FDA Label for Dextrose
View Indications, Usage & Precautions
- OTHER
- DESCRIPTION:
- CLINICAL PHARMACOLOGY:
- INDICATIONS AND USAGE:
- CONTRAINDICATIONS:
- WARNINGS:
- PRECAUTIONS:
- CARCINOGENESIS, MUTAGENESIS, IMPAIRMENT OF FERTILITY
- NURSING MOTHERS
- PEDIATRIC USE
- GERIATRIC USE
- ADVERSE REACTIONS:
- OVERDOSAGE:
- DOSAGE AND ADMINISTRATION:
- DRUG INTERACTIONS
- INSTRUCTIONS FOR USE:
- HOW SUPPLIED:
- PACKAGE LABEL.PRINCIPAL DISPLAY PANEL
Dextrose Product Label
The following document was submitted to the FDA by the labeler of this product Fresenius Kabi Usa, Llc. The document includes published materials associated whith this product with the essential scientific information about this product as well as other prescribing information. Product labels may durg indications and usage, generic names, contraindications, active ingredients, strength dosage, routes of administration, appearance, warnings, inactive ingredients, etc.
Other
Rx only
Pregnancy Category C. Animal reproduction studies have not been conducted with dextrose. It is also not known whether dextrose can cause fetal harm when administered to a pregnant woman or can affect reproduction capacity. Dextrose should be given to a pregnant woman only if clearly needed.
Description:
5% Dextrose Injection, USP solution is sterile and nonpyrogenic. It is a parenteral solution containing dextrose in water for injection intended for intravenous administration.
Each 100 mL of 5% Dextrose Injection, USP, contains dextrose monohydrate, 5 g in water for injection. The caloric value is 170 kcal/L. The osmolarity is 252 mOsmol/L (calc.), which is slightly hypotonic.
The solution pH is 4.3 (3.2 to 6.5).
This solution contains no bacteriostat, antimicrobial agent or added buffer and is intended only as a single-dose injection. When smaller doses are required the unused portion should be discarded.
5% Dextrose Injection, USP is a parenteral fluid and nutrient replenisher.
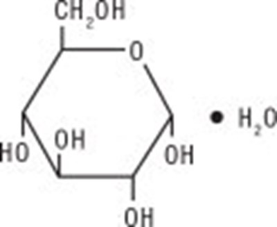
Dextrose, USP is chemically designated D-glucose monohydrate (C6H12O6 • H2O), a hexose sugar freely soluble in water. It has the following structural formula:
Water for Injection, USP is chemically designated H2O.
The flexible container is fabricated from a specially formulated non-plasticized film containing polypropylene and thermoplastic elastomers (freeflex® bag). The amount of water that can permeate from the container into the overwrap is insufficient to affect the solution significantly. Solutions in contact with the flexible container can leach out certain of the container's chemical components in very small amounts within the expiration period. The suitability of the container material has been confirmed by tests in animals according to USP biological tests for plastic containers.
Clinical Pharmacology:
When administered intravenously, these solutions provide a source of water and carbohydrate.
Isotonic and hypertonic concentrations of dextrose are suitable for parenteral maintenance of water requirements when salt is not needed or should be avoided.
Solutions containing carbohydrate in the form of dextrose restore blood glucose levels and provide calories. Carbohydrate in the form of dextrose may aid in minimizing liver glycogen depletion and exerts a protein-sparing action. Dextrose injected parenterally undergoes oxidation to carbon dioxide and water.
Water is an essential constituent of all body tissues and accounts for approximately 70% of total body weight. Average normal adult daily requirements range from two to three liters (1 to 1.5 liters each for insensible water loss by perspiration and urine production).
Water balance is maintained by various regulatory mechanisms. Water distribution depends primarily on the concentration of electrolytes in the body compartments and sodium (Na+) plays a major role in maintaining physiologic equilibrium.
Indications And Usage:
Intravenous solutions containing dextrose are indicated for parenteral replenishment of fluid and minimal carbohydrate calories as required by the clinical condition of the patient.
Contraindications:
5% Dextrose Injection, USP without electrolytes should not be administered simultaneously with blood through the same infusion set because of the possibility that pseudoagglutination of red cells may occur.
Warnings:
Excessive administration of potassium-free solutions may result in significant hypokalemia.
The intravenous administration of these solutions can cause fluid and/or solute overloading resulting in dilution of serum electrolyte concentrations, overhydration, congested states or pulmonary edema.
The risk of dilutional states is inversely proportional to the electrolyte concentrations of administered parenteral solutions. The risk of solute overload causing congested states with peripheral and pulmonary edema is directly proportional to the electrolyte concentrations of such solutions.
Precautions:
Clinical evaluation and periodic laboratory determinations are necessary to monitor changes in fluid balance, electrolyte concentrations and acid-base balance during prolonged parenteral therapy or whenever the condition of the patient warrants such evaluation.
Solutions containing dextrose should be used with caution in patients with known subclinical or overt diabetes mellitus.
Do not administer unless solution is clear and container is undamaged. Discard unused portion.
Carcinogenesis, Mutagenesis, Impairment Of Fertility
Studies with 5% Dextrose Injection, USP have not been performed to evaluate carcinogenic potential, mutagenic potential or effects on fertility.
Nursing Mothers
Caution should be exercised when 5% Dextrose Injection, USP is administered to a nursing mother.
Pediatric Use
The safety and effectiveness in the pediatric population are based on the similarity of the clinical conditions of the pediatric and adult populations. In neonates or very small infants the volume of fluid may affect fluid and electrolyte balance.
Frequent monitoring of serum glucose concentrations is required when dextrose is prescribed to pediatric patients, particularly neonates and low birth weight infants.
In very low birth weight infants, excessive or rapid administration of dextrose injection may result in increased serum osmolarity and possible intracerebral hemorrhage.
Geriatric Use
An evaluation of current literature revealed no clinical experience identifying differences in response between elderly and younger patients. In general, dose selection for an elderly patient should be cautious, usually starting at the low end of the dosing range, reflecting the greater frequency of decreased hepatic, renal, or cardiac function, and of concomitant disease or other drug therapy.
Adverse Reactions:
Reactions which may occur because of the solution or the technique of administration include febrile response, infection at the site of injection, venous thrombosis or phlebitis extending from the site of injection, extravasation and hypervolemia.
If an adverse reaction does occur, discontinue the infusion, evaluate the patient, institute appropriate therapeutic countermeasures and save the remainder of the fluid for examination if deemed necessary.
To report SUSPECTED ADVERSE REACTIONS, contact Fresenius Kabi USA, LLC at 1-800-551-7176 or FDA at 1-800-FDA-1088 or www.fda.gov/medwatch.
Overdosage:
In the event of overhydration or solute overload, re-evaluate the patient and institute appropriate corrective measures (see WARNINGS, PRECAUTIONS, and ADVERSE REACTIONS).
Dosage And Administration:
The dose is dependent upon the age, weight and clinical condition of the patient.
As reported in the literature, the dosage and constant infusion rate of intravenous dextrose must be selected with caution in pediatric patients, particularly neonates and low birth weight infants, because of the increased risk of hyperglycemia/hypoglycemia.
Drug Interactions
Additives may be incompatible. Consult with pharmacist, if available. When introducing additives, use aseptic technique, mix thoroughly and do not store.
Parenteral drug products should be inspected visually for particulate matter and discoloration prior to administration, whenever solution and container permit (see PRECAUTIONS).
Instructions For Use:
Check flexible container solution composition, lot number, and expiry date.
Do not remove solution container from its overwrap until immediately before use. Use sterile equipment and aseptic technique.
To Open
1. Turn solution container over so that the text is face down. Using the pre-cut corner tabs, peel open the overwrap and remove solution container.2. Check the solution container for leaks by squeezing firmly. If leaks are found, or if the seal is not intact, discard the solution.3. Do not use if the solution is cloudy or a precipitate is present.1. Identify WHITE Additive Port with arrow pointing toward container.2. Immediately before injecting additives, break off WHITE Additive Port Cap with the arrow pointing toward container.3. Hold base of WHITE Additive Port horizontally.4. Insert needle horizontally through the center of WHITE Additive Port's septum and inject additives.5. Mix container contents thoroughly.1. Immediately before inserting the infusion set, break off BLUE Infusion Port Cap with the arrow pointing away from container.2. Use a non-vented infusion set or close the air-inlet on a vented set.3. Close the roller clamp of the infusion set.4. Hold the base of BLUE Infusion Port.5. Insert spike through BLUE Infusion Port by rotating wrist slightly until the spike is inserted.
To Add Medication
Preparation for Administration
NOTE: See full directions accompanying administration set.
WARNING: Do not use flexible container in series connections.
How Supplied:
5% Dextrose Injection, USP is supplied in single dose flexible plastic containers as follows:
| Product Code | Unit of Sale | Strength | Each |
| 416460 | NDC 65219-456-60 Package of 60 | 2.5 grams per 50 mL (50 mg per mL) | NDC 65219-456-05 50 mL fill in a 100 mL freeflex® bag |
| 416450 | NDC 65219-464-50 Package of 50 | 5 grams per 100 mL (50 mg per mL) | NDC 65219-464-05 One 100 mL freeflex® bag |
| 416430 | NDC 65219-458-30 Package of 30 | 12.5 grams per 250 mL (50 mg per mL) | NDC 65219-458-05 One 250 mL freeflex® bag |
| 416420 | NDC 65219-460-20 Package of 20 | 25 grams per 500 mL (50 mg per mL) | NDC 65219-460-05 One 500 mL freeflex® bag |
| 416410 | NDC 65219-462-10 Package of 10 | 50 grams per 1,000 mL (50 mg per mL) | NDC 65219-462-05 One 1,000 mL freeflex® bag |
Store at 20° to 25°C (68° to 77°F) [see USP Controlled Room Temperature].
Exposure of pharmaceutical products to heat should be minimized. Avoid excessive heat. Protect from freezing.
The container closure is not made with natural rubber latex. Non-PVC, Non-DEHP, Sterile.
Lake Zurich, IL 60047
Made in USA
www.fresenius-kabi.com/us
451784
Revised: March 2023
Package Label.Principal Display Panel
PACKAGE LABEL - PRINCIPAL DISPLAY – 5% Dextrose Injection, USP 50 mL Bag Label
freeflex NDC 65219-456-05 50 mL
5% Dextrose Injection, USP
2.5 grams per 50 mL
(50 mg per mL)
For intravenous use. Rx only
PACKAGE LABEL - PRINCIPAL DISPLAY – 5% Dextrose Injection, USP 50 mL Shipper Label
NDC 65219-456-60 416460
5% Dextrose Injection, USP
50 mL x 60
Store at 20° to 25°C (68° to
77°F) [see USP Controlled
Room Temperature]. Protect
from freezing.
PACKAGE LABEL - PRINCIPAL DISPLAY – 5% Dextrose Injection, USP 100 mL Bag Label
freeflex NDC 65219-464-05 100 mL
5% Dextrose Injection, USP
5 grams per 100 mL
(50 mg per mL)
For intravenous use. Rx only
PACKAGE LABEL - PRINCIPAL DISPLAY – 5% Dextrose Injection, USP 100 mL Shipper Label
NDC 65219-464-50 416450
5% Dextrose Injection, USP
100 mL x 50
Store at 20° to 25°C (68° to
77°F) [see USP Controlled
Room Temperature]. Protect
from freezing.
PACKAGE LABEL - PRINCIPAL DISPLAY – 5% Dextrose Injection, USP 250 mL Bag Label
freeflex NDC 65219-458-05 250 mL
5% Dextrose Injection, USP
12.5 grams per 250 mL
(50 mg per mL)
For intravenous use. Rx only
PACKAGE LABEL - PRINCIPAL DISPLAY – 5% Dextrose Injection, USP 250 mL Shipper Label
NDC 65219-458-30 416430
5% Dextrose Injection, USP
250 mL x 30
Store at 20° to 25°C (68° to
77°F) [see USP Controlled
Room Temperature]. Protect
from freezing.
PACKAGE LABEL - PRINCIPAL DISPLAY – 5% Dextrose Injection, USP 500 mL Bag Label
freeflex NDC 65219-460-05 500 mL
5% Dextrose Injection, USP
25 grams per 500 mL
(50 mg per mL)
For intravenous use. Rx only
PACKAGE LABEL - PRINCIPAL DISPLAY – 5% Dextrose Injection, USP 500 mL Shipper Label
NDC 65219-460-20 416420
5% Dextrose Injection, USP
500 mL x 20
Store at 20° to 25°C (68° to
77°F) [see USP Controlled
Room Temperature]. Protect
from freezing.
PACKAGE LABEL - PRINCIPAL DISPLAY – 5% Dextrose Injection, USP 1000 mL Bag Label
freeflex NDC 65219-462-05 1,000 mL
5% Dextrose Injection, USP
50 grams per 1000 mL
(50 mg per mL)
For intravenous use. Rx only
PACKAGE LABEL - PRINCIPAL DISPLAY – 5% Dextrose Injection, USP 1000 mL Shipper Label
NDC 65219-462-10 416410
5% Dextrose Injection, USP
1,000 mL x 10
Store at 20° to 25°C (68° to
77°F) [see USP Controlled
Room Temperature]. Protect
from freezing.
* Please review the disclaimer below.



