FDA Label for Ephedrine Sulfate
View Indications, Usage & Precautions
- 1 INDICATIONS AND USAGE
- 2.1 GENERAL DOSAGE AND ADMINISTRATION INSTRUCTIONS
- 2.2 DOSING FOR THE TREATMENT OF CLINICALLY IMPORTANT HYPOTENSION IN THE SETTING OF ANESTHESIA
- 2.3 INSTRUCTIONS FOR USE OF SINGLE-DOSE PREFILLED SYRINGE
- 3 DOSAGE FORMS AND STRENGTHS
- 4 CONTRAINDICATIONS
- 5.1 PRESSOR EFFECT WITH CONCOMITANT OXYTOCIC DRUGS
- 5.2 TOLERANCE AND TACHYPHYLAXIS
- 5.3 RISK OF HYPERTENSION WHEN USED PROPHYLACTICALLY
- 6 ADVERSE REACTIONS
- 7 DRUG INTERACTIONS
- OTHER
- 8.4 PEDIATRIC USE
- 8.5 GERIATRIC USE
- 8.6 RENAL IMPAIRMENT
- 10 OVERDOSAGE
- 11 DESCRIPTION
- 12.1 MECHANISM OF ACTION
- 12.2 PHARMACODYNAMICS
- 12.3 PHARMACOKINETICS
- 14 CLINICAL STUDIES
- 16 HOW SUPPLIED/STORAGE AND HANDLING
- PACKAGE LABEL.PRINCIPAL DISPLAY PANEL
Ephedrine Sulfate Product Label
The following document was submitted to the FDA by the labeler of this product Fresenius Kabi Usa, Llc. The document includes published materials associated whith this product with the essential scientific information about this product as well as other prescribing information. Product labels may durg indications and usage, generic names, contraindications, active ingredients, strength dosage, routes of administration, appearance, warnings, inactive ingredients, etc.
1 Indications And Usage
Ephedrine Sulfate Injection is indicated for the treatment of clinically important hypotension occurring in the setting of anesthesia.
2.1 General Dosage And Administration Instructions
Ready to Use formulation. Do not dilute.
Inspect parenteral drug products visually for particulate matter and discoloration prior to administration, whenever solution and container permit. Ephedrine Sulfate Injection is a clear, colorless solution. Do not use if discolored.
2.2 Dosing For The Treatment Of Clinically Important Hypotension In The Setting Of Anesthesia
The recommended dosages for the treatment of clinically important hypotension in the setting of anesthesia is an initial dose of 5 mg to 10 mg administered by intravenous bolus. Administer additional boluses as needed, not to exceed a total dosage of 50 mg.
- Adjust dosage according to the blood pressure goal (i.e., titrate to effect).
2.3 Instructions For Use Of Single-Dose Prefilled Syringe
INSTRUCTIONS FOR USE
Important Administration Information
- Ephedrine Sulfate Injection is administered undiluted by slow intravenous injection.
- The syringe should be administered with clean gloved hands.
- Check the compatibility of Ephedrine Sulfate Injection with all other medications and any intravenous fluids the patent is currently receiving.
- This product is for single dose only; discard unused portion.
- Do not introduce any other fluid into the syringe at any time.
- Do not re-sterilize the syringe.
- Do not use this product on a sterile field.
- Inspect the outer packaging (flow wrap) to confirm the integrity of the packaging. Do not use if the flow wrap or the prefilled syringe has been damaged.
- Remove the syringe from the outer packaging. (See Figure 2)
Figure 2
- Examine syringe for damage or cracks and ensure the Luer cap is intact.
DO NOT USE if the Luer cap is missing, loose or damaged. - Inspect and ensure the EPHEDRINE liquid in the prefilled syringe is clear and colorless.
DO NOT USE if the liquid looks discolored, cloudy, or if the liquid contains any particulate matter. - Check the expiration date on the syringe and confirm product has not expired.
DO NOT USE if the expiration date has passed.
- Examine syringe for damage or cracks and ensure the Luer cap is intact.
- Check the intravenous site for signs of infiltration from fluid or medications leaking into surrounding tissue. If signs of infiltration are observed, existing IV administration should be discontinued. A new IV administration site should be established.
Thoroughly cleanse the injection port closest to the patient with alcohol prep pad. - Push plunger rod slightly to break stopper loose while tip cap is still on.
- Twist the tip cap to open. (Figure 3).
- Remove air from the syringe if necessary.
- With the tip of the syringe pointing up, tap the syringe barrel to make air bubbles rise to the top.- Expel air and excess medication by pushing the plunger up until the edge of the plunger is at the graduation mark that corresponds to volume of the prescribed dose. (Figure 4).
Figure 4
- Connect the syringe to the injection port.
- If the intravenous line does not have a backflow protection, pinch/clamp the intravenous tubing between intravenous bag and injection port.
- Press down on the plunger of the prefilled syringe to administer the medication by intravenous bolus. Inject 5 mg to 10 mg by intravenous bolus at a time.
- Adjust dosage according to the blood pressure goal (i.e., titrate to effect).- DO NOT exceed a total dosage of 50 mg.
- Remove the syringe from injection port.
- If necessary, release the pinched intravenous tubing ensuring continuous flow of intravenous fluid.
Alternatively, manually flush the line after administration of Ephedrine Sulfate Injection so there is no residual drug in the intravenous tubing. - Dispose of used syringe. Safely throw away syringe(s) immediately after use into an appropriate medical waste container.
Figure 1: Outer Packaging and Prefilled Syringe
For more information concerning this drug, please call Fresenius Kabi USA, LLC at 1-800-551-7176.
To report SUSPECTED ADVERSE REACTIONS, contact Fresenius Kabi USA, LLC at 1-800-551-7176 or FDA at 1-800-FDA-1088 or www.fda.gov/medwatch.
3 Dosage Forms And Strengths
Ephedrine Sulfate Injection, USP, 5 mg/mL is a clear, colorless solution available in:
- a single-dose, 10 mL prefilled syringe that contains 50 mg/10 mL ephedrine sulfate, equivalent to 38 mg ephedrine base;
- a single-dose, 5 mL prefilled syringe that contains 25 mg/5 mL ephedrine sulfate, equivalent to 19 mg ephedrine base.
4 Contraindications
None
5.1 Pressor Effect With Concomitant Oxytocic Drugs
Serious postpartum hypertension has been described in patients who received both a vasopressor (i.e., methoxamine, phenylephrine, ephedrine) and an oxytocic (i.e., methylergonovine, ergonovine) [see Drug Interactions (7)]. Some of these patients experienced a stroke. Carefully monitor the blood pressure of individuals who have received both ephedrine and an oxytocic.
5.2 Tolerance And Tachyphylaxis
Data indicate that repeated administration of ephedrine can result in tachyphylaxis. Clinicians treating anesthesia-induced hypotension with Ephedrine Sulfate Injection should be aware of the possibility of tachyphylaxis and should be prepared with an alternative pressor to mitigate unacceptable responsiveness.
5.3 Risk Of Hypertension When Used Prophylactically
When used to prevent hypotension, ephedrine has been associated with an increased incidence of hypertension compared with when ephedrine is used to treat hypotension.
6 Adverse Reactions
The following adverse reactions associated with the use of ephedrine sulfate were identified in the literature. Because these reactions are reported voluntarily from a population of uncertain size, it is not always possible to estimate their frequency reliably or to establish a causal relationship to drug exposure.
Gastrointestinal disorders: Nausea, vomiting
Cardiac disorders: Tachycardia, palpitations (thumping heart), reactive hypertension, bradycardia, ventricular ectopics, R-R variability
Nervous system disorders: Dizziness
Psychiatric disorders: Restlessness
7 Drug Interactions
| Interactions that Augment the Pressor Effect | |
| Oxytocin and oxytocic drugs | |
| Clinical Impact: | Serious postpartum hypertension has been described in patients who received both a vasopressor (i.e., methoxamine, phenylephrine, ephedrine) and an oxytocic (i.e., methylergonovine, ergonovine). Some of these patients experienced a stroke. |
| Intervention: | Carefully monitor the blood pressure of individuals who have received both ephedrine and an oxytocic. |
| Clonidine, propofol, monoamine oxidase inhibitors (MAOIs), atropine | |
| Clinical Impact: | These drugs augment the pressor effect of ephedrine. |
| Intervention: | Carefully monitor the blood pressure of individuals who have received both ephedrine and any of these drugs. |
| Interactions that Antagonize the Pressor Effect | |
| Clinical Impact: | These drugs antagonize the pressor effect of ephedrine. |
| Intervention: | Carefully monitor the blood pressure of individuals who have received both ephedrine and any of these drugs. |
| Examples: | α-adrenergic antagonists, β-adrenergic receptor antagonists, reserpine, quinidine, mephentermine |
| Other Drug Interactions | |
| Guanethidine | |
| Clinical Impact: | Ephedrine may inhibit the neuron blockage produced by guanethidine, resulting in loss of antihypertensive effectiveness. |
| Intervention: | Clinician should monitor patient for blood pressor response and adjust the dosage or choice of pressor accordingly. |
| Rocuronium | |
| Clinical Impact: | Ephedrine may reduce the onset time of neuromuscular blockade when used for intubation with rocuronium if administered simultaneously with anesthetic induction. |
| Intervention: | Be aware of this potential interaction. No treatment or other interventions are needed. |
| Epidural anesthesia | |
| Clinical Impact: | Ephedrine may decrease the efficacy of epidural blockade by hastening the regression of sensory analgesia. |
| Intervention: | Monitor and treat the patient according to clinical practice. |
| Theophylline | |
| Clinical Impact: | Concomitant use of ephedrine may increase the frequency of nausea, nervousness, and insomnia. |
| Intervention: | Monitor patient for worsening symptoms and manage symptoms according to clinical practice. |
| Cardiac glycosides | |
| Clinical Impact: | Giving ephedrine with a cardiac glycoside, such as digitalis, may increase the possibility of arrhythmias. |
| Intervention: | Carefully monitor patients on cardiac glycosides who are also administered ephedrine. |
Other
Risk Summary
Available data from randomized studies, case series, and reports of ephedrine sulfate use in pregnant women have not identified a drug-associated risk of major birth defects, miscarriage, or adverse maternal or fetal outcomes. However, there are clinical considerations (see Clinical Considerations). In animal reproduction studies, decreased fetal survival and fetal body weights were observed in the presence of maternal toxicity after normotensive pregnant rats were administered 60 mg/kg intravenous ephedrine sulfate (12 times the maximum recommended human dose (MRHD) of 50 mg/day). No malformations or embryofetal adverse effects were observed when pregnant rats or rabbits were treated with intravenous bolus doses of ephedrine sulfate during organogenesis at doses 1.9 and 7.7 times the MRHD, respectively (see Data).
The estimated background risk of major birth defects and miscarriage for the indicated population are unknown. All pregnancies have a background risk of birth defect, loss, or other adverse outcomes. In the U.S. general population, the estimated background risk of major birth defects and miscarriage in clinically recognized pregnancies is 2 to 4% and 15 to 20%, respectively.
Clinical Considerations
Disease-associated maternal and/or embryofetal risk
Untreated hypotension associated with spinal anesthesia for cesarean section is associated with an increase in maternal nausea and vomiting. A decrease in uterine blood flow due to maternal hypotension may result in fetal bradycardia and acidosis.
Fetal/Neonatal Adverse Reactions
Cases of potential metabolic acidosis in newborns at delivery with maternal ephedrine exposure have been reported in the literature. These reports describe umbilical artery pH of ≤7.2 at the time of delivery [see Clinical Pharmacology (12.3)]. Monitoring of the newborn for signs and symptoms of metabolic acidosis may be required.
Monitoring of infant's acid-base status is warranted to ensure that an episode of acidosis is acute and reversible.
Data
Animal Data
Decreased fetal body weights were observed when pregnant rats were administered intravenous bolus doses of 60 mg/kg ephedrine sulfate (12 times the maximum recommended human dose (MRHD) of 50 mg based on body surface area) from Gestation Day 6-17. This dose was associated with evidence of maternal toxicity (decreased body weight of dams and abnormal head movements). No malformations or fetal deaths were noted at this dose. No effects on fetal body weight were noted at 10 mg/kg (1.9 times the MRHD of 50 mg).
No evidence of malformations or embryo-fetal toxicity were noted in pregnant rabbits administered intravenous bolus doses up to 20 mg/kg ephedrine sulfate (7.7 times the maximum recommended human dose (MRHD) of 50 mg based on body surface area) from Gestation Day 6-20. This dose was associated with expected pharmacological maternal effects (increased respiration rate, dilated pupils, piloerection).
Decreased fetal survival and body weights in the presence of maternal toxicity (increased mortality) were noted when pregnant dams were administered intravenous bolus doses of 60 mg/kg epinephrine sulfate (approximately 12 times the MRHD based on body surface area) from GD 6 through Lactation Day 20. No adverse effects were noted at 10 mg/kg (1.9 times the MRHD).
Risk Summary
A single published case report indicates that ephedrine is present in human milk. However, no information is available on the effects of the drug on the breastfed infant or the effects of the drug on milk production. The developmental and health benefits of breastfeeding should be considered along with the mother's clinical need for Ephedrine Sulfate Injection and any potential adverse effects on the breastfed child from Ephedrine Sulfate Injection or from the underlying maternal condition.
Animal Toxicity Data
In a study in which juvenile rats were administered intravenous bolus doses of 2, 10, or 60 mg/kg ephedrine sulfate daily from Postnatal Day 35 to 56, an increased incidence of mortality was noted at the high dose of 60 mg/kg. The no-adverse-effect level was 10 mg/kg (approximately 1.9 times a maximum daily dose of 50 mg in a 60 kg person based on body surface area).
Carcinogenesis: Two-year feeding studies in rats and mice conducted under the National Toxicology Program (NTP) demonstrated no evidence of carcinogenic potential with ephedrine sulfate at doses up to 10 mg/kg/day and 27 mg/kg/day (approximately 2 times and 3 times the maximum human recommended dose on a mg/m2 basis, respectively).
Mutagenesis: Ephedrine sulfate tested negative in the in vitro bacterial reverse mutation assay, the in vitro mouse lymphoma assay, the in vitro sister chromatid exchange, the in vitro chromosomal aberration assay, and the in vivo rat bone marrow micronucleus assay.
Impairment of Fertility: There was no impact on fertility or early embryonic development in a study in which male rats were administered intravenous bolus doses of 0, 2, 10, or 60 mg/kg ephedrine sulfate (up to 12 times the maximum recommended human dose of 50 mg based on body surface area) for 28 days prior to mating and through gestation and females were treated for 14 days prior to mating through Gestation Day 7.
8.4 Pediatric Use
Safety and effectiveness in pediatric patients have not been established.
8.5 Geriatric Use
Clinical studies of ephedrine did not include sufficient numbers of subjects aged 65 and over to determine whether they respond differently from younger subjects. Other reported clinical experience has not identified differences in responses between the elderly and younger patients. In general, dose selection for an elderly patient should be cautious, usually starting at the low end of the dosing range, reflecting the greater frequency of decreased hepatic, renal, or cardiac function, and of concomitant disease or other drug therapy. This drug is known to be substantially excreted by the kidney, and the risk of adverse reactions to this drug may be greater in patients with impaired renal function. Because elderly patients are more likely to have decreased renal function, care should be taken in dose selection, and it may be useful to monitor renal function.
8.6 Renal Impairment
Ephedrine and its metabolite are excreted in urine. In patients with renal impairment, excretion of ephedrine is likely to be affected with a corresponding increase in elimination half-life, which will lead to slow elimination of ephedrine and consequently prolonged pharmacological effect and potentially adverse reactions. Monitor patients with renal impairment carefully after the initial bolus dose for adverse events.
10 Overdosage
Overdose of ephedrine can cause a rapid rise in blood pressure. In the case of an overdose, careful monitoring of blood pressure is recommended. If blood pressure continues to rise to an unacceptable level, parenteral antihypertensive agents can be administered at the discretion of the clinician.
11 Description
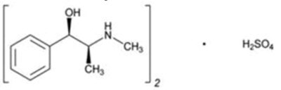
Ephedrine is an alpha- and beta-adrenergic agonist and a norepinephrine-releasing agent. Ephedrine Sulfate Injection, USP 5 mg/mL is a clear, colorless, sterile, ready-to-use solution for intravenous injection. The chemical name of ephedrine sulfate is benzenemethanol, α-[1-(methylamino)ethyl]-, [R-(R*,S*)]-, sulfate (2:1) (salt), and the molecular weight is 428.5 g/mol. Its molecular formula is (C10H15NO)2 · H2SO4 and its structural formula is depicted below:
Ephedrine sulfate is freely soluble in water and ethanol, very slightly soluble in chloroform, and practically insoluble in ether. Each mL contains ephedrine sulfate 5 mg (equivalent to 3.8 mg ephedrine base), sodium chloride 8.6 mg, trisodium citrate dihydrate 1.25 mg, citric acid anhydrous 0.25 mg and sodium hydroxide and/or glacial acetic acid for pH adjustment, if necessary. The pH range is 5.0 to 7.0.
12.1 Mechanism Of Action
Ephedrine sulfate is a sympathomimetic amine that directly acts as an agonist at α- and β-adrenergic receptors and indirectly causes the release of norepinephrine from sympathetic neurons. Pressor effects by direct alpha- and beta-adrenergic receptor activation are mediated by increases in arterial pressures, cardiac output, and peripheral resistance. Indirect adrenergic stimulation is caused by norepinephrine release from sympathetic nerves.
12.2 Pharmacodynamics
Ephedrine stimulates heart rate and cardiac output and variably increases peripheral resistance; as a result, ephedrine usually increases blood pressure. Stimulation of the α-adrenergic receptors of smooth muscle cells in the bladder base may increase the resistance to the outflow of urine. Activation of β-adrenergic receptors in the lungs promotes bronchodilation.
The overall cardiovascular effect from ephedrine is the result of a balance among α-1 adrenoceptor-mediated vasoconstriction, β-2 adrenoceptor-mediated vasoconstriction, and β-2 adrenoceptor-mediated vasodilatation. Stimulation of the β-1 adrenoceptors results in positive inotrope and chronotrope action.
Tachyphylaxis to the pressor effects of ephedrine may occur with repeated administration [see Warnings and Precautions 5.2].
12.3 Pharmacokinetics
Publications studying pharmacokinetics of oral administration of (-)-ephedrine support that (-)-ephedrine is metabolized into norephedrine. However, the metabolism pathway is unknown. Both the parent drug and the metabolite are excreted in urine. Limited data after IV administration of ephedrine support similar observations of urinary excretion of drug and metabolite. The plasma elimination half-life of ephedrine following oral administration was about 6 hours.
Ephedrine crosses the placental barrier [see Use in Specific Populations 8.1].
14 Clinical Studies
The evidence for the efficacy of ephedrine injection is derived from the published literature. Increases in blood pressure following administration of ephedrine were observed in 14 studies, including 9 where ephedrine was used in pregnant women undergoing neuraxial anesthesia during Cesarean delivery, 1 study in non-obstetric surgery under neuraxial anesthesia, and 4 studies in patients undergoing surgery under general anesthesia. Ephedrine has been shown to raise systolic and mean blood pressure when administered as a bolus dose following the development of hypotension during anesthesia.
16 How Supplied/Storage And Handling
Ephedrine Sulfate Injection, USP 5 mg/mL (equivalent to 3.8 mg/mL ephedrine base), is a clear, colorless solution and is supplied as follows:
| Product Code | Unit of Sale | Strength | Each |
| RF382505 | NDC 65219-546-05 Unit of 10 | 25 mg/5 mL (5 mg/mL) | NDC 65219-546-01 5 mL Single-Dose Prefilled Syringe This product contains an RFID. |
| RF386510 | NDC 65219-548-10 Unit of 10 | 50 mg/10 mL (5 mg/mL) | NDC 65219-548-01 10 mL Single-Dose Prefilled Syringe This product contains an RFID. |
Syringe plunger stoppers and Luer lock tip caps are not manufactured with natural rubber latex. Store Ephedrine Sulfate Injection, USP 5 mg/mL at 20°C to 25°C (68°F to 77°F); excursions permitted to 15°C to 30°C (59°F to 86°F) [see USP Controlled Room Temperature]. Store in carton until time of use. For single use only. Discard unused portion.
Protect from Light
Contains No Preservatives
Manufactured for:
www.fresenius-kabi.com/us
Made in Austria
451838
Package Label.Principal Display Panel
PACKAGE LABEL - PRINCIPAL DISPLAY – Ephedrine Sulfate 5 mL RFID Syringe Label
Rx only NDC 65219-546-01
Ephedrine
Sulfate Injection, USP
25 mg/5 mL
(5 mg/mL)
RFID logo
For Intravenous Use Only Ready-To-Use Protect from light
Single-Dose prefilled syringe
Discard unused portion.
Store at 25°C (77°F)
Recommended Dosage:
See prescribing information.
Simplist logo
Mfd. For: Fresenius Kabi
Lake Zurich, IL 60047
Made in Austria
M088650/00 US
PACKAGE LABEL - PRINCIPAL DISPLAY – Ephedrine Sulfate 5 mL RFID Carton Panel
NDC 65219-546-05 10 x 5 mL Single-Dose Prefilled Syringes
Rx only
Ephedrine
Sulfate Injection, USP
25 mg/5 mL
(5 mg/mL)
Ready-To-Use
For Intravenous Use Only
Protect from light.
Do not dilute.
Do NOT place syringe on a Sterile Field.
Discard Unused Portion.
PACKAGE LABEL - PRINCIPAL DISPLAY – Ephedrine Sulfate 5 mL RFID Shipper Label
RF382505 NDC 65219-546-05
EPHEDRINE SULFATE INJECTION, USP 64036
25 MG/5 ML (5 MG/ML)
16 PACKS OF 10 (160 SYRINGES)
STORE AT 20°C TO 25°C (68°F TO 77°F), WITH EXCURSIONS
PERMITTED TO 15°C TO 30°C (59°F TO 86°F)
[SEE USP CONTROLLED ROOM TEMPERATURE].
MANUFACTURED FOR:
FRESENIUS KABI USA, LLC, LAKE ZURICH, IL 60047
MADE IN AUSTRIA
www.fresenius-kabi.com/us
PACKAGE LABEL - PRINCIPAL DISPLAY – Ephedrine Sulfate 10 mL RFID Syringe Label
Rx only NDC 65219-548-01
Ephedrine
Sulfate Injection, USP
50 mg/10 mL
(5 mg/mL)
RFID logo
For Intravenous Use Only Ready-To-Use Protect from light
Single-Dose prefilled syringe
Discard unused portion.
Store at 25°C (77°F)
Recommended Dosage:
See prescribing information.
Simplist logo
Mfd. for:
Fresenius Kabi
Lake Zurich, IL 60047
Made in Austria
PACKAGE LABEL - PRINCIPAL DISPLAY – Ephedrine Sulfate 10 mL RFID Carton Panel
NDC 65219-548-10 10 x 10 mL Single-Dose Prefilled Syringes
Rx only
Ephedrine
Sulfate Injection, USP
50 mg/10 mL
(5 mg/mL)
Ready-To-Use
For Intravenous Use Only
Protect from light.
Do not dilute.
Do NOT place syringe on a Sterile Field.
Discard Unused Portion.
PACKAGE LABEL - PRINCIPAL DISPLAY – Ephedrine Sulfate 10 mL RFID Shipper Label
RF386510 NDC 65219-548-10
EPHEDRINE SULFATE INJECTION, USP 64037
50 MG/10 ML (5 MG/ML)
16 PACKS OF 10 (160 SYRINGES)
STORE AT 20°C TO 25°C (68°F TO 77°F), WITH EXCURSIONS
PERMITTED TO 15°C TO 30°C (59°F TO 86°F)
[SEE USP CONTROLLED ROOM TEMPERATURE].
MANUFACTURED FOR:
FRESENIUS KABI USA, LLC, LAKE ZURICH, IL 60047
MADE IN AUSTRIA
www.fresenius-kabi.com/us
* Please review the disclaimer below.



