activity for a 24-hour period. After an oral glucose load or a meal, this DPP4 inhibition resulted in a 2- to 3-fold increase in circulating levels of active GLP-1 and GIP, decreased glucagon concentrations, and increased glucose-dependent insulin secretion from pancreatic beta cells. The rise in insulin and decrease in glucagon were associated with lower fasting glucose concentrations and reduced glucose excursion following an oral glucose load or a meal.
Cardiac Electrophysiology
In a randomized, double-blind, placebo-controlled, 4-way crossover, active comparator study using moxifloxacin in 40 healthy subjects, saxagliptin was not associated with clinically meaningful prolongation of the QTc interval or heart rate at daily doses up to 40 mg (8 times the MRHD).
12.3 Pharmacokinetics
The pharmacokinetics of saxagliptin and its active metabolite, 5-hydroxy saxagliptin were similar in healthy subjects and in patients with type 2 diabetes mellitus. The Cmax and AUC values of saxagliptin and its active metabolite increased proportionally in the 2.5 mg to 400 mg dose range. Following a 5 mg single oral dose of saxagliptin to healthy subjects, the mean plasma AUC values for saxagliptin and its active metabolite were 78 ng•h/mL and 214 ng•h/mL, respectively. The corresponding plasma Cmax values were 24 ng/mL and 47 ng/mL, respectively. The average variability (%CV) for AUC and Cmax for both saxagliptin and its active metabolite was less than 25%.
No appreciable accumulation of either saxagliptin or its active metabolite was observed with repeated once-daily dosing at any dose level. No dose- and time-dependence were observed in the clearance of saxagliptin and its active metabolite over 14 days of once-daily dosing with saxagliptin at doses ranging from 2.5 mg to 400 mg.
Absorption
The median time to maximum concentration (Tmax) following the 5 mg once daily dose was 2 hours for saxagliptin and 4 hours for its active metabolite. Administration with a high-fat meal resulted in an increase in Tmax of saxagliptin by approximately 20 minutes as compared to fasted conditions. There was a 27% increase in the AUC of saxagliptin when given with a meal as compared to fasted conditions. Saxagliptin may be administered with or without food.
Distribution
The in vitro protein binding of saxagliptin and its active metabolite in human serum is negligible. Therefore, changes in blood protein levels in various disease states (e.g., renal or hepatic impairment) are not expected to alter the disposition of saxagliptin.
Metabolism
The metabolism of saxagliptin is primarily mediated by cytochrome P450 3A4/5 (CYP3A4/5). The major metabolite of saxagliptin is also a DPP4 inhibitor, which is one-half as potent as saxagliptin. Therefore, strong CYP3A4/5 inhibitors and inducers will alter the pharmacokinetics of saxagliptin and its active metabolite [see Drug Interactions (7.1)].
Excretion
Saxagliptin is eliminated by both renal and hepatic pathways. Following a single 50 mg dose of 14C-saxagliptin, 24%, 36%, and 75% of the dose was excreted in the urine as saxagliptin, its active metabolite, and total radioactivity, respectively. The average renal clearance of saxagliptin (∼230 mL/min) was greater than the average estimated glomerular filtration rate (∼120 mL/min), suggesting some active renal excretion. A total of 22% of the administered radioactivity was recovered in feces representing the fraction of the saxagliptin dose excreted in bile and/or unabsorbed drug from the gastrointestinal tract. Following a single oral dose of saxagliptin 5 mg to healthy subjects, the mean plasma terminal half-life (t1/2) for saxagliptin and its active metabolite was 2.5 and 3.1 hours, respectively.
Specific Populations
Renal Impairment
A single-dose, open-label study was conducted to evaluate the pharmacokinetics of saxagliptin (10 mg dose) in subjects with varying degrees of chronic renal impairment compared to subjects with normal renal function. The 10 mg dosage is not an approved dosage. The degree of renal impairment did not affect Cmax of saxagliptin or its metabolite. In subjects with moderate renal impairment with (eGFR 30 to less than 45 mL/min/1.73m2), severe renal impairment (eGFR 15 to less than 30 mL/min/1.73 m2) and ESRD patient on hemodialysis, the AUC values of saxagliptin or its active metabolite were > 2 fold higher than AUC values in subjects with normal renal function.
Hepatic Impairment
In subjects with hepatic impairment (Child-Pugh classes A, B, and C), mean Cmax and AUC of saxagliptin were up to 8% and 77% higher, respectively, compared to healthy matched controls following administration of a single 10 mg dose of saxagliptin. The 10 mg dosage is not an approved dosage. The corresponding Cmax and AUC of the active metabolite were up to 59% and 33% lower, respectively, compared to healthy matched controls. These differences are not considered to be clinically meaningful.
Body Mass Index
No dosage adjustment is recommended based on body mass index (BMI) which was not identified as a significant covariate on the apparent clearance of saxagliptin or its active metabolite in the population pharmacokinetic analysis.
Gender
No dosage adjustment is recommended based on gender. There were no differences observed in saxagliptin pharmacokinetics between males and females. Compared to males, females had approximately 25% higher exposure values for the active metabolite than males, but this difference is unlikely to be of clinical relevance. Gender was not identified as a significant covariate on the apparent clearance of saxagliptin and its active metabolite in the population pharmacokinetic analysis.
Geriatric
No dosage adjustment is recommended based on age alone. Elderly subjects (65 to 80 years) had 23% and 59% higher geometric mean Cmax and geometric mean AUC values, respectively, for saxagliptin than young subjects (18 to 40 years). Differences in active metabolite pharmacokinetics between elderly and young subjects generally reflected the differences observed in saxagliptin pharmacokinetics. The difference between the pharmacokinetics of saxagliptin and the active metabolite in young and elderly subjects is likely due to multiple factors including declining renal function and metabolic capacity with increasing age. Age was not identified as a significant covariate on the apparent clearance of saxagliptin and its active metabolite in the population pharmacokinetic analysis.
Race and Ethnicity
No dosage adjustment is recommended based on race. The population pharmacokinetic analysis compared the pharmacokinetics of saxagliptin and its active metabolite in 309 Caucasian subjects with 105 non-Caucasian subjects (consisting of six racial groups). No significant difference in the pharmacokinetics of saxagliptin and its active metabolite were detected between these two populations.
Drug Interaction Studies
In Vitro Assessment of Drug Interactions
The metabolism of saxagliptin is primarily mediated by CYP3A4/5.
In in vitro studies, saxagliptin and its active metabolite did not inhibit CYP1A2, 2A6, 2B6, 2C9, 2C19, 2D6, 2E1, or 3A4, or induce CYP1A2, 2B6, 2C9, or 3A4. Therefore, saxagliptin is not expected to alter the metabolic clearance of co-administered drugs that are metabolized by these enzymes. Saxagliptin is a P-glycoprotein (P-gp) substrate but is not a significant inhibitor or inducer of P-gp.
In Vivo Assessment of Drug Interactions
Table 2: Effect of Co-administered Drugs on Systemic Exposures of Saxagliptin and its Active Metabolite, 5-hydroxy Saxagliptin
| Co-administered Drug | Dosage of Co-administered Drug* | Dosage of Saxagliptin* | Geometric Mean Ratio(ratio with/without co-administered drug) No Effect = 1.00 | ||
|---|---|---|---|---|---|
| AUC† | Cmax | ||||
No dosing adjustments required for the following: | |||||
Metformin | 1,000 mg | 100 mg | saxagliptin 5-hydroxy saxagliptin | 0.98 0.99 | 0.79 0.88 |
Glyburide | 5 mg | 10 mg | saxagliptin 5-hydroxy saxagliptin | 0.98 ND | 1.08 ND |
Dapagliflozin | 10 mg single-dose | 5 mg single-dose | saxagliptin 5-hydroxy saxagliptin | ↓1% ↑9% | ↓7% ↑6% |
Pioglitazone‡ | 45 mg QD for 10 days | 10 mg QD for 5 days | saxagliptin 5-hydroxy saxagliptin | 1.11 ND | 1.11 ND |
Digoxin | 0.25 mg q6h first day followed by q12h second day followed by QD for 5 days | 10 mg QD for 7 days | saxagliptin 5-hydroxy saxagliptin | 1.05 1.06 | 0.99 1.02 |
Simvastatin | 40 mg QD for 8 days | 10 mg QD for 4 days | saxagliptin 5-hydroxy saxagliptin | 1.12 1.02 | 1.21 1.08 |
Diltiazem | 360 mg LA QD for 9 days | 10 mg | saxagliptin 5-hydroxy saxagliptin | 2.09 0.66 | 1.63 0.57 |
Rifampin§ | 600 mg QD for 6 days | 5 mg | saxagliptin 5-hydroxy saxagliptin | 0.24 1.03 | 0.47 1.39 |
Omeprazole | 40 mg QD for 5 days | 10 mg | saxagliptin 5-hydroxy saxagliptin | 1.13 ND | 0.98 ND |
Aluminum hydroxide + magnesium hydroxide + simethicone | aluminum hydroxide: 2,400 mg magnesium hydroxide: 2,400 mg simethicone: 240 mg | 10 mg | saxagliptin 5-hydroxy saxagliptin | 0.97 ND | 0.74 ND |
Famotidine | 40 mg | 10 mg | saxagliptin 5-hydroxy saxagliptin | 1.03 ND | 1.14 ND |
Limit saxagliptin dose to 2.5 mg once daily when co-administered with strong CYP3A4/5 inhibitors [see Drug Interactions (7.1) and Dosage and Administration (2.3)]: | |||||
Ketoconazole | 200 mg BID for 9 days | 100 mg | saxagliptin 5-hydroxy saxagliptin | 2.45 0.12 | 1.62 0.05 |
Ketoconazole | 200 mg BID for 7 days | 20 mg | saxagliptin 5-hydroxy saxagliptin | 3.67 ND | 2.44 ND |
* Single-dose unless otherwise noted. The 10 mg saxagliptin dose is not an approved dosage. † AUC = AUC (INF) for drugs given as single-dose and AUC = AUC (TAU) for drugs given in multiple–doses. ‡ Results exclude one subject. § The plasma dipeptidyl peptidase-4 (DPP4) activity inhibition over a 24-hour dose interval was not affected by rifampin ND=not determined; QD=once daily; q6h=every 6 hours; q12h=every 12 hours; BID=twice daily; LA=long acting. | |||||
Table 3: Effect of Saxagliptin on Systemic Exposures of Co-administered Drugs
| Co-administered Drug | Dosage of Co-administered Drug* | Dosage of Saxagliptin* | Geometric Mean Ratio(ratio with/without saxagliptin) No Effect = 1.00 | ||
|---|---|---|---|---|---|
| AUC† | Cmax | ||||
No dosing adjustments required for the following: | |||||
Metformin | 1,000 mg | 100 mg | metformin | 1.20 | 1.09 |
Glyburide | 5 mg | 10 mg | glyburide | 1.06 | 1.16 |
Pioglitazone‡ | 45 mg QD for 10 days | 10 mg QD for 5 days | pioglitazone hydroxy-pioglitazone | 1.08 ND | 1.14 ND |
Digoxin | 0.25 mg q6h first day followed by q12h second day followed by QD for 5 days | 10 mg QD for 7 days | digoxin | 1.06 | 1.09 |
Simvastatin | 40 mg QD for 8 days | 10 mg QD for 4 days | simvastatin simvastatin acid | 1.04 1.16 | 0.88 1.00 |
Diltiazem | 360 mg LA QD for 9 days | 10 mg | diltiazem | 1.10 | 1.16 |
Ketoconazole | 200 mg BID for 9 days | 100 mg | ketoconazole | 0.87 | 0.84 |
Ethinyl estradiol and Norgestimate | ethinyl estradiol 0.035 mg and norgestimate 0.250 mg for 21 days | 5 mg QD for 21 days | ethinyl estradiol norelgestromin norgestrel | 1.07 1.10 1.13 | 0.98 1.09 1.17 |
* Single-dose unless otherwise noted. The 10 mg and 100 mg saxagliptin doses are not approved dosages. † AUC = AUC (INF) for drugs given as single-dose and AUC = AUC (TAU) for drugs given in multiple–doses. ‡ Results include all subjects. ND=not determined; QD=once daily; q6h=every 6 hours; q12h=every 12 hours; BID=twice daily; LA=long acting. | |||||
13.1 Carcinogenesis, Mutagenesis, Impairment Of Fertility
Carcinogenesis
Carcinogenicity was evaluated in 2-year studies conducted in CD-1 mice and Sprague-Dawley rats. Saxagliptin did not increase the incidence of tumors in mice dosed orally at 50, 250, and 600 mg/kg up to 870-times (males) and 1,165-times (females) the 5 mg/day clinical dose, based on AUC. Saxagliptin did not increase the incidence of tumors in rats dosed orally at 25, 75, 150, and 300 mg/kg up to 355-times (males) and 2,217-times (females) the 5 mg/day clinical dose, based on AUC.
Mutagenesis
Saxagliptin was not mutagenic or clastogenic in a battery of genotoxicity tests (Ames bacterial mutagenesis, human and rat lymphocyte cytogenetics, rat bone marrow micronucleus and DNA repair assays). The active metabolite of saxagliptin was not mutagenic in an Ames bacterial assay.
Impairment of Fertility
Saxagliptin administered to rats had no effect on fertility or the ability to maintain a litter at exposures up to 603-times and 776-times the 5 mg clinical dose in males and females, based on AUC.
13.2 Animal Toxicology And/Or Pharmacology
Saxagliptin produced adverse skin changes in the extremities of cynomolgus monkeys (scabs and/or ulceration of tail, digits, scrotum, and/or nose). Skin lesions were reversible within exposure approximately 20-times the 5 mg clinical dose, but in some cases were irreversible and necrotizing at higher exposures. Adverse skin changes were not observed at exposures similar to (1- to 3-times) the 5 mg clinical dose. Clinical correlates to skin lesions in monkeys have not been observed in human clinical trials of saxagliptin.
14.1 Glycemic Efficacy Trials
Saxagliptin has been studied as monotherapy and in combination with metformin, glyburide, and thiazolidinedione (pioglitazone and rosiglitazone) therapy.
A total of 4,148 patients with type 2 diabetes mellitus were randomized in six, double-blind, controlled clinical trials conducted to evaluate the safety and glycemic efficacy of saxagliptin. A total of 3,021 patients in these trials were treated with saxagliptin. In these trials, the mean age was 54 years, and 71% of patients were Caucasian, 16% were Asian, 4% were black, and 9% were of other racial groups. An additional 423 patients, including 315 who received saxagliptin, participated in a placebo-controlled, dose-ranging study of 6 to 12 weeks in duration.
In these six, double-blind trials, saxagliptin was evaluated at doses of 2.5 mg and 5 mg once daily. Three of these trials also evaluated an saxagliptin dose of 10 mg daily. The 10 mg daily dose of saxagliptin did not provide greater efficacy than the 5 mg daily dose. The 10 mg dosage is not an approved dosage. Treatment with saxagliptin 5 mg and 2.5 mg doses produced clinically relevant and statistically significant improvements in A1C, fasting plasma glucose (FPG), and 2-hour postprandial glucose (PPG) following a standard oral glucose tolerance test (OGTT), compared to control. Reductions in A1C were seen across subgroups including gender, age, race, and baseline BMI.
Saxagliptin was not associated with significant changes from baseline in body weight or fasting serum lipids compared to placebo.
Saxagliptin has also been evaluated in five additional trials in patients with type 2 diabetes: an active-controlled trial comparing add-on therapy with saxagliptin to glipizide in 858 patients inadequately controlled on metformin alone, a trial comparing saxagliptin to placebo in 455 patients inadequately controlled on insulin alone or on insulin in combination with metformin, a trial comparing saxagliptin to placebo in 257 patients inadequately controlled on metformin plus a sulfonylurea, a trial comparing saxagliptin to placebo in 315 patients inadequately controlled on dapagliflozin and metformin, and a trial comparing saxagliptin to placebo in 170 patients with type 2 diabetes and moderate or severe renal impairment or ESRD.
Monotherapy
A total of 766 patients with type 2 diabetes inadequately controlled on diet and exercise (A1C ≥ 7% to ≤ 10%) participated in two 24-week, double-blind, placebo-controlled trials evaluating the efficacy and safety of saxagliptin monotherapy.
In the first trial, following a 2-week single-blind diet, exercise, and placebo lead-in period, 401 patients were randomized to 2.5 mg, 5 mg, or 10 mg of saxagliptin or placebo. The 10 mg dosage is not an approved dosage. Patients who failed to meet specific glycemic goals during the study were treated with metformin rescue therapy, added on to placebo or saxagliptin. Efficacy was evaluated at the last measurement prior to rescue therapy for patients needing rescue. Dose titration of saxagliptin was not permitted.
Treatment with saxagliptin 2.5 mg and 5 mg daily provided significant improvements in A1C, FPG, and PPG compared to placebo (Table 4). The percentage of patients who discontinued for lack of glycemic control or who were rescued for meeting prespecified glycemic criteria was 16% in the saxagliptin 2.5 mg treatment group, 20% in the saxagliptin 5 mg treatment group, and 26% in the placebo group).
Table 4: Glycemic Parameters at Week 24 in a Placebo-Controlled Study of Saxagliptin Monotherapy in Patients with Type 2 Diabetes*
Efficacy Parameter | Saxagliptin 2.5 mg N=102 | Saxagliptin 5 mg N=106 | Placebo N=95 |
Hemoglobin A1C (%) | N=100 | N=103 | N=92 |
Baseline (mean) | 7.9 | 8.0 | 7.9 |
Change from baseline (adjusted mean†) | −0.4 | −0.5 | +0.2 |
Difference from placebo (adjusted mean†) | −0.6‡ | −0.6‡ | |
95% Confidence Interval | (−0.9, −0.3) | (−0.9, −0.4) | |
Percent of patients achieving A1C < 7% | 35% (35/100) | 38%§(39/103) | 24% (22/92) |
Fasting Plasma Glucose (mg/dL) | N=101 | N=105 | N=92 |
Baseline (mean) | 178 | 171 | 172 |
Change from baseline (adjusted mean†) | −15 | −9 | +6 |
Difference from placebo (adjusted mean†) | −21§ | −15§ | |
95% Confidence Interval | (−31, −10) | (−25, −4) | |
2-hour Postprandial Glucose (mg/dL) | N=78 | N=84 | N=71 |
Baseline (mean) | 279 | 278 | 283 |
Change from baseline (adjusted mean†) | −45 | −43 | −6 |
Difference from placebo (adjusted mean†) | −39¶ | −37§ | |
95% Confidence Interval | (−61, −16) | (−59, −15) | |
* Intent-to-treat population using last observation on study or last observation prior to metformin rescue therapy for patients needing rescue. † Least squares mean adjusted for baseline value. ‡ p-value < 0.0001 compared to placebo. § p-value < 0.05 compared to placebo. ¶Significance was not tested for the 2-hour PPG for the 2.5 mg dose of saxagliptin. | |||
A second 24-week monotherapy trial was conducted to assess a range of dosing regimens for saxagliptin. Treatment-naive patients with inadequately controlled diabetes (A1C ≥ 7% to ≤ 10%) underwent a 2-week, single-blind diet, exercise, and placebo lead-in period. A total of 365 patients were randomized to 2.5 mg every morning, 5 mg every morning, 2.5 mg with possible titration to 5 mg every morning, or 5 mg every evening of saxagliptin, or placebo. Patients who failed to meet specific glycemic goals during the study were treated with metformin rescue therapy added on to placebo or saxagliptin; the number of patients randomized per treatment group ranged from 71 to 74.
Treatment with either saxagliptin 5 mg every morning or 5 mg every evening provided significant improvements in A1C versus placebo (mean placebo-corrected reductions of −0.4% and −0.3%, respectively). Treatment with saxagliptin 2.5 mg every morning also provided significant improvement in A1C versus placebo (mean placebo-corrected reduction of −0.4%).
Combination Therapy
Add-On Combination Therapy with Metformin
A total of 743 patients with type 2 diabetes participated in this 24-week, randomized, double-blind, placebo-controlled trial to evaluate the efficacy and safety of saxagliptin in combination with metformin in patients with inadequate glycemic control (A1C ≥ 7% and ≤ 10%) on metformin alone. To qualify for enrollment, patients were required to be on a stable dose of metformin (1,500 to 2,550 mg daily) for at least 8 weeks.
Patients who met eligibility criteria were enrolled in a single-blind, 2-week, dietary and exercise placebo lead-in period during which patients received metformin at their pre-study dose, up to 2500 mg daily. Following the lead-in period, eligible patients were randomized to 2.5 mg, 5 mg, or 10 mg of saxagliptin or placebo in addition to their current dose of open-label metformin. The 10 mg dosage is not an approved dosage. Patients who failed to meet specific glycemic goals during the study were treated with pioglitazone rescue therapy, added on to existing study medications. Dose titrations of saxagliptin and metformin were not permitted.
Saxagliptin 2.5 mg and 5 mg add-on to metformin provided significant improvements in A1C, FPG, and PPG compared with placebo add-on to metformin (Table 5). Mean changes from baseline for A1C over time and at endpoint are shown in Figure 1. The proportion of patients who discontinued for lack of glycemic control or who were rescued for meeting prespecified glycemic criteria was 15% in the saxagliptin 2.5 mg add-on to metformin group, 13% in the saxagliptin 5 mg add-on to metformin group, and 27% in the placebo add-on to metformin group.
Table 5: Glycemic Parameters at Week 24 in a Placebo-Controlled Study of Saxagliptin as Add-On Combination Therapy with Metformin*
| Efficacy Parameter | Saxagliptin 2.5 mg + Metformin N=192 | Saxagliptin 5 mg + Metformin N=191 | Placebo + Metformin N=179 |
|---|---|---|---|
Hemoglobin A1C (%) | N=186 | N=186 | N=175 |
Baseline (mean) | 8.1 | 8.1 | 8.1 |
Change from baseline (adjusted mean†) | −0.6 | −0.7 | +0.1 |
Difference from placebo (adjusted mean†) | −0.7‡ | −0.8‡ | |
95% Confidence Interval | (−0.9, −0.5) | (−1.0, −0.6) | |
Percent of patients achieving A1C < 7% | 37%§(69/186) | 44%§(81/186) | 17% (29/175) |
Fasting Plasma Glucose (mg/dL) | N=188 | N=187 | N=176 |
Baseline (mean) | 174 | 179 | 175 |
Change from baseline (adjusted mean†) | −14 | −22 | +1 |
Difference from placebo (adjusted mean†) | −16§ | −23§ | |
95% Confidence Interval | (−23, −9) | (−30, −16) | |
2-hour Postprandial Glucose (mg/dL) | N=155 | N=155 | N=135 |
Baseline (mean) | 294 | 296 | 295 |
Change from baseline (adjusted mean†) | −62 | −58 | −18 |
Difference from placebo (adjusted mean†) | −44§ | −40§ | |
95% Confidence Interval | (−60, −27) | (−56, −24) | |
*Intent-to-treat population using last observation on study or last observation prior to pioglitazone rescue therapy for patients needing rescue. †Least squares mean adjusted for baseline value. ‡p-value < 0.0001 compared to placebo + metformin. §p-value < 0.05 compared to placebo + metformin. | |||
Figure 1: Mean Change from Baseline in A1C in a Placebo-Controlled Trial of Saxagliptin as Add-On Combination Therapy with Metformin*
* Includes patients with a baseline and week 24 value.
Week 24 (LOCF) includes intent-to-treat population using last observation on study prior to pioglitazone rescue therapy for patients needing rescue. Mean change from baseline is adjusted for baseline value.
Add-On Combination Therapy with a Thiazolidinedione
A total of 565 patients with type 2 diabetes participated in this 24-week, randomized, double-blind, placebo-controlled trial to evaluate the efficacy and safety of saxagliptin in combination with a thiazolidinedione (TZD) in patients with inadequate glycemic control (A1C ≥ 7% to ≤ 10.5%) on TZD alone. To qualify for enrollment, patients were required to be on a stable dose of pioglitazone (30-45 mg once daily) or rosiglitazone (4 mg once daily or 8 mg either once daily or in two divided doses of 4 mg) for at least 12 weeks.
Patients who met eligibility criteria were enrolled in a single-blind, 2-week, dietary and exercise placebo lead-in period during which patients received TZD at their pre-study dose. Following the lead-in period, eligible patients were randomized to 2.5 mg or 5 mg of saxagliptin or placebo in addition to their current dose of TZD. Patients who failed to meet specific glycemic goals during the study were treated with metformin rescue, added on to existing study medications. Dose titration of saxagliptin or TZD was not permitted during the study. A change in TZD regimen from rosiglitazone to pioglitazone at specified, equivalent therapeutic doses was permitted at the investigator’s discretion if believed to be medically appropriate.
Saxagliptin 2.5 mg and 5 mg add-on to TZD provided significant improvements in A1C, FPG, and PPG compared with placebo add-on to TZD (Table 6). The proportion of patients who discontinued for lack of glycemic control or who were rescued for meeting prespecified glycemic criteria was 10% in the saxagliptin 2.5 mg add-on to TZD group, 6% for the saxagliptin 5 mg add-on to TZD group, and 10% in the placebo add-on to TZD group.
Table 6: Glycemic Parameters at Week 24 in a Placebo-Controlled Study of Saxagliptin as Add-On Combination Therapy with a Thiazolidinedione*
| Efficacy Parameter | Saxagliptin 2.5 mg + TZD N=195 | Saxagliptin 5 mg + TZD N=186 | Placebo + TZD N=184 |
|---|---|---|---|
Hemoglobin A1C (%) | N=192 | N=183 | N=180 |
Baseline (mean) | 8.3 | 8.4 | 8.2 |
Change from baseline (adjusted mean†) | −0.7 | −0.9 | −0.3 |
Difference from placebo (adjusted mean†) | −0.4§ | −0.6‡ | |
95% Confidence Interval | (−0.6, −0.2) | (−0.8, −0.4) | |
Percent of patients achieving A1C < 7% | 42%§(81/192) | 42%§(77/184) | 26% (46/180) |
Fasting Plasma Glucose (mg/dL) | N=193 | N=185 | N=181 |
Baseline (mean) | 163 | 160 | 162 |
Change from baseline (adjusted mean†) | −14 | −17 | −3 |
Difference from placebo (adjusted mean†) | −12§ | −15§ | |
95% Confidence Interval | (−20, −3) | (−23, −6) | |
2-hour Postprandial Glucose (mg/dL) | N=156 | N=134 | N=127 |
Baseline (mean) | 296 | 303 | 291 |
Change from baseline (adjusted mean†) | −55 | −65 | −15 |
Difference from placebo (adjusted mean†) | −40§ | −50§ | |
95% Confidence Interval | (−56, −24) | (−66, −34) | |
*Intent-to-treat population using last observation on study or last observation prior to metformin rescue therapy for patients needing rescue. †Least squares mean adjusted for baseline value. ‡p-value < 0.0001 compared to placebo + TZD. §p-value < 0.05 compared to placebo + TZD. | |||
Add-On Combination Therapy with Glyburide
A total of 768 patients with type 2 diabetes participated in this 24-week, randomized, double-blind, placebo-controlled trial to evaluate the efficacy and safety of saxagliptin in combination with a sulfonylurea (SU) in patients with inadequate glycemic control at enrollment (A1C ≥ 7.5% to ≤ 10%) on a submaximal dose of SU alone. To qualify for enrollment, patients were required to be on a submaximal dose of SU for 2 months or greater. In this study, saxagliptin in combination with a fixed, intermediate dose of SU was compared to titration to a higher dose of SU.
Patients who met eligibility criteria were enrolled in a single-blind, 4-week, dietary and exercise lead-in period, and placed on glyburide 7.5 mg once daily. Following the lead-in period, eligible patients with A1C ≥ 7% to ≤ 10% were randomized to either 2.5 mg or 5 mg of saxagliptin add-on to 7.5 mg glyburide or to placebo plus a 10 mg total daily dose of glyburide. Patients who received placebo were eligible to have glyburide up-titrated to a total daily dose of 15 mg. Up-titration of glyburide was not permitted in patients who received saxagliptin 2.5 mg or 5 mg. Glyburide could be down-titrated in any treatment group once during the 24-week study period due to hypoglycemia as deemed necessary by the investigator. Approximately 92% of patients in the placebo plus glyburide group were up-titrated to a final total daily dose of 15 mg during the first 4 weeks of the study period. Patients who failed to meet specific glycemic goals during the study were treated with metformin rescue, added on to existing study medication. Dose titration of saxagliptin was not permitted during the study.
In combination with glyburide, saxagliptin 2.5 mg and 5 mg provided significant improvements in A1C, FPG, and PPG compared with the placebo plus up-titrated glyburide group (Table 7). The proportion of patients who discontinued for lack of glycemic control or who were rescued for meeting prespecified glycemic criteria was 18% in the saxagliptin 2.5 mg add-on to glyburide group, 17% in the saxagliptin 5 mg add-on to glyburide group, and 30% in the placebo plus up-titrated glyburide group.
Table 7: Glycemic Parameters at Week 24 in a Placebo-Controlled Study of Saxagliptin as Add-On Combination Therapy with Glyburide*
| Efficacy Parameter | Saxagliptin2.5 mg+Glyburide7.5 mgN=248 | Saxagliptin5 mg+Glyburide7.5 mgN=253 | Placebo+Up-Titrated Glyburide N=267 |
|---|---|---|---|
Hemoglobin A1C (%) | N=246 | N=250 | N=264 |
Baseline (mean) | 8.4 | 8.5 | 8.4 |
Change from baseline (adjusted mean†) | −0.5 | −0.6 | +0.1 |
Difference from up-titrated glyburide (adjusted mean†) | −0.6‡ | −0.7‡ | |
95% Confidence Interval | (−0.8, −0.5) | (−0.9, −0.6) | |
Percent of patients achieving A1C < 7% | 22%§(55/246) | 23%§(57/250) | 9% (24/264) |
Fasting Plasma Glucose (mg/dL) | N=247 | N=252 | N=265 |
Baseline (mean) | 170 | 175 | 174 |
Change from baseline (adjusted mean†) | −7 | −10 | +1 |
Difference from up-titrated glyburide (adjusted mean†) | −8§ | −10§ | |
95% Confidence Interval | (−14, −1) | (−17, −4) | |
2-hour Postprandial Glucose (mg/dL) | N=195 | N=202 | N=206 |
Baseline (mean) | 309 | 315 | 323 |
Change from baseline (adjusted mean†) | −31 | −34 | +8 |
Difference from up-titrated glyburide (adjusted mean†) | −38§ | −42§ | |
95% Confidence Interval | (−50, −27) | (−53, −31) | |
*Intent-to-treat population using last observation on study or last observation prior to metformin rescue therapy for patients needing rescue. †Least squares mean adjusted for baseline value. ‡ p-value < 0.0001 compared to placebo + up-titrated glyburide. §p-value < 0.05 compared to placebo + up-titrated glyburide. | |||
Co-administration with Metformin in Treatment-Naive Patients
A total of 1306 treatment-naive patients with type 2 diabetes mellitus participated in this 24-week, randomized, double-blind, active-controlled trial to evaluate the efficacy and safety of saxagliptin co-administered with metformin in patients with inadequate glycemic control (A1C ≥ 8% to ≤ 12%) on diet and exercise alone. Patients were required to be treatment-naive to be enrolled in this study.
Patients who met eligibility criteria were enrolled in a single-blind, 1-week, dietary and exercise placebo lead-in period. Patients were randomized to one of four treatment arms: saxagliptin 5 mg + metformin 500 mg, saxagliptin 10 mg + metformin 500 mg, saxagliptin 10 mg + placebo, or metformin 500 mg + placebo. The 10 mg saxagliptin dosage is not an approved dosage. saxagliptin was dosed once daily. In the 3 treatment groups using metformin, the metformin dose was up-titrated weekly in 500 mg per day increments, as tolerated, to a maximum of 2000 mg per day based on FPG. Patients who failed to meet specific glycemic goals during the studies were treated with pioglitazone rescue as add-on therapy.
Co-administration of saxagliptin 5 mg plus metformin provided significant improvements in A1C, FPG, and PPG compared with placebo plus metformin (Table 8).
Table 8: Glycemic Parameters at Week 24 in a Placebo-Controlled Trial of Saxagliptin Co-administration with Metformin in Treatment-Naive Patients*
| Efficacy Parameter | Saxagliptin 5 mg+ Metformin N=320 | Placebo+ Metformin N=328 |
|---|---|---|
Hemoglobin A1C (%) | N=306 | N=313 |
Baseline (mean) | 9.4 | 9.4 |
Change from baseline (adjusted mean†) | −2.5 | −2.0 |
Difference from placebo + metformin (adjusted mean†) | −0.5‡ | |
95% Confidence Interval | (−0.7, −0.4) | |
Percent of patients achieving A1C < 7% | 60%§(185/307) | 41% (129/314) |
Fasting Plasma Glucose (mg/dL) | N=315 | N=320 |
Baseline (mean) | 199 | 199 |
Change from baseline (adjusted mean†) | −60 | −47 |
Difference from placebo + metformin (adjusted mean†) | −13§ | |
95% Confidence Interval | (−19, −6) | |
2-hour Postprandial Glucose (mg/dL) | N=146 | N=141 |
Baseline (mean) | 340 | 355 |
Change from baseline (adjusted mean†) | −138 | −97 |
Difference from placebo + metformin (adjusted mean†) | −41§ | |
95% Confidence Interval | (−57, −25) | |
*Intent-to-treat population using last observation on study or last observation prior to pioglitazone rescue therapy for patients needing rescue. †Least squares mean adjusted for baseline value. ‡p-value < 0.0001 compared to placebo + metformin. §p-value < 0.05 compared to placebo + metformin. | ||
Add-On Combination Therapy with Metformin versus Glipizide Add-On Combination Therapy with Metformin
In this 52-week, active-controlled trial, a total of 858 patients with type 2 diabetes and inadequate glycemic control (A1C > 6.5% and ≤ 10%) on metformin alone were randomized to double-blind add-on therapy with saxagliptin or glipizide. Patients were required to be on a stable dose of metformin (at least 1500 mg daily) for at least 8 weeks prior to enrollment.
Patients who met eligibility criteria were enrolled in a single-blind, 2-week, dietary and exercise placebo lead-in period during which patients received metformin (1,500 mg to 3,000 mg based on their pre-study dose). Following the lead-in period, eligible patients were randomized to 5 mg of saxagliptin or 5 mg of glipizide in addition to their current dose of open-label metformin. Patients in the glipizide plus metformin group underwent blinded titration of the glipizide dose during the first 18 weeks of the trial up to a maximum glipizide dose of 20 mg per day. Titration was based on a goal FPG ≤ 110 mg/dL or the highest tolerable glipizide dose. Fifty percent (50%) of the glipizide-treated patients were titrated to the 20-mg daily dose; 21% of the glipizide-treated patients had a final daily glipizide dose of 5 mg or less. The mean final daily dose of glipizide was 15 mg.
After 52 weeks of treatment, saxagliptin and glipizide resulted in similar mean reductions from baseline in A1C when added to metformin therapy (Table 9). This conclusion may be limited to patients with baseline A1C comparable to those in the trial (91% of patients had baseline A1C < 9%).
From a baseline mean body weight of 89 kg, there was a statistically significant mean reduction of 1.1 kg in patients treated with saxagliptin compared to a mean weight gain of 1.1 kg in patients treated with glipizide (p < 0.0001).
Table 9: Glycemic Parameters at Week 52 in an Active-Controlled Trial of Saxagliptin versus Glipizide in Combination with Metformin*
Efficacy Parameter | Saxagliptin 5 mg + Metformin N=428 | Titrated Glipizide + Metformin N=430 |
Hemoglobin A1C (%) | N=423 | N=423 |
Baseline (mean) | 7.7 | 7.6 |
Change from baseline (adjusted mean†) | −0.6 | −0.7 |
Difference from glipizide + metformin (adjusted mean†) | 0.1 | |
95% Confidence Interval | (−0.02, 0.2)‡ | |
Fasting Plasma Glucose (mg/dL) | N=420 | N=420 |
Baseline (mean) | 162 | 161 |
Change from baseline (adjusted mean†) | −9 | −16 |
Difference from glipizide + metformin (adjusted mean†) | 6 | |
95% Confidence Interval | (2, 11)§ | |
*Intent-to-treat population using last observation on study. †Least squares mean adjusted for baseline value. ‡Saxagliptin + metformin is considered non-inferior to glipizide + metformin because the upper limit of this confidence interval is less than the prespecified non-inferiority margin of 0.35%. §Significance not tested. | ||
Add-On Combination Therapy with Insulin (with or without metformin)
A total of 455 patients with type 2 diabetes participated in this 24-week, randomized, double-blind, placebo-controlled trial to evaluate the efficacy and safety of saxagliptin in combination with insulin in patients with inadequate glycemic control (A1C ≥ 7.5% and ≤ 11%) on insulin alone (N=141) or on insulin in combination with a stable dose of metformin (N=314). Patients were required to be on a stable dose of insulin (≥ 30 units to ≤ 150 units daily) with ≤ 20% variation in total daily dose for ≥ 8 weeks prior to screening. Patients entered the trial on intermediate- or long-acting (basal) insulin or premixed insulin. Patients using short-acting insulins were excluded unless the short-acting insulin was administered as part of a premixed insulin.
Patients who met eligibility criteria were enrolled in a single-blind, four-week, dietary and exercise placebo lead-in period during which patients received insulin (and metformin if applicable) at their pretrial dose(s). Following the lead-in period, eligible patients were randomized to add-on therapy with either saxagliptin 5 mg or placebo. Doses of the antidiabetic therapies were to remain stable but patients were rescued and allowed to adjust the insulin regimen if specific glycemic goals were not met or if the investigator learned that the patient had self-increased the insulin dose by > 20%. Data after rescue were excluded from the primary efficacy analyses.
Add-on therapy with saxagliptin 5 mg provided significant improvements from baseline to Week 24 in A1C and PPG compared with add-on placebo (Table 10). Similar mean reductions in A1C versus placebo were observed for patients using saxagliptin 5 mg add-on to insulin alone and saxagliptin 5 mg add-on to insulin in combination with metformin (−0.4% and −0.4%, respectively). The percentage of patients who discontinued for lack of glycemic control or who were rescued was 23% in the saxagliptin group and 32% in the placebo group.
The mean daily insulin dose at baseline was 53 units in patients treated with saxagliptin 5 mg and 55 units in patients treated with placebo. The mean change from baseline in daily dose of insulin was 2 units for the saxagliptin 5 mg group and 5 units for the placebo group.
Table 10: Glycemic Parameters at Week 24 in a Placebo-Controlled Trial of Saxagliptin as Add-On Combination Therapy with Insulin*
Efficacy Parameter | Saxagliptin 5 mg + Insulin (+/− Metformin) N=304 | Placebo + Insulin (+/− Metformin) N=151 |
Hemoglobin A1C (%) | N=300 | N=149 |
Baseline (mean) | 8.7 | 8.7 |
Change from baseline (adjusted mean†) | −0.7 | −0.3 |
Difference from placebo (adjusted mean†) | −0.4‡ | |
95% Confidence Interval | (−0.6, −0.2) | |
2-hour Postprandial Glucose (mg/dL) | N=262 | N=129 |
Baseline (mean) | 251 | 255 |
Change from baseline (adjusted mean†) | −27 | −4 |
Difference from placebo (adjusted mean†) | −23§ | |
95% Confidence Interval | (−37, −9) | |
*Intent-to-treat population using last observation on study or last observation prior to insulin rescue therapy for patients needing rescue. †Least squares mean adjusted for baseline value and metformin use at baseline. ‡p-value < 0.0001 compared to placebo + insulin. §p-value < 0.05 compared to placebo + insulin. | ||
The change in fasting plasma glucose from baseline to Week 24 was also tested, but was not statistically significant. The percent of patients achieving an A1C < 7% was 17% (52/300) with saxagliptin in combination with insulin compared to 7% (10/149) with placebo. Significance was not tested.
Add-On Combination Therapy with Metformin plus Sulfonylurea
A total of 257 patients with type 2 diabetes participated in this 24-week, randomized, double-blind, placebo-controlled trial to evaluate the efficacy and safety of saxagliptin in combination with metformin plus a sulfonylurea in patients with inadequate glycemic control (A1C ≥ 7% and ≤ 10%). Patients were to be on a stable combined dose of metformin extended-release or immediate-release (at maximum tolerated dose, with minimum dose for enrollment being 1,500 mg) and a sulfonylurea (at maximum tolerated dose, with minimum dose for enrollment being ≥ 50% of the maximum recommended dose) for ≥ 8 weeks prior to enrollment.
Patients who met eligibility criteria were entered in a 2-week enrollment period to allow assessment of inclusion/exclusion criteria. Following the 2-week enrollment period, eligible patients were randomized to either double-blind saxagliptin (5 mg once daily) or double-blind matching placebo for 24 weeks. During the 24-week double-blind treatment period, patients were to receive metformin and a sulfonylurea at the same constant dose ascertained during enrollment. Sulfonylurea dose could be down titrated once in the case of a major hypoglycemic event or recurring minor hypoglycemic events. In the absence of hypoglycemia, titration (up or down) of study medication during the treatment period was prohibited.
Saxagliptin in combination with metformin plus a sulfonylurea provided significant improvements in A1C and PPG compared with placebo in combination with metformin plus a sulfonylurea (Table 11). The percentage of patients who discontinued for lack of glycemic control was 6% in the saxagliptin group and 5% in the placebo group.
Table 11: Glycemic Parameters at Week 24 in a Placebo-Controlled Trial of Saxagliptin as Add-On Combination Therapy with Metformin plus Sulfonylurea*
Efficacy Parameter | Saxagliptin 5 mg + Metformin plus Sulfonylurea N=129 | Placebo + Metformin plus Sulfonylurea N=128 |
Hemoglobin A1C (%) | N=127 | N=127 |
Baseline (mean) | 8.4 | 8.2 |
Change from baseline (adjusted mean†) | −0.7 | −0.1 |
Difference from placebo (adjusted mean†) | −0.7‡ | |
95% Confidence Interval | (−0.9, −0.5) | |
2-hour Postprandial Glucose (mg/dL) | N=115 | N=113 |
Baseline (mean) | 268 | 262 |
Change from baseline (adjusted mean†) | −12 | 5 |
Difference from placebo (adjusted mean†) | −17§ | |
95% Confidence Interval | (−32, −2) | |
*Intent-to-treat population using last observation prior to discontinuation. †Least squares mean adjusted for baseline value. ‡p-value < 0.0001 compared to placebo + metformin plus sulfonylurea. §p-value < 0.05 compared to placebo + metformin plus sulfonylurea. | ||
The change in fasting plasma glucose from baseline to Week 24 was also tested, but was not statistically significant. The percent of patients achieving an A1C < 7% was 31% (39/127) with saxagliptin in combination with metformin plus a sulfonylurea compared to 9% (12/127) with placebo. Significance was not tested.
Add-on Combination Therapy with Metformin plus an SGLT2 Inhibitor
A total of 315 patients with type 2 diabetes participated in this 24-week randomized, double-blind, placebo-controlled trial to evaluate the efficacy and safety of saxagliptin added to dapagliflozin (an SGLT2 inhibitor) and metformin in patients with a baseline of HbA1c ≥ 7% to ≤ 10.5%. The mean age of these subjects was 54.6 years, 1.6% were 75 years or older and 52.7% were female. The population was 87.9% White, 6.3% Black or African American, 4.1% Asian, and 1.6% Other race. At baseline the population had diabetes for an average of 7.7 years and a mean HbA1c of 7.9%. The mean eGFR at baseline was 93.4 mL/min/1.73 m2. Patients were required to be on a stable dose of metformin (≥ 1,500 mg per day) for at least 8 weeks prior to enrollment. Eligible subjects who completed the screening period entered the lead in treatment period, which included open-label metformin and 10 mg dapagliflozin treatment. Following the lead-in period, eligible patients were randomized to saxagliptin 5 mg (N=153) or placebo (N =162).
The group treated with add-on saxagliptin had statistically significant greater reductions in HbA1c from baseline versus the group treated with placebo (see Table 12).
Table 12: HbA1c Change from Baseline at Week 24 in a Placebo-Controlled Trial of Saxagliptin as Add-on to Dapagliflozin and Metformin§
Saxagliptin 5 mg (N=153)† | Placebo (N=162)† | |
In combination with Dapagliflozin and Metformin | ||
Hemoglobin A1C (%)* | ||
Baseline (mean) | 8.0 | 7.9 |
Change from baseline (adjusted mean‡) 95% Confidence Interval | −0.5 (−0.6, −0.4) | −0.2 (−0.3, −0.1) |
Difference from placebo (adjusted mean) 95% Confidence Interval | −0.4¶ (−0.5, −0.2) | |
*Analysis of Covariance including all post-baseline data regardless of rescue or treatment discontinuation. Model estimates calculated using multiple imputation to model washout of the treatment effect using placebo data for all subjects having missing week 24 data. †Number of randomized and treated patients. ‡Least squares mean adjusted for baseline value. §There were 6.5% (n=10) of randomized subjects in the saxagliptin arm and 3.1% (n=5) in the placebo arm for whom change from baseline HbA1c data was missing at week 24. Of the subjects who discontinued study medication early, 9.1% (1 of 11) in the saxagliptin arm and 16.7% (1 of 6) in the placebo arm had HbA1c measured at week 24. ¶p-value < 0.0001. | ||
The known proportion of patients achieving HbA1c < 7% at Week 24 was 35.3% in the saxagliptin treated group compared to 23.1% in the placebo treated group.
14.2 Renal Impairment
A total of 170 patients participated in a 12-week, randomized, double-blind, placebo-controlled trial conducted to evaluate the efficacy and safety of saxagliptin 2.5 mg once daily compared with placebo in patients with type 2 diabetes and moderate (n=90) or severe (n=41) renal impairment or ESRD (n=39). In this trial, 98% of the patients were using background antidiabetic medications (75% were using insulin and 31% were using oral antidiabetic medications, mostly sulfonylureas).
After 12 weeks of treatment, saxagliptin 2.5 mg provided significant improvement in A1C compared to placebo (Table 13). In the subgroup of patients with ESRD, saxagliptin and placebo resulted in comparable reductions in A1C from baseline to Week 12. This finding is inconclusive because the trial was not adequately powered to show efficacy within specific subgroups of renal impairment.
After 12 weeks of treatment, the mean change in FPG was −12 mg/dL with saxagliptin 2.5 mg and −13 mg/dL with placebo. Compared to placebo, the mean change in FPG with saxagliptin was −12 mg/dL in the subgroup of patients with moderate renal impairment, −4 mg/dL in the subgroup of patients with severe renal impairment, and +44 mg/dL in the subgroup of patients with ESRD. These findings are inconclusive because the trial was not adequately powered to show efficacy within specific subgroups of renal impairment.
Table 13: A1C at Week 12 in a Placebo-Controlled Trial of Saxagliptin in Patients with Renal Impairment*
Efficacy Parameter | Saxagliptin 2.5 mg N=85 | Placebo N=85 |
Hemoglobin A1C (%) | N=81 | N=83 |
Baseline (mean) | 8.4 | 8.1 |
Change from baseline (adjusted mean†) | −0.9 | −0.4 |
Difference from placebo (adjusted mean†) 95% Confidence Interval | −0.4‡ (−0.7, −0.1) | |
* Intent-to-treat population using last observation on study. † Least squares mean adjusted for baseline value. ‡ p-value < 0.01 compared to placebo. | ||
14.3 Cardiovascular Safety Trial
The cardiovascular risk of saxagliptin was evaluated in SAVOR, a multicenter, multinational, randomized, double-blind study comparing saxagliptin (N=8,280) to placebo (N=8,212), both administered in combination with standard of care, in adult patients with type 2 diabetes at high risk for atherosclerotic cardiovascular disease. Of the randomized study subjects, 97.5% completed the trial, and the median duration of follow-up was approximately 2 years. The trial was event-driven, and patients were followed until a sufficient number of events were accrued.
Subjects were at least 40 years of age, had A1C ≥ 6.5%, and multiple risk factors (21% of randomized subjects) for cardiovascular disease (age ≥ 55 years for men and ≥ 60 years for women plus at least one additional risk factor of dyslipidemia, hypertension, or current cigarette smoking) or established (79% of the randomized subjects) cardiovascular disease defined as a history of ischemic heart disease, peripheral vascular disease, or ischemic stroke. Overall, the use of diabetes medications was balanced across treatment groups (metformin 69%, insulin 41%, sulfonylureas 40%, and TZDs 6%). The use of cardiovascular disease medications was also balanced (angiotensin-converting enzyme [ACE] inhibitors or angiotensin receptor blockers [ARBs] 79%, statins 78%, aspirin 75%, beta-blockers 62%, and non-aspirin antiplatelet medications 24%).
The majority of subjects were male (67%) and Caucasian (75%) with a mean age of 65 years. Approximately 16% of the population had moderate (estimated glomerular filtration rate [eGFR] ≥ 30 to ≤ 50 mL/min/1.73 m2) to severe (eGFR < 30 mL/min/1.73 m2) renal impairment, and 13% had a prior history of heart failure. Subjects had a median duration of type 2 diabetes mellitus of approximately 10 years, and a mean baseline A1C level of 8.0%. Approximately 5% of subjects were treated with diet and exercise only at baseline. Overall, the use of diabetes medications was balanced across treatment groups (metformin 69%, insulin 41%, sulfonylureas 40%, and TZDs 6%). The use of cardiovascular disease medications was also balanced (ACE inhibitors or ARBs 79%, statins 78%, aspirin 75%, beta-blockers 62%, and non-aspirin antiplatelet medications 24%).
The primary analysis in SAVOR was time to first occurrence of a Major Adverse Cardiac Event (MACE). A major adverse cardiac event in SAVOR was defined as a cardiovascular death or a nonfatal myocardial infarction (MI) or a nonfatal ischemic stroke. The study was designed as a non-inferiority trial with a pre-specified risk margin of 1.3 for the hazard ratio of MACE and was also powered for a superiority comparison if non-inferiority was demonstrated.
The results of SAVOR, including the contribution of each component to the primary composite endpoint, are shown in Table 14. The incidence rate of MACE was similar in both treatment arms: 3.8 MACE per 100 patient-years on placebo vs. 3.8 MACE per 100 patient-years on saxagliptin. The estimated hazard ratio of MACE associated with saxagliptin relative to placebo was 1.00 with a 95.1% confidence interval of (0.89, 1.12). The upper bound of this confidence interval, 1.12, excluded a risk margin larger than 1.3.
Table 14: Major Adverse Cardiovascular Events (MACE) by Treatment Group in the SAVOR Trial
Saxagliptin | Placebo | Hazard Ratio | |||
Number of Subjects (%) | Rate per 100 PY | Number of Subjects (%) | Rate per 100 PY | (95.1% CI) | |
Composite of first event of CV death, non-fatal MI or non-fatal ischemic stroke (MACE) | N=8,280 | Total PY = 16,308.8 | N=8,212 | Total PY = 16,156.0 | |
613 (7.4) | 3.8 | 609 (7.4) | 3.8 | 1.00 (0.89, 1.12) | |
CV death | 245 (3.0) | 1.5 | 234 (2.8) | 1.4 | |
Non-fatal MI | 233 (2.8) | 1.4 | 260 (3.2) | 1.6 | |
Non-fatal ischemic stroke | 135 (1.6) | 0.8 | 115 (1.4) | 0.7 | |
The Kaplan-Meier-based cumulative event probability is presented in Figure 2 for time to first occurrence of the primary MACE composite endpoint by treatment arm. The curves for both saxagliptin and placebo arms are close together throughout the duration of the trial. The estimated cumulative event probability is approximately linear for both arms, indicating that the incidence of MACE for both arms was constant over the trial duration.
Figure 2: Cumulative Percent of Time to First MACE
Vital status was obtained for 99% of subjects in the trial. There were 798 deaths in the SAVOR trial. Numerically more patients (5.1%) died in the saxagliptin group than in the placebo group (4.6%). The risk of deaths from all cause (Table 15) was not statistically different between the treatment groups (HR: 1.11; 95.1% CI: 0.96, 1.27).
Table 15: All-cause mortality by Treatment Group in the SAVOR Study
Saxagliptin | Placebo | Hazard Ratio | |||
Number of Subjects (%) | Rate per 100 PY | Number of Subjects (%) | Rate per 100 PY | (95.1% CI) | |
N=8,280 | PY=16,645.3 | N=8,212 | PY=16,531.5 | ||
All-cause mortality | 420 (5.1) | 2.5 | 378 (4.6) | 2.3 | 1.11 (0.96, 1.27) |
CV death | 269 (3.2) | 1.6 | 260 (3.2) | 1.6 | |
Non-CV death | 151 (1.8) | 0.9 | 118 (1.4) | 0.7 | |
16 How Supplied/Storage And Handling
How Supplied
Saxagliptin tablets, 5 mg, are supplied as brown colored, round shaped, biconvex, film-coated tablets imprinted “60” with black ink on one side and plain on the other side.
They are available as follows:
Bottles of 30: NDC 65162-060-03
Bottles of 90: NDC 65162-060-09
Bottles of 500: NDC 65162-060-50
Saxagliptin tablets, 2.5 mg, are supplied as light yellow to yellow colored, round shaped, biconvex, film-coated tablets imprinted “59” with black ink on one side and plain on the other side.
They are available as follows:
Bottles of 30: NDC 65162-059-03
Bottles of 90: NDC 65162-059-09
Bottles of 500: NDC 65162-059-50
Storage and Handling
Store at 20° to 25°C (68° to 77°F); excursions permitted between 15° to 30°C (59° to 86°F) [see USP Controlled Room Temperature].
17 Patient Counseling Information
Advise the patient to read FDA-approved patient labeling (Medication Guide).
Medication Guide
Healthcare providers should instruct their patients to read the Medication Guide before starting saxagliptin therapy and to reread it each time the prescription is renewed. Patients should be instructed to inform their healthcare provider if they develop any unusual symptom or if any existing symptom persists or worsens.
Patients should be informed of the potential risks and benefits of saxagliptin and of alternative modes of therapy. Patients should also be informed about the importance of adherence to dietary instructions, regular physical activity, periodic blood glucose monitoring and A1C testing, recognition and management of hypoglycemia and hyperglycemia, and assessment of diabetes complications. During periods of stress such as fever, trauma, infection, or surgery, medication requirements may change and patients should be advised to seek medical advice promptly.
Pancreatitis
Patients should be informed that acute pancreatitis has been reported during post-marketing use of saxagliptin. Before initiating saxagliptin, patients should be questioned about other risk factors for pancreatitis, such as a history of pancreatitis, alcoholism, gallstones, or hypertriglyceridemia. Patients should also be informed that persistent severe abdominal pain, sometimes radiating to the back, which may or may not be accompanied by vomiting, is the hallmark symptom of acute pancreatitis. Patients should be instructed to promptly discontinue saxagliptin and contact their healthcare provider if persistent severe abdominal pain occurs [see Warnings and Precautions (5.1)].
Heart Failure
Patients should be informed of the signs and symptoms of heart failure. Before initiating saxagliptin, patients should be asked about a history of heart failure or other risk factors for heart failure including moderate to severe renal impairment. Patients should be instructed to contact their healthcare provider as soon as possible if they experience symptoms of heart failure, including increasing shortness of breath, rapid increase in weight or swelling of the feet [see Warnings and Precautions (5.2)].
Hypersensitivity Reactions
Patients should be informed that serious allergic (hypersensitivity) reactions, such as angioedema, anaphylaxis, and exfoliative skin conditions, have been reported during post-marketing use of saxagliptin. If symptoms of these allergic reactions (such as rash, skin flaking or peeling, urticaria, swelling of the skin, or swelling of the face, lips, tongue, and throat that may cause difficulty in breathing or swallowing) occur, patients must stop taking saxagliptin and seek medical advice promptly.
Severe and Disabling Arthralgia
Inform patients that severe and disabling joint pain may occur with this class of drugs. The time to onset of symptoms can range from one day to years. Instruct patients to seek medical advice if severe joint pain occurs [see Warnings and Precautions (5.5)].
Bullous Pemphigoid
Inform patients that bullous pemphigoid may occur with this class of drugs. Instruct patients to seek medical advice if blisters or erosions occur [see Warnings and Precautions (5.6)].
Missed Dose
Patients should be informed that if they miss a dose of saxagliptin they should take the next dose as prescribed, unless otherwise instructed by their healthcare provider. Patients should be instructed not to take an extra dose the next day.
Administration Instructions
Patients should be informed that saxagliptin tablets must not be split or cut.
Laboratory Tests
Patients should be informed that response to all diabetic therapies should be monitored by periodic measurements of blood glucose and A1C, with a goal of decreasing these levels toward the normal range. A1C is especially useful for evaluating long-term glycemic control. Patients should be informed of the potential need to adjust their dose based on changes in renal function tests over time.
Manufactured by:
Amneal Pharmaceuticals Pvt. Ltd.
Ahmedabad 382220, INDIA
Distributed by:
Amneal Pharmaceuticals LLC
Bridgewater, NJ 08807
Rev. 04-2022-00
Dispense with Medication Guide available at: documents.amneal.com/mg/saxagliptin.pdf
Medication Guide
| Saxagliptin (sax” a glip’ tin) tablets, for oral use | |||
What is the most important information I should know about saxagliptin tablets? Serious side effects can happen to people taking saxagliptin tablets, including: 1) Inflammation of the pancreas (pancreatitis) which may be severe and lead to death. Certain medical problems make you more likely to get pancreatitis. Before you start taking saxagliptin tablets: Tell your healthcare provider if you have ever had | |||
|
| ||
|
| ||
It is not known if having these medical problems will make you more likely to get pancreatitis with saxagliptin tablets. Stop taking saxagliptin tablets and contact your healthcare provider right away if you have pain in your stomach area (abdomen) that is severe and will not go away. The pain may be felt going from your abdomen through to your back. The pain may happen with or without vomiting. These may be symptoms of pancreatitis. 2) Heart failure. Heart failure means your heart does not pump blood well enough. Before you start taking saxagliptin tablets: Tell your healthcare provider if you | |||
Contact your healthcare provider right away if you have any of the following symptoms: | |||
|
| ||
|
| ||
| These may be symptoms of heart failure. | |||
What is saxagliptin tablets?
It is not known if saxagliptin tablets is safe and effective in children younger than 18 years old. | |||
Who should not take saxagliptin tablets? Do not take saxagliptin tablets if you:
Symptoms of a serious allergic reaction to saxagliptin tablets may include: | |||
|
| ||
|
| ||
| If you have these symptoms, stop taking saxagliptin tablets and contact your healthcare provider right away. | |||
Before taking saxagliptin tablets, tell your healthcare provider about all of your medical conditions, including if you:
Tell your healthcare provider about all the medicines you take, including prescription and over-the-counter medicines, vitamins, and herbal supplements. Know the medicines you take. Keep a list of your medicines and show it to your healthcare provider and pharmacist when you get a new medicine. Saxagliptin tablets may affect the way other medicines work, and other medicines may affect how saxagliptin tablets works. Contact your healthcare provider if you will be starting or stopping certain other types of medications, such as antibiotics, or medicines that treat fungus or HIV/AIDS, because your dose of saxagliptin tablets might need to be changed. | |||
How should I take saxagliptin tablets?
| |||
What are the possible side effects of saxagliptin tablets? Saxagliptin tablets can cause serious side effects, including:
If you have these symptoms, stop taking saxagliptin tablets and contact your healthcare provider right away. Common side effects of saxagliptin tablets include: Low blood sugar (hypoglycemia) may become worse in people who also take another medication to treat diabetes, such as sulfonylureas or insulin. Tell your healthcare provider if you take other diabetes medicines. If you have symptoms of low blood sugar, you should check your blood sugar and treat if low, then call your healthcare provider. Symptoms of low blood sugar include: | |||
|
|
|
|
|
|
| |
Swelling or fluid retention in your hands, feet, or ankles (peripheral edema) may become worse in people who also take a thiazolidinedione to treat diabetes. If you do not know whether you are already on this type of medication, ask your healthcare provider. These are not all of the possible side effects of saxagliptin tablets. Call your doctor for medical advice about side effects. You may report side effects to the FDA at 1-800-FDA-1088. | |||
How should I store saxagliptin tablets? Store saxagliptin tablets between 68° to 77°F (20° to 25°C). Keep saxagliptin tablets and all medicines out of the reach of children. | |||
General information about the use of saxagliptin tablets Medicines are sometimes prescribed for conditions that are not mentioned in Medication Guides. Do not use saxagliptin tablets for a condition for which it was not prescribed. Do not give saxagliptin tablets to other people, even if they have the same symptoms you have. It may harm them. You can ask your healthcare provider for additional information about saxagliptin tablets that is written for health professionals. | |||
What are the ingredients of saxagliptin tablets? Active ingredient: saxagliptin Inactive ingredients: croscarmellose sodium, hydrochloric acid, magnesium stearate, mannitol, microcrystalline cellulose and povidone. In addition, the film coating contains the following inactive ingredients: hypromellose, iron oxide red, iron oxide yellow, polyethylene glycol, talc and titanium dioxide. The imprinting ink contains the following inactive ingredients: ammonium hydroxide, iron oxide black, isopropyl alcohol, propylene glycol and shellac. | |||
What is type 2 diabetes? Type 2 diabetes is a condition in which your body does not make enough insulin, and the insulin that your body produces does not work as well as it should. Your body can also make too much sugar. When this happens, sugar (glucose) builds up in the blood. This can lead to serious medical problems. The main goal of treating diabetes is to lower your blood sugar so that it is as close to normal as possible. High blood sugar can be lowered by diet and exercise, and by certain medicines when necessary. Amneal Pharmaceuticals Pvt. Ltd. Ahmedabad 382220, INDIA Amneal Pharmaceuticals LLC Bridgewater, NJ 08807 Rev. 04-2022-00 | |||
This Medication Guide has been approved by the U.S. Food and Drug Administration.
Dispense with Medication Guide available at: documents.amneal.com/mg/saxagliptin.pdf
Package Label.Principal Display Panel
NDC 65162-060-03
Saxagliptin Tablets
5 mg
Rx only
30 Tablets
Amneal Pharmaceuticals LLC
NDC 65162-059-03
Saxagliptin Tablets
2.5 mg
Rx only
30 Tablets
Amneal Pharmaceuticals LLC
* Please review the disclaimer below.


