Product Images Tribenzor

View Photos of Packaging, Labels & Appearance

  1. The structural formula for olmesartan medoxomil is hydrolyzed to olmesartan during absorption from the gastrointestinal tract. - tribenzor 01
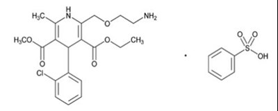
  2. The structural formula for amlodipine besylate is chemically described as 3 ethyl 5-methyl (±)-2-[(2-aminoethoxy)methyl]-4-(2-chlorophenyl)-1,4-dihydro-6-methyl-3,5-pyridinedicarboxylate, monobenzenesulphonate. Its empirical formula is C20H25CIN2O5•C6H6O3S. - tribenzor 02
  3. The structural formula for hydrochlorothiazide is chemically described as 6 chloro 3,4-dihydro-2H-1,2,4-benzo-thiazidiazine-7-sulfonamide 1,1-dioxide. Its empirical formula is C7H8CIN3O4S2. - tribenzor 03
  4. Figure 1: Mean Ambulatory Diastolic Blood Pressure at Endpoint by Treatment and Hour - tribenzor 04
  5. Figure 2: Mean Ambulatory Systolic Blood Pressure at Endpoint by Treatment and Hour - tribenzor 05
  6. PRINCIPAL DISPLAY PANEL NDC 65597-114-30 TRIBENZOR (olmesartan medoxomil, amlodipine, hydrochlorothiazide) tablets 20 mg/5 mg* 12.5 mg 30 Tablets Rx Only - tribenzor 06
  7. PRINCIPAL DISPLAY PANEL NDC 65597-115-30 TRIBENZOR (olmesartan medoxomil, amlodipine, hydrochlorothiazide) tablets 40 mg/5 mg* 12.5 mg 30 Tablets Rx Only - tribenzor 07
  8. PRINCIPAL DISPLAY PANEL NDC 65597-116-30 TRIBENZOR (olmesartan medoxomil, amlodipine, hydrochlorothiazide) tablets 40 mg/5 mg* 25 mg 30 Tablets Rx Only - tribenzor 08
  9. PRINCIPAL DISPLAY PANEL NDC 65597-117-30 TRIBENZOR (olmesartan medoxomil, amlodipine, hydrochlorothiazide) tablets 40 mg/10 mg* 12.5 mg 30 Tablets Rx Only - tribenzor 09
  10. PRINCIPAL DISPLAY PANEL NDC 65597-118-90 TRIBENZOR (olmesartan medoxomil, amlodipine, hydrochlorothiazide) tablets 40 mg/10 mg* 25 mg 90 Tablets Rx Only - tribenzor 0a

Product Label Images

The following 10 images provide visual information about the product associated with Tribenzor NDC 65597-114 by Daiichi Sankyo, Inc., such as packaging, labeling, and the appearance of the drug itself. This resource could be helpful for medical professionals, pharmacists, and patients seeking to verify medication information and ensure they have the correct product.

The structural formula for olmesartan medoxomil is hydrolyzed to olmesartan during absorption from the gastrointestinal tract. - tribenzor 01

The structural formula for olmesartan medoxomil is hydrolyzed to olmesartan during absorption from the gastrointestinal tract. - tribenzor 01

The structural formula for amlodipine besylate is chemically described as 3 ethyl 5-methyl (±)-2-[(2-aminoethoxy)methyl]-4-(2-chlorophenyl)-1,4-dihydro-6-methyl-3,5-pyridinedicarboxylate, monobenzenesulphonate. Its empirical formula is C20H25CIN2O5•C6H6O3S. - tribenzor 02

The structural formula for amlodipine besylate is chemically described as 3 ethyl 5-methyl (±)-2-[(2-aminoethoxy)methyl]-4-(2-chlorophenyl)-1,4-dihydro-6-methyl-3,5-pyridinedicarboxylate, monobenzenesulphonate.  Its empirical formula is C20H25CIN2O5•C6H6O3S. - tribenzor 02

The structural formula for hydrochlorothiazide is chemically described as 6 chloro 3,4-dihydro-2H-1,2,4-benzo-thiazidiazine-7-sulfonamide 1,1-dioxide. Its empirical formula is C7H8CIN3O4S2. - tribenzor 03

The structural formula for hydrochlorothiazide is chemically described as 6 chloro 3,4-dihydro-2H-1,2,4-benzo-thiazidiazine-7-sulfonamide 1,1-dioxide.  Its empirical formula is C7H8CIN3O4S2. - tribenzor 03

Figure 1: Mean Ambulatory Diastolic Blood Pressure at Endpoint by Treatment and Hour - tribenzor 04

Figure 1:	Mean Ambulatory Diastolic Blood Pressure at Endpoint by Treatment and Hour - tribenzor 04

Figure 2: Mean Ambulatory Systolic Blood Pressure at Endpoint by Treatment and Hour - tribenzor 05

Figure 2:	Mean Ambulatory Systolic Blood Pressure at Endpoint by Treatment and Hour - tribenzor 05

This appears to be a graph showing the mean ambulatory systolic blood pressure (in mmHg) over the course of several hours post dose for four different medication treatments - baseline, AML10/HCTZ25, OMAO/ANL10, and OM40/AML10/HCTZ25. The graph includes values ranging from 160 mmHg to 105 mmHg, and the x-axis shows the hours post dose.*

PRINCIPAL DISPLAY PANEL NDC 65597-114-30 TRIBENZOR (olmesartan medoxomil, amlodipine, hydrochlorothiazide) tablets 20 mg/5 mg* 12.5 mg 30 Tablets Rx Only - tribenzor 06

PRINCIPAL DISPLAY PANEL NDC 65597-114-30 TRIBENZOR (olmesartan medoxomil, amlodipine, hydrochlorothiazide) tablets 20 mg/5 mg* 12.5 mg 30 Tablets Rx Only - tribenzor 06

This is a description of a medication called Tribenzor. The medication is in tablet form and contains the following active ingredients: olmesartan medoxomil, amlodipine besylate, and hydrochlorothiazide. The tablets come in a package with a package insert that provides dosage and usage information for the medication. The tablets should be stored in a controlled room temperature environment. Each tablet contains 6.9 mg of amlodipine besylate. The medication is manufactured for Daiichi Sankyo, Inc. and comes in a package of 30 tablets. The product is made in Germany.*

PRINCIPAL DISPLAY PANEL NDC 65597-115-30 TRIBENZOR (olmesartan medoxomil, amlodipine, hydrochlorothiazide) tablets 40 mg/5 mg* 12.5 mg 30 Tablets Rx Only - tribenzor 07

PRINCIPAL DISPLAY PANEL NDC 65597-115-30 TRIBENZOR (olmesartan medoxomil, amlodipine, hydrochlorothiazide) tablets 40 mg/5 mg* 12.5 mg 30 Tablets Rx Only - tribenzor 07

NDC 65597-115-30 is the code for Tribenzor, a prescription drug manufactured by Daiichi Sankyo. This drug contains a combination of three active ingredients, including olmesartan medoxomil, amlodipine besylate, and hydrochlorothiazide. The package insert should be referred to for dosage and usage instructions. The medication comes in tablet form and should be stored at controlled room temperature.*

PRINCIPAL DISPLAY PANEL NDC 65597-116-30 TRIBENZOR (olmesartan medoxomil, amlodipine, hydrochlorothiazide) tablets 40 mg/5 mg* 25 mg 30 Tablets Rx Only - tribenzor 08

PRINCIPAL DISPLAY PANEL NDC 65597-116-30 TRIBENZOR (olmesartan medoxomil, amlodipine, hydrochlorothiazide) tablets 40 mg/5 mg* 25 mg 30 Tablets Rx Only - tribenzor 08

This is a description of medication called "Tribenzor". The medication comes in the form of tablets and its dosage is 40mg/5mg*/25mg. The tablets contain olmesartan medoxomil, amlodipine, and hydrochlorothiazide. Each tablet also contains 6.9mg of amlodipine besylate. The medication is only available with a prescription. The tablets are manufactured in Germany by Daiichi Sankyo, Inc. The package insert should be consulted for information on dosage and use. The tablets should be stored at a temperature of 25°C (77°F), with excursions permitted to 15-30°C (59 to 86°).*

PRINCIPAL DISPLAY PANEL NDC 65597-117-30 TRIBENZOR (olmesartan medoxomil, amlodipine, hydrochlorothiazide) tablets 40 mg/10 mg* 12.5 mg 30 Tablets Rx Only - tribenzor 09

PRINCIPAL DISPLAY PANEL NDC 65597-117-30 TRIBENZOR (olmesartan medoxomil, amlodipine, hydrochlorothiazide) tablets 40 mg/10 mg* 12.5 mg 30 Tablets Rx Only - tribenzor 09

This appears to be the product information of a prescription medication called TRIBENZOR. It contains a combination of three active ingredients: olmesartan medoxomil, amlodipine, and hydrochlorothiazide. The tablets come in a strength of 40mg/10mg*/12.5mg and are to be stored at controlled room temperature. The text also includes the NDC code and the manufacturer name and address.*

PRINCIPAL DISPLAY PANEL NDC 65597-118-90 TRIBENZOR (olmesartan medoxomil, amlodipine, hydrochlorothiazide) tablets 40 mg/10 mg* 25 mg 90 Tablets Rx Only - tribenzor 0a

PRINCIPAL DISPLAY PANEL NDC 65597-118-90 TRIBENZOR (olmesartan medoxomil, amlodipine, hydrochlorothiazide) tablets 40 mg/10 mg* 25 mg 90 Tablets Rx Only - tribenzor 0a

The text is a description of a medication called Tribenzor which is a combination of three drugs: Olmesartan medoxomil, amlodipine, and hydrochlorothiazide. The medication is available in tablet form with each tablet containing 40 mg of olmesartan medoxomil, 13.9 mg of amlodipine besylate, and 25 mg of hydrochlorothiazide. The medication is manufactured for Daiichi Sankyo and has an NDC code of 65597-118-90. The medication should be stored at 25°C (77°F) and used only as directed. Dosage and usage information can be found in the package insert.*

* The product label images have been analyzed using a combination of traditional computing and machine learning techniques. It should be noted that the descriptions provided may not be entirely accurate as they are experimental in nature. Use the information in this page at your own discretion and risk.