FDA Label for Citalopram
View Indications, Usage & Precautions
- SUICIDALITY AND ANTIDEPRESSANT DRUGS
- DESCRIPTION
- PHARMACODYNAMICS
- PHARMACOKINETICS
- ABSORPTION AND DISTRIBUTION
- METABOLISM AND ELIMINATION
- AGE
- GENDER
- REDUCED HEPATIC FUNCTION
- CYP2C19 POOR METABOLIZERS
- CYP2D6 POOR METABOLIZERS
- REDUCED RENAL FUNCTION
- DRUG-DRUG INTERACTIONS
- CLINICAL EFFICACY TRIALS
- COMPARISON OF CLINICAL TRIAL RESULTS
- INDICATIONS AND USAGE
- CONTRAINDICATIONS
- CLINICAL WORSENING AND SUICIDE RISK
- QT-PROLONGATION AND TORSADE DE POINTES
- SCREENING PATIENTS FOR BIPOLAR DISORDER
- POTENTIAL FOR INTERACTION WITH MONOAMINE OXIDASE INHIBITORS
- SEROTONIN SYNDROME OR NEUROLEPTIC MALIGNANT SYNDROME (NMS)-LIKE REACTIONS
- DISCONTINUATION OF TREATMENT WITH CITALOPRAM
- ABNORMAL BLEEDING
- HYPONATREMIA
- ACTIVATION OF MANIA/HYPOMANIA
- SEIZURES
- INTERFERENCE WITH COGNITIVE AND MOTOR PERFORMANCE
- USE IN PATIENTS WITH CONCOMITANT ILLNESS
- INFORMATION FOR PATIENTS
- LABORATORY TESTS
- SEROTONERGIC DRUGS
- TRIPTANS
- CNS DRUGS
- ALCOHOL
- MONOAMINE OXIDASE INHIBITORS (MAOIS)
- DRUGS THAT INTERFERE WITH HEMOSTASIS (NSAIDS, ASPIRIN, WARFARIN, ETC.)
- CIMETIDINE
- DIGOXIN
- LITHIUM
- PIMOZIDE
- THEOPHYLLINE
- SUMATRIPTAN
- WARFARIN
- CARBAMAZEPINE
- TRIAZOLAM
- KETOCONAZOLE
- CYP2C19 INHIBITORS
- METOPROLOL
- IMIPRAMINE AND OTHER TRICYCLIC ANTIDEPRESSANTS (TCAS)
- ELECTROCONVULSIVE THERAPY (ECT)
- CARCINOGENESIS
- MUTAGENESIS
- IMPAIRMENT OF FERTILITY
- PREGNANCY CATEGORY C
- NONTERATOGENIC EFFECTS
- LABOR AND DELIVERY
- NURSING MOTHERS
- PEDIATRIC USE
- GERIATRIC USE
- ADVERSE REACTIONS
- ADVERSE EVENTS ASSOCIATED WITH DISCONTINUATION OF TREATMENT
- ADVERSE EVENTS OCCURRING AT AN INCIDENCE OF 2% OR MORE AMONG CITALOPRAM-TREATED PATIENTS
- DOSE DEPENDENCY OF ADVERSE EVENTS
- MALE AND FEMALE SEXUAL DYSFUNCTION WITH SSRIS
- VITAL SIGN CHANGES
- WEIGHT CHANGES
- LABORATORY CHANGES
- ECG CHANGES
- OTHER EVENTS OBSERVED DURING THE PREMARKETING EVALUATION OF CITALOPRAM HBR
- OTHER EVENTS OBSERVED DURING THE POSTMARKETING EVALUATION OF CITALOPRAM HBR
- CONTROLLED SUBSTANCE CLASS
- PHYSICAL AND PSYCHOLOGICAL DEPENDENCE
- HUMAN EXPERIENCE
- MANAGEMENT OF OVERDOSE
- DOSAGE AND ADMINISTRATION
- INITIAL TREATMENT
- SPECIAL POPULATIONS
- TREATMENT OF PREGNANT WOMEN DURING THE THIRD TRIMESTER
- MAINTENANCE TREATMENT
- DISCONTINUATION OF TREATMENT WITH CITALOPRAM TABLETS USP
- SWITCHING PATIENTS TO OR FROM A MONOAMINE OXIDASE INHIBITOR
- HOW SUPPLIED
- RETINAL CHANGES IN RATS
- CARDIOVASCULAR CHANGES IN DOGS
- MEDICATION GUIDE
- BOXED WARNING SECTION
- OTHER
Citalopram Product Label
The following document was submitted to the FDA by the labeler of this product Medvantx, Inc.. The document includes published materials associated whith this product with the essential scientific information about this product as well as other prescribing information. Product labels may durg indications and usage, generic names, contraindications, active ingredients, strength dosage, routes of administration, appearance, warnings, inactive ingredients, etc.
Suicidality And Antidepressant Drugs
Antidepressants increased the risk compared to placebo of suicidal thinking and behavior (suicidality) in children, adolescents, and young adults in short-term studies of major depressive disorder (MDD) and other psychiatric disorders. Anyone considering the use of citalopram tablets or any other antidepressant in a child, adolescent, or young adult must balance this risk with the clinical need. Short-term studies did not show an increase in the risk of suicidality with antidepressants compared to placebo in adults beyond age 24; there was a reduction in risk with antidepressants compared to placebo in adults aged 65 and older. Depression and certain other psychiatric disorders are themselves associated with increases in the risk of suicide. Patients of all ages who are started on antidepressant therapy should be monitored appropriately and observed closely for clinical worsening, suicidality, or unusual changes in behavior. Families and caregivers should be advised of the need for close observation and communication with the prescriber. Citalopram tablets are not approved for use in pediatric patients (see WARNINGS, Clinical Worsening and Suicide Risk; PRECAUTIONS, Information for Patients; and PRECAUTIONS, Pediatric Use).
Description
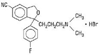
Citalopram HBr is an orally administered selective serotonin reuptake inhibitor (SSRI) with a chemical structure unrelated to that of other SSRIs or of tricyclic, tetracyclic, or other available antidepressant agents. Citalopram HBr is a racemic bicyclic phthalane derivative designated (±)-1-(3-dimethylaminopropyl)-1-(4-fluorophenyl)-1,3-dihydroisobenzofuran-5-carbonitrile, HBr with the following structural formula:
C20H22BrFN2O M.W. 405.35
Citalopram HBr occurs as a fine, white to off-white powder. Citalopram HBr is sparingly soluble in water and soluble in ethanol.
Each citalopram tablet USP, for oral administration, contains citalopram HBr equivalent to 10 mg, 20 mg, or 40 mg citalopram base. The tablets also contain the following inactive ingredients: croscarmellose sodium, lactose monohydrate, magnesium stearate, microcrystalline cellulose, pregelatinized starch, and povidone. In addition, the 10 mg contains red iron oxide and yellow iron oxide; and the 20 mg contains FD&C red #40 aluminum lake and FD&C yellow #6 aluminum lake.
Pharmacodynamics
The mechanism of action of citalopram HBr as an antidepressant is presumed to be linked to potentiation of serotonergic activity in the central nervous system (CNS) resulting from its inhibition of CNS neuronal reuptake of serotonin (5-HT). In vitro and in vivo studies in animals suggest that citalopram is a highly selective serotonin reuptake inhibitor (SSRI) with minimal effects on norepinephrine (NE) and dopamine (DA) neuronal reuptake. Tolerance to the inhibition of 5-HT uptake is not induced by long-term (14 day) treatment of rats with citalopram. Citalopram is a racemic mixture (50/50), and the inhibition of 5-HT reuptake by citalopram is primarily due to the (S)-enantiomer.
Citalopram has no or very low affinity for 5-HT1A, 5-HT2A, dopamine D1 and D2, α1-, α2-, and β-adrenergic, histamine H1, gamma aminobutyric acid (GABA), muscarinic, cholinergic, and benzodiazepine receptors. Antagonism of muscarinic, histaminergic, and adrenergic receptors has been hypothesized to be associated with various anticholinergic, sedative, and cardiovascular effects of other psychotropic drugs.
Pharmacokinetics
The single- and multiple-dose pharmacokinetics of citalopram are linear and dose-proportional in a dose range of 10 to 60 mg/day. Biotransformation of citalopram is mainly hepatic, with a mean terminal half-life of about 35 hours. With once daily dosing, steady state plasma concentrations are achieved within approximately one week. At steady state, the extent of accumulation of citalopram in plasma, based on the half-life, is expected to be 2.5 times the plasma concentrations observed after a single dose. The tablet and oral solution dosage forms of citalopram HBr are bioequivalent.
Absorption And Distribution
Following a single oral dose (40 mg tablet) of citalopram, peak blood levels occur at about 4 hours. The absolute bioavailability of citalopram was about 80% relative to an intravenous dose, and absorption is not affected by food. The volume of distribution of citalopram is about 12 L/kg and the binding of citalopram (CT), demethylcitalopram (DCT) and didemethylcitalopram (DDCT) to human plasma proteins is about 80%.
Metabolism And Elimination
Following intravenous administrations of citalopram, the fraction of drug recovered in the urine as citalopram and DCT was about 10% and 5%, respectively. The systemic clearance of citalopram was 330 mL/min, with approximately 20% of that due to renal clearance.
Citalopram is metabolized to demethylcitalopram (DCT), didemethylcitalopram (DDCT), citalopram-N-oxide, and a deaminated propionic acid derivative. In humans, unchanged citalopram is the predominant compound in plasma. At steady state, the concentrations of citalopram's metabolites, DCT and DDCT, in plasma are approximately one-half and one-tenth, respectively, that of the parent drug. In vitro studies show that citalopram is at least 8 times more potent than its metabolites in the inhibition of serotonin reuptake, suggesting that the metabolites evaluated do not likely contribute significantly to the antidepressant actions of citalopram.
In vitro studies using human liver microsomes indicated that CYP3A4 and CYP2C19 are the primary isozymes involved in the N-demethylation of citalopram.
Age
Citalopram pharmacokinetics in subjects ≥ 60 years of age were compared to younger subjects in two normal volunteer studies. In a single-dose study, citalopram AUC and half-life were increased in the subjects ≥ 60 years old by 30% and 50%, respectively, whereas in a multiple-dose study they were increased by 23% and 30%, respectively. 20 mg/day is the maximum recommended dose for patients who are greater than 60 years of age (see WARNINGS and DOSAGE AND ADMINISTRATION), due to the risk of QT prolongation.
Gender
In three pharmacokinetic studies (total N = 32), citalopram AUC in women was one and a half to two times that in men. This difference was not observed in five other pharmacokinetic studies (total N = 114). In clinical studies, no differences in steady state serum citalopram levels were seen between men (N = 237) and women (N = 388). There were no gender differences in the pharmacokinetics of DCT and DDCT. No adjustment of dosage on the basis of gender is recommended.
Reduced Hepatic Function
Citalopram oral clearance was reduced by 37% and half-life was doubled in patients with reduced hepatic function compared to normal subjects. 20 mg/day is the maximum recommended dose for hepatically impaired patients (see WARNINGS and DOSAGE AND ADMINISTRATION), due to the risk of QT prolongation.
Cyp2c19 Poor Metabolizers
In CYP2C19 poor metabolizers, citalopram steady state Cmax and AUC was increased by 68% and 107%, respectively. Citalopram 20 mg/day is the maximum recommended dose in CYP2C19 poor metabolizers due to the risk of QT prolongation (see WARNINGS and DOSAGE AND ADMINISTRATION).
Cyp2d6 Poor Metabolizers
Citalopram steady state levels were not significantly different in poor metabolizers and extensive metabolizers of CYP2D6.
Reduced Renal Function
In patients with mild to moderate renal function impairment, oral clearance of citalopram was reduced by 17% compared to normal subjects. No adjustment of dosage for such patients is recommended. No information is available about the pharmacokinetics of citalopram in patients with severely reduced renal function (creatinine clearance < 20 mL/min).
Drug-Drug Interactions
In vitro enzyme inhibition data did not reveal an inhibitory effect of citalopram on CYP3A4, 2C9, or -2E1, but did suggest that it is a weak inhibitor of CYP1A2, -2D6, and -2C19. Citalopram would be expected to have little inhibitory effect on in vivo metabolism mediated by these enzymes. However, in vivo data to address this question are limited.
CYP3A4 and CYP2C19 inhibitors: Since CYP3A4 and CYP2C19 are the primary enzymes involved in the metabolism of citalopram, it is expected that potent inhibitors of CYP3A4 (e.g., ketoconazole, itraconazole, and macrolide antibiotics) and potent inhibitors of CYP2C19 (e.g., omeprazole) might decrease the clearance of citalopram. However, coadministration of citalopram and the potent CYP3A4 inhibitor ketoconazole did not significantly affect the pharmacokinetics of citalopram. Citalopram 20 mg/day is the maximum recommended dose in patients taking concomitant cimetidine or another CYP2C19 inhibitor, because of the risk of QT prolongation (see WARNINGS and DOSAGE AND ADMINISTRATION).
CYP2D6 Inhibitors: Coadministration of a drug that inhibits CYP2D6 with citalopram is unlikely to have clinically significant effects on citalopram metabolism, based on the study results in CYP2D6 poor metabolizers.
Clinical Efficacy Trials
The efficacy of citalopram as a treatment for depression was established in two placebo-controlled studies (of 4 to 6 weeks in duration) in adult outpatients (ages 18 to 66) meeting DSM-III or DSM-III-R criteria for major depression. Study 1, a 6 week trial in which patients received fixed citalopram doses of 10, 20, 40, and 60 mg/day, showed that citalopram at doses of 40 and 60 mg/day was effective as measured by the Hamilton Depression Rating Scale (HAMD) total score, the HAMD depressed mood item (Item 1), the Montgomery Asberg Depression Rating Scale, and the Clinical Global Impression (CGI) Severity scale. This study showed no clear effect of the 10 and 20 mg/day doses, and the 60 mg/day dose was not more effective than the 40 mg/day dose. In study 2, a 4 week, placebo-controlled trial in depressed patients, of whom 85% met criteria for melancholia, the initial dose was 20 mg/day, followed by titration to the maximum tolerated dose or a maximum dose of 80 mg/day. Patients treated with citalopram showed significantly greater improvement than placebo patients on the HAMD total score, HAMD item 1, and the CGI Severity score. In three additional placebo-controlled depression trials, the difference in response to treatment between patients receiving citalopram and patients receiving placebo was not statistically significant, possibly due to high spontaneous response rate, smaller sample size, or, in the case of one study, too low a dose.
In two long-term studies, depressed patients who had responded to citalopram during an initial 6 or 8 weeks of acute treatment (fixed doses of 20 or 40 mg/day in one study and flexible doses of 20 to 60 mg/day in the second study) were randomized to continuation of citalopram or to placebo. In both studies, patients receiving continued citalopram treatment experienced significantly lower relapse rates over the subsequent 6 months compared to those receiving placebo. In the fixed-dose study, the decreased rate of depression relapse was similar in patients receiving 20 or 40 mg/day of citalopram.
Analyses of the relationship between treatment outcome and age, gender, and race did not suggest any differential responsiveness on the basis of these patient characteristics.
Comparison Of Clinical Trial Results
Highly variable results have been seen in the clinical development of all antidepressant drugs. Furthermore, in those circumstances when the drugs have not been studied in the same controlled clinical trial(s), comparisons among the results of studies evaluating the effectiveness of different antidepressant drug products are inherently unreliable. Because conditions of testing (e.g., patient samples, investigators, doses of the treatments administered and compared, outcome measures, etc.) vary among trials, it is virtually impossible to distinguish a difference in drug effect from a difference due to one of the confounding factors just enumerated.
Indications And Usage
Citalopram tablets USP are indicated for the treatment of depression.
The efficacy of citalopram in the treatment of depression was established in 4 to 6 week, controlled trials of outpatients whose diagnosis corresponded most closely to the DSM-III and DSM-III-R category of major depressive disorder (see CLINICAL PHARMACOLOGY).
A major depressive episode (DSM-IV) implies a prominent and relatively persistent (nearly every day for at least 2 weeks) depressed or dysphoric mood that usually interferes with daily functioning, and includes at least five of the following nine symptoms: depressed mood, loss of interest in usual activities, significant change in weight and/or appetite, insomnia or hypersomnia, psychomotor agitation or retardation, increased fatigue, feelings of guilt or worthlessness, slowed thinking or impaired concentration, a suicide attempt or suicidal ideation. The antidepressant action of citalopram tablets USP in hospitalized depressed patients has not been adequately studied.
The efficacy of citalopram in maintaining an antidepressant response for up to 24 weeks following 6 to 8 weeks of acute treatment was demonstrated in two placebo-controlled trials (see CLINICAL PHARMACOLOGY). Nevertheless, the physician who elects to use citalopram tablets USP for extended periods should periodically re-evaluate the long-term usefulness of the drug for the individual patient.
Contraindications
Concomitant use in patients taking monoamine oxidase inhibitors (MAOIs) is contraindicated (see WARNINGS).
Concomitant use in patients taking pimozide is contraindicated (see PRECAUTIONS).
Citalopram tablets are contraindicated in patients with a hypersensitivity to citalopram or any of the inactive ingredients in citalopram tablets.
Clinical Worsening And Suicide Risk
Patients with major depressive disorder (MDD), both adult and pediatric, may experience worsening of their depression and/or the emergence of suicidal ideation and behavior (suicidality) or unusual changes in behavior, whether or not they are taking antidepressant medications, and this risk may persist until significant remission occurs. Suicide is a known risk of depression and certain other psychiatric disorders, and these disorders themselves are the strongest predictors of suicide. There has been a long-standing concern, however, that antidepressants may have a role in inducing worsening of depression and the emergence of suicidality in certain patients during the early phases of treatment.
Pooled analyses of short-term placebo-controlled trials of antidepressant drugs (SSRIs and others) showed that these drugs increase the risk of suicidal thinking and behavior (suicidality) in children, adolescents, and young adults (ages 18 to 24) with major depressive disorder (MDD) and other psychiatric disorders. Short-term studies did not show an increase in the risk of suicidality with antidepressants compared to placebo in adults beyond age 24; there was a reduction with antidepressants compared to placebo in adults aged 65 and older.
The pooled analyses of placebo-controlled trials in children and adolescents with MDD, obsessive compulsive disorder (OCD), or other psychiatric disorders included a total of 24 short-term trials of 9 antidepressant drugs in over 4400 patients. The pooled analyses of placebo-controlled trials in adults with MDD or other psychiatric disorders included a total of 295 short-term trials (median duration of 2 months) of 11 antidepressant drugs in over 77,000 patients. There was considerable variation in risk of suicidality among drugs, but a tendency toward an increase in the younger patients for almost all drugs studied. There were differences in absolute risk of suicidality across the different indications, with the highest incidence in MDD. The risk differences (drug vs. placebo), however, were relatively stable within age strata and across indications. These risk differences (drug-placebo difference in the number of cases of suicidality per 1000 patients treated) are provided in TABLE 1.
| Age Range | Drug-Placebo Difference in Number of Cases of Suicidality per 1000 Patients Treated |
| Increases Compared to Placebo | |
| < 18 | 14 additional cases |
| 18 to 24 | 5 additional cases |
| Decreases Compared to Placebo | |
| 25 to 64 | 1 fewer case |
| ≥ 65 | 6 fewer cases |
No suicides occurred in any of the pediatric trials. There were suicides in the adult trials, but the number was not sufficient to reach any conclusion about drug effect on suicide.
It is unknown whether the suicidality risk extends to longer-term use, i.e., beyond several months. However, there is substantial evidence from placebo-controlled maintenance trials in adults with depression that the use of antidepressants can delay the recurrence of depression.
All patients being treated with antidepressants for any indication should be monitored appropriately and observed closely for clinical worsening, suicidality, and unusual changes in behavior, especially during the initial few months of a course of drug therapy, or at times of dose changes, either increases or decreases.
The following symptoms, anxiety, agitation, panic attacks, insomnia, irritability, hostility, aggressiveness, impulsivity, akathisia (psychomotor restlessness), hypomania, and mania, have been reported in adult and pediatric patients being treated with antidepressants for major depressive disorder as well as for other indications, both psychiatric and nonpsychiatric. Although a causal link between the emergence of such symptoms and either the worsening of depression and/or the emergence of suicidal impulses has not been established, there is concern that such symptoms may represent precursors to emerging suicidality.
Consideration should be given to changing the therapeutic regimen, including possibly discontinuing the medication, in patients whose depression is persistently worse, or who are experiencing emergent suicidality or symptoms that might be precursors to worsening depression or suicidality, especially if these symptoms are severe, abrupt in onset, or were not part of the patient's presenting symptoms.
If the decision has been made to discontinue treatment, medication should be tapered, as rapidly as is feasible, but with recognition that abrupt discontinuation can be associated with certain symptoms (see PRECAUTIONS and DOSAGE AND ADMINISTRATION, Discontinuation of Treatment With Citalopram Tablets USP, for a description of the risks of discontinuation of citalopram tablets).
Families and caregivers of patients being treated with antidepressants for major depressive disorder or other indications, both psychiatric and nonpsychiatric, should be alerted about the need to monitor patients for the emergence of agitation, irritability, unusual changes in behavior, and the other symptoms described above, as well as the emergence of suicidality, and to report such symptoms immediately to health care providers. Such monitoring should include daily observation by families and caregivers. Prescriptions for citalopram tablets should be written for the smallest quantity of tablets consistent with good patient management, in order to reduce the risk of overdose.
Patients, their families, and their caregivers should be encouraged to be alert to the emergence of anxiety, agitation, panic attacks, insomnia, irritability, hostility, aggressiveness, impulsivity, akathisia (psychomotor restlessness), hypomania, mania, other unusual changes in behavior, worsening of depression, and suicidal ideation, especially early during antidepressant treatment and when the dose is adjusted up or down. Families and caregivers of patients should be advised to look for the emergence of such symptoms on a day-to-day basis, since changes may be abrupt. Such symptoms should be reported to the patient's prescriber or health professional, especially if they are severe, abrupt in onset, or were not part of the patient's presenting symptoms. Symptoms such as these may be associated with an increased risk for suicidal thinking and behavior and indicate a need for very close monitoring and possibly changes in the medication.
Qt-Prolongation And Torsade De Pointes
Citalopram causes dose-dependent QTc prolongation, an ECG abnormality that has been associated with torsade de pointes (TdP), ventricular tachycardia, and sudden death, all of which have been observed in postmarketing reports for citalopram.
Individually corrected QTc (QTcNi) interval was evaluated in a randomized, placebo and active (moxifloxacin 400 mg) controlled cross-over, escalating multiple-dose study in 119 healthy subjects. The maximum mean (upper bound of the 95% one-sided confidence interval) difference from placebo were 8.5 (10.8) and 18.5 (21.0) msec for 20 mg and 60 mg citalopram, respectively. Based on the established exposure-response relationship, the predicted QTcNi change from placebo (upper bound of the 95% one-sided confidence interval) under the Cmax for the dose of 40 mg is 12.6 (14.3) msec.
Because of the risk of QTc prolongation at higher citalopram doses, it is recommended that citalopram should not be given at doses above 40 mg/day.
It is recommended that citalopram should not be used in patients with congenital long QT syndrome, bradycardia, hypokalemia or hypomagnesemia, recent acute myocardial infarction, or uncompensated heart failure. Citalopram should also not be used in patients who are taking other drugs that prolong the QTc interval. Such drugs include Class 1A (e.g., quinidine, procainamide) or Class III (e.g., amiodarone, sotalol) antiarrhythmic medications, antipsychotic medications (e.g., chlorpromazine, thioridazine), antibiotics (e.g., gatifloxacin, moxifloxacin), or any other class of medications known to prolong the QTc interval (e.g., pentamidine, levomethadyl acetate, methadone).
The citalopram dose should be limited in certain populations. The maximum dose should be limited to 20 mg/day in patients who are CYP2C19 poor metabolizers or those patients who may be taking concomitant cimetidine or another CYP2C19 inhibitor, since higher citalopram exposures would be expected. The maximum dose should also be limited to 20 mg/day in patients with hepatic impairment and in patients who are greater than 60 years of age because of expected higher exposures.
Electrolyte and/or ECG monitoring is recommended in certain circumstances. Patients being considered for citalopram treatment who are at risk for significant electrolyte disturbances should have baseline serum potassium and magnesium measurements with periodic monitoring. Hypokalemia (and/or hypomagnesemia) may increase the risk of QTc prolongation and arrhythmia, and should be corrected prior to initiation of treatment and periodically monitored. ECG monitoring is recommended in patients for whom citalopram use is not recommended (see above), but, nevertheless, considered essential. These include those patients with the cardiac conditions noted above, and those taking other drugs that may prolong the QTc interval.
Citalopram should be discontinued in patients who are found to have persistent QTc measurements > 500 ms. If patients taking citalopram experience symptoms that could indicate the occurrence of cardiac arrhythmias, e.g., dizziness, palpitations, or syncope, the prescriber should initiate further evaluation, including cardiac monitoring.
Screening Patients For Bipolar Disorder
A major depressive episode may be the initial presentation of bipolar disorder. It is generally believed (though not established in controlled trials) that treating such an episode with an antidepressant alone may increase the likelihood of precipitation of a mixed/manic episode in patients at risk for bipolar disorder. Whether any of the symptoms described above represent such a conversion is unknown. However, prior to initiating treatment with an antidepressant, patients with depressive symptoms should be adequately screened to determine if they are at risk for bipolar disorder; such screening should include a detailed psychiatric history, including a family history of suicide, bipolar disorder, and depression. It should be noted that citalopram tablets are not approved for use in treating bipolar depression.
Potential For Interaction With Monoamine Oxidase Inhibitors
In patients receiving serotonin reuptake inhibitor drugs in combination with a monoamine oxidase inhibitor (MAOI), there have been reports of serious, sometimes fatal, reactions including hyperthermia, rigidity, myoclonus, autonomic instability with possible rapid fluctuations of vital signs, and mental status changes that include extreme agitation progressing to delirium and coma. These reactions have also been reported in patients who have recently discontinued SSRI treatment and have been started on an MAOI. Some cases presented with features resembling neuroleptic malignant syndrome. Furthermore, limited animal data on the effects of combined use of SSRIs and MAOIs suggest that these drugs may act synergistically to elevate blood pressure and evoke behavioral excitation. Therefore, it is recommended that citalopram should not be used in combination with an MAOI, or within 14 days of discontinuing treatment with an MAOI. Similarly, at least 14 days should be allowed after stopping citalopram before starting an MAOI.
Serotonin Syndrome Or Neuroleptic Malignant Syndrome (Nms)-Like Reactions
The development of a potentially life-threatening serotonin syndrome or Neuroleptic Malignant Syndrome (NMS)-like reactions have been reported with SNRIs and SSRIs alone, including citalopram treatment, but particularly with concomitant use of serotonergic drugs (including triptans) with drugs which impair metabolism of serotonin (including MAOIs), or with antipsychotics or other dopamine antagonists. Serotonin syndrome symptoms may include mental status changes (e.g., agitation, hallucinations, coma), autonomic instability (e.g., tachycardia, labile blood pressure, hyperthermia), neuromuscular aberrations (e.g., hyperreflexia, incoordination) and/or gastrointestinal symptoms (e.g., nausea, vomiting, diarrhea). Serotonin syndrome, in its most severe form can resemble neuroleptic malignant syndrome, which includes hyperthermia, muscle rigidity, autonomic instability with possible rapid fluctuation of vital signs, and mental status changes. Patients should be monitored for the emergence of serotonin syndrome or NMS-like signs and symptoms.
The concomitant use of citalopram with MAOIs intended to treat depression is contraindicated. If concomitant treatment of citalopram with a 5-hydroxytryptamine receptor agonist (triptan) is clinically warranted, careful observation of the patient is advised, particularly during treatment initiation and dose increases.
The concomitant use of citalopram with serotonin precursors (such as tryptophan) is not recommended. Treatment with citalopram and any concomitant serotonergic or antidopaminergic agents, including antipsychotics, should be discontinued immediately if the above events occur and supportive symptomatic treatment should be initiated.
Discontinuation Of Treatment With Citalopram
During marketing of citalopram and other SSRIs and SNRIs (serotonin and norepinephrine reuptake inhibitors), there have been spontaneous reports of adverse events occurring upon discontinuation of these drugs, particularly when abrupt, including the following: dysphoric mood, irritability, agitation, dizziness, sensory disturbances (e.g., paresthesias such as electric shock sensations), anxiety, confusion, headache, lethargy, emotional lability, insomnia, and hypomania. While these events are generally self-limiting, there have been reports of serious discontinuation symptoms.
Patients should be monitored for these symptoms when discontinuing treatment with citalopram. A gradual reduction in the dose rather than abrupt cessation is recommended whenever possible. If intolerable symptoms occur following a decrease in the dose or upon discontinuation of treatment, then resuming the previously prescribed dose may be considered. Subsequently, the physician may continue decreasing the dose but at a more gradual rate (see DOSAGE AND ADMINISTRATION).
Abnormal Bleeding
SSRIs and SNRIs, including citalopram, may increase the risk of bleeding events. Concomitant use of aspirin, non-steroidal anti-inflammatory drugs, warfarin, and other anticoagulants may add to the risk. Case reports and epidemiological studies (case-control and cohort design) have demonstrated an association between use of drugs that interfere with serotonin reuptake and the occurrence of gastrointestinal bleeding. Bleeding events related to SSRIs and SNRIs use have ranged from ecchymoses, hematomas, epistaxis, and petechiae to life-threatening hemorrhages.
Patients should be cautioned about the risk of bleeding associated with the concomitant use of citalopram and NSAIDs, aspirin, or other drugs that affect coagulation.
Hyponatremia
Hyponatremia may occur as a result of treatment with SSRIs and SNRIs, including citalopram. In many cases, this hyponatremia appears to be the result of the syndrome of inappropriate antidiuretic hormone secretion (SIADH), and was reversible when citalopram was discontinued. Cases with serum sodium lower than 110 mmol/L have been reported. Elderly patients may be at greater risk of developing hyponatremia with SSRIs and SNRIs. Also, patients taking diuretics or who are otherwise volume depleted may be at greater risk (see Geriatric Use). Discontinuation of citalopram should be considered in patients with symptomatic hyponatremia and appropriate medical intervention should be instituted.
Signs and symptoms of hyponatremia include headache, difficulty concentrating, memory impairment, confusion, weakness, and unsteadiness, which may lead to falls. Signs and symptoms associated with more severe and/or acute cases have included hallucination, syncope, seizure, coma, respiratory arrest, and death.
Activation Of Mania/Hypomania
In placebo-controlled trials of citalopram, some of which included patients with bipolar disorder, activation of mania/hypomania was reported in 0.2% of 1063 patients treated with citalopram and in none of the 446 patients treated with placebo. Activation of mania/hypomania has also been reported in a small proportion of patients with major affective disorders treated with other marketed antidepressants. As with all antidepressants, citalopram should be used cautiously in patients with a history of mania.
Seizures
Although anticonvulsant effects of citalopram have been observed in animal studies, citalopram has not been systematically evaluated in patients with a seizure disorder. These patients were excluded from clinical studies during the product's premarketing testing. In clinical trials of citalopram, seizures occurred in 0.3% of patients treated with citalopram (a rate of one patient per 98 years of exposure) and 0.5% of patients treated with placebo (a rate of one patient per 50 years of exposure). Like other antidepressants, citalopram should be introduced with care in patients with a history of seizure disorder.
Interference With Cognitive And Motor Performance
In studies in normal volunteers, citalopram in doses of 40 mg/day did not produce impairment of intellectual function or psychomotor performance. Because any psychoactive drug may impair judgment, thinking, or motor skills, however, patients should be cautioned about operating hazardous machinery, including automobiles, until they are reasonably certain that citalopram therapy does not affect their ability to engage in such activities.
Use In Patients With Concomitant Illness
Clinical experience with citalopram in patients with certain concomitant systemic illnesses is limited. Due to the risk of QT prolongation, citalopram use should be avoided in patients with certain cardiac conditions, and ECG monitoring is advised if citalopram must be used in such patients. Electrolytes should be monitored in treating patients with diseases or conditions that cause hypokalemia or hypomagnesemia (see WARNINGS).
In subjects with hepatic impairment, citalopram clearance was decreased and plasma concentrations were increased. The use of citalopram in hepatically impaired patients should be approached with caution and a lower maximum dosage is recommended (see DOSAGE AND ADMINISTRATION).
Because citalopram is extensively metabolized, excretion of unchanged drug in urine is a minor route of elimination. Until adequate numbers of patients with severe renal impairment have been evaluated during chronic treatment with citalopram, however, it should be used with caution in such patients (see DOSAGE AND ADMINISTRATION).
Information For Patients
Physicians are advised to discuss the following issues with patients for whom they prescribe citalopram.
Patients should be cautioned about the risk of serotonin syndrome with the concomitant use of citalopram and triptans, tramadol or other serotonergic agents.
Although in controlled studies citalopram has not been shown to impair psychomotor performance, any psychoactive drug may impair judgment, thinking, or motor skills, so patients should be cautioned about operating hazardous machinery, including automobiles, until they are reasonably certain that citalopram therapy does not affect their ability to engage in such activities.
Patients should be told that, although citalopram has not been shown in experiments with normal subjects to increase the mental and motor skill impairments caused by alcohol, the concomitant use of citalopram and alcohol in depressed patients is not advised.
Patients should be advised to inform their physician if they are taking, or plan to take, any prescription or over-the-counter drugs, as there is a potential for interactions.
Patients should be cautioned about the concomitant use of citalopram and NSAIDs, aspirin, warfarin, or other drugs that affect coagulation since combined use of psychotropic drugs that interfere with serotonin reuptake and these agents has been associated with an increased risk of bleeding.
Patients should be advised to notify their physician if they become pregnant or intend to become pregnant during therapy.
Patients should be advised to notify their physician if they are breastfeeding an infant.
While patients may notice improvement with citalopram therapy in 1 to 4 weeks, they should be advised to continue therapy as directed.
Prescribers or other health professionals should inform patients, their families, and their caregivers about the benefits and risks associated with treatment with citalopram tablets and should counsel them in their appropriate use. A patient Medication Guide about “Antidepressant Medicines, Depression and other Serious Mental Illness, and Suicidal Thoughts or Actions” is available for citalopram tablets. The prescriber or health professional should instruct patients, their families, and their caregivers to read the Medication Guide and should assist them in understanding its contents. Patients should be given the opportunity to discuss the contents of the Medication Guide and to obtain answers to any questions they may have. The complete text of the Medication Guide is reprinted at the end of this document.
Patients should be advised of the following issues and asked to alert their prescriber if these occur while taking citalopram tablets.
Laboratory Tests
There are no specific laboratory tests recommended.
Serotonergic Drugs
Based on the mechanism of action of SNRIs and SSRIs including citalopram, and the potential for serotonin syndrome, caution is advised when citalopram is coadministered with other drugs that may affect the serotonergic neurotransmitter systems, such as triptans, linezolid (an antibiotic which is a reversible non-selective MAOI), lithium, tramadol, or St. John's Wort (see WARNINGS,Serotonin Syndrome). The concomitant use of citalopram with other SSRIs, SNRIs or tryptophan is not recommended (see PRECAUTIONS, Drug Interactions).
Triptans
There have been rare postmarketing reports of serotonin syndrome with use of an SSRI and a triptan. If concomitant treatment of citalopram with a triptan is clinically warranted, careful observation of the patient is advised, particularly during treatment initiation and dose increases (see WARNINGS, Serotonin Syndrome).
Cns Drugs
Given the primary CNS effects of citalopram, caution should be used when it is taken in combination with other centrally acting drugs.
Alcohol
Although citalopram did not potentiate the cognitive and motor effects of alcohol in a clinical trial, as with other psychotropic medications, the use of alcohol by depressed patients taking citalopram is not recommended.
Monoamine Oxidase Inhibitors (Maois)
See CONTRAINDICATIONS and WARNINGS.
Drugs That Interfere With Hemostasis (Nsaids, Aspirin, Warfarin, Etc.)
Serotonin release by platelets plays an important role in hemostasis. Epidemiological studies of the case-control and cohort design that have demonstrated an association between use of psychotropic drugs that interfere with serotonin reuptake and the occurrence of upper gastrointestinal bleeding have also shown that concurrent use of an NSAID or aspirin may potentiate the risk of bleeding. Altered anticoagulant effects, including increased bleeding, have been reported when SSRIs and SNRIs are coadministered with warfarin. Patients receiving warfarin therapy should be carefully monitored when citalopram is initiated or discontinued.
Cimetidine
In subjects who had received 21 days of 40 mg/day citalopram, combined administration of 400 mg/day cimetidine for 8 days resulted in an increase in citalopram AUC and Cmax of 43% and 39%, respectively.
Citalopram 20 mg/day is the maximum recommended dose for patients taking concomitant cimetidine because of the risk of QT prolongation (see WARNINGS and DOSAGE AND ADMINISTRATION).
Digoxin
In subjects who had received 21 days of 40 mg/day citalopram, combined administration of citalopram and digoxin (single dose of 1 mg) did not significantly affect the pharmacokinetics of either citalopram or digoxin.
Lithium
Coadministration of citalopram (40 mg/day for 10 days) and lithium (30 mmol/day for 5 days) had no significant effect on the pharmacokinetics of citalopram or lithium. Nevertheless, plasma lithium levels should be monitored with appropriate adjustment to the lithium dose in accordance with standard clinical practice. Because lithium may enhance the serotonergic effects of citalopram, caution should be exercised when citalopram and lithium are coadministered.
Pimozide
In a controlled study, a single dose of pimozide 2 mg coadministered with citalopram 40 mg given once daily for 11 days was associated with a mean increase in QTc values of approximately 10 msec compared to pimozide given alone. Citalopram did not alter the mean AUC or Cmax of pimozide. The mechanism of this pharmacodynamic interaction is not known.
Theophylline
Combined administration of citalopram (40 mg/day for 21 days) and the CYP1A2 substrate theophylline (single dose of 300 mg) did not affect the pharmacokinetics of theophylline. The effect of theophylline on the pharmacokinetics of citalopram was not evaluated.
Sumatriptan
There have been rare postmarketing reports describing patients with weakness, hyperreflexia, and incoordination following the use of an SSRI and sumatriptan. If concomitant treatment with sumatriptan and an SSRI (e.g., fluoxetine, fluvoxamine, paroxetine, sertraline, citalopram) is clinically warranted, appropriate observation of the patient is advised.
Warfarin
Administration of 40 mg/day citalopram for 21 days did not affect the pharmacokinetics of warfarin, a CYP3A4 substrate. Prothrombin time was increased by 5%, the clinical significance of which is unknown.
Carbamazepine
Combined administration of citalopram (40 mg/day for 14 days) and carbamazepine (titrated to 400 mg/day for 35 days) did not significantly affect the pharmacokinetics of carbamazepine, a CYP3A4 substrate. Although trough citalopram plasma levels were unaffected, given the enzyme-inducing properties of carbamazepine, the possibility that carbamazepine might increase the clearance of citalopram should be considered if the two drugs are coadministered.
Triazolam
Combined administration of citalopram (titrated to 40 mg/day for 28 days) and the CYP3A4 substrate triazolam (single dose of 0.25 mg) did not significantly affect the pharmacokinetics of either citalopram or triazolam.
Ketoconazole
Combined administration of citalopram (40 mg) and ketoconazole (200 mg) decreased the Cmax and AUC of ketoconazole by 21% and 10%, respectively, and did not significantly affect the pharmacokinetics of citalopram.
Cyp2c19 Inhibitors
Citalopram 20 mg/day is the maximum recommended dose for patients taking concomitant CYP2C19 inhibitors because of the risk of QT prolongation (see WARNINGS, DOSAGE AND ADMINISTRATION, and CLINICAL PHARMACOLOGY).
Metoprolol
Administration of 40 mg/day citalopram for 22 days resulted in a two-fold increase in the plasma levels of the beta-adrenergic blocker metoprolol. Increased metoprolol plasma levels have been associated with decreased cardioselectivity. Coadministration of citalopram and metoprolol had no clinically significant effects on blood pressure or heart rate.
Imipramine And Other Tricyclic Antidepressants (Tcas)
In vitro studies suggest that citalopram is a relatively weak inhibitor of CYP2D6. Coadministration of citalopram (40 mg/day for 10 days) with the TCA imipramine (single dose of 100 mg), a substrate for CYP2D6, did not significantly affect the plasma concentrations of imipramine or citalopram. However, the concentration of the imipramine metabolite desipramine was increased by approximately 50%. The clinical significance of the desipramine change is unknown. Nevertheless, caution is indicated in the coadministration of TCAs with citalopram.
Electroconvulsive Therapy (Ect)
There are no clinical studies of the combined use of electroconvulsive therapy (ECT) and citalopram.
Carcinogenesis
Citalopram was administered in the diet to NMRI/BOM strain mice and COBS WI strain rats for 18 and 24 months, respectively. There was no evidence for carcinogenicity of citalopram in mice receiving up to 240 mg/kg/day, which is equivalent to 20 times the maximum recommended human daily dose (MRHD) of 60 mg on a surface area (mg/m2) basis. There was an increased incidence of small intestine carcinoma in rats receiving 8 or 24 mg/kg/day, doses which are approximately 1.3 and 4 times the MRHD, respectively, on a mg/m2 basis. A no-effect dose for this finding was not established. The relevance of these findings to humans is unknown.
Mutagenesis
Citalopram was mutagenic in the in vitro bacterial reverse mutation assay (Ames test) in 2 of 5 bacterial strains (Salmonella TA98 and TA1537) in the absence of metabolic activation. It was clastogenic in the in vitro Chinese hamster lung cell assay for chromosomal aberrations in the presence and absence of metabolic activation. Citalopram was not mutagenic in the in vitro mammalian forward gene mutation assay (HPRT) in mouse lymphoma cells or in a coupled in vitro/in vivo unscheduled DNA synthesis (UDS) assay in rat liver. It was not clastogenic in the in vitro chromosomal aberration assay in human lymphocytes or in two in vivo mouse micronucleus assays.
Impairment Of Fertility
When citalopram was administered orally to 16 male and 24 female rats prior to and throughout mating and gestation at doses of 32, 48, and 72 mg/kg/day, mating was decreased at all doses, and fertility was decreased at doses ≥ 32 mg/kg/day, approximately 5 times the MRHD of 60 mg/day on a body surface area (mg/m2) basis. Gestation duration was increased at 48 mg/kg/day, approximately 8 times the MRHD.
Pregnancy Category C
In animal reproduction studies, citalopram has been shown to have adverse effects on embryo/fetal and postnatal development, including teratogenic effects, when administered at doses greater than human therapeutic doses.
In two rat embryo/fetal development studies, oral administration of citalopram (32, 56, or 112 mg/kg/day) to pregnant animals during the period of organogenesis resulted in decreased embryo/fetal growth and survival and an increased incidence of fetal abnormalities (including cardiovascular and skeletal defects) at the high dose, which is approximately 18 times the MRHD of 60 mg/day on a body surface area (mg/m2) basis. This dose was also associated with maternal toxicity (clinical signs, decreased body weight gain). The developmental, no-effect dose of 56 mg/kg/day is approximately 9 times the MRHD on a mg/m2 basis. In a rabbit study, no adverse effects on embryo/fetal development were observed at doses of up to 16 mg/kg/day, or approximately 5 times the MRHD on a mg/m2 basis. Thus, teratogenic effects were observed at a maternally toxic dose in the rat and were not observed in the rabbit.
When female rats were treated with citalopram (4.8, 12.8, or 32 mg/kg/day) from late gestation through weaning, increased offspring mortality during the first 4 days after birth and persistent offspring growth retardation were observed at the highest dose, which is approximately 5 times the MRHD on a mg/m2 basis. The no-effect dose of 12.8 mg/kg/day is approximately 2 times the MRHD on a mg/m2 basis. Similar effects on offspring mortality and growth were seen when dams were treated throughout gestation and early lactation at doses ≥ 24 mg/kg/day, approximately 4 times the MRHD on a mg/m2 basis. A no-effect dose was not determined in that study.
There are no adequate and well-controlled studies in pregnant women; therefore, citalopram should be used during pregnancy only if the potential benefit justifies the potential risk to the fetus.
Nonteratogenic Effects
Neonates exposed to citalopram and other SSRIs or SNRIs, late in the third trimester, have developed complications requiring prolonged hospitalization, respiratory support, and tube feeding. Such complications can arise immediately upon delivery. Reported clinical findings have included respiratory distress, cyanosis, apnea, seizures, temperature instability, feeding difficulty, vomiting, hypoglycemia, hypotonia, hypertonia, hyperreflexia, tremor, jitteriness, irritability, and constant crying. These features are consistent with either a direct toxic effect of SSRIs and SNRIs or, possibly, a drug discontinuation syndrome. It should be noted that, in some cases, the clinical picture is consistent with serotonin syndrome (see WARNINGS).
Infants exposed to SSRIs in late pregnancy may have an increased risk for persistent pulmonary hypertension of the newborn (PPHN). PPHN occurs in 1 to 2 per 1000 live births in the general population and is associated with substantial neonatal morbidity and mortality. In a retrospective, case-control study of 377 women whose infants were born with PPHN and 836 women whose infants were born healthy, the risk for developing PPHN was approximately six-fold higher for infants exposed to SSRIs after the 20th week of gestation compared to infants who had not been exposed to antidepressants during pregnancy. There is currently no corroborative evidence regarding the risk for PPHN following exposure to SSRIs in pregnancy; this is the first study that has investigated the potential risk. The study did not include enough cases with exposure to individual SSRIs to determine if all SSRIs posed similar levels of PPHN risk.
When treating a pregnant woman with citalopram during the third trimester, the physician should carefully consider both the potential risks and benefits of treatment (see DOSAGE AND ADMINISTRATION). Physicians should note that in a prospective longitudinal study of 201 women with a history of major depression who were euthymic at the beginning of pregnancy, women who discontinued antidepressant medication during pregnancy were more likely to experience a relapse of major depression than women who continued antidepressant medication.
Labor And Delivery
The effect of citalopram on labor and delivery in humans is unknown.
Nursing Mothers
As has been found to occur with many other drugs, citalopram is excreted in human breast milk. There have been two reports of infants experiencing excessive somnolence, decreased feeding, and weight loss in association with breastfeeding from a citalopram-treated mother; in one case, the infant was reported to recover completely upon discontinuation of citalopram by its mother and in the second case, no follow-up information was available. The decision whether to continue or discontinue either nursing or citalopram therapy should take into account the risks of citalopram exposure for the infant and the benefits of citalopram treatment for the mother.
Pediatric Use
Safety and effectiveness in the pediatric population have not been established (see BOXED WARNING and WARNINGS, Clinical Worsening and Suicide Risk). Two placebo-controlled trials in 407 pediatric patients with MDD have been conducted with citalopram, and the data were not sufficient to support a claim for use in pediatric patients. Anyone considering the use of citalopram in a child or adolescent must balance the potential risks with the clinical need.
Decreased appetite and weight loss have been observed in association with the use of SSRIs. Consequently, regular monitoring of weight and growth should be performed in children and adolescents treated with citalopram.
Geriatric Use
Of 4422 patients in clinical studies of citalopram, 1357 were 60 and over, 1034 were 65 and over, and 457 were 75 and over. No overall differences in safety or effectiveness were observed between these subjects and younger subjects, and other reported clinical experience has not identified differences in responses between the elderly and younger patients, but greater sensitivity of some older individuals cannot be ruled out. Most elderly patients treated with citalopram in clinical trials received daily doses between 20 and 40 mg (see DOSAGE AND ADMINISTRATION).
SSRIs and SNRIs, including citalopram, have been associated with cases of clinically significant hyponatremia in elderly patients, who may be at greater risk for this adverse event (see PRECAUTIONS, Hyponatremia).
In two pharmacokinetic studies, citalopram AUC was increased by 23% and 30%, respectively, in subjects ≥ 60 years of age as compared to younger subjects, and its half-life was increased by 30% and 50%, respectively (see CLINICAL PHARMACOLOGY).
20 mg/day is the maximum recommended dose for patients who are greater than 60 years of age (see WARNINGS and DOSAGE AND ADMINISTRATION).
Adverse Reactions
The premarketing development program for citalopram included citalopram exposures in patients and/or normal subjects from 3 different groups of studies: 429 normal subjects in clinical pharmacology/pharmacokinetic studies; 4422 exposures from patients in controlled and uncontrolled clinical trials, corresponding to approximately 1370 patient-exposure years. There were, in addition, over 19,000 exposures from mostly open-label, European postmarketing studies. The conditions and duration of treatment with citalopram varied greatly and included (in overlapping categories) open-label and double-blind studies, inpatient and outpatient studies, fixed-dose and dose-titration studies, and short-term and long-term exposure. Adverse reactions were assessed by collecting adverse events, results of physical examinations, vital signs, weights, laboratory analyses, ECGs, and results of ophthalmologic examinations.
Adverse events during exposure were obtained primarily by general inquiry and recorded by clinical investigators using terminology of their own choosing. Consequently, it is not possible to provide a meaningful estimate of the proportion of individuals experiencing adverse events without first grouping similar types of events into a smaller number of standardized event categories. In the tables and tabulations that follow, standard World Health Organization (WHO) terminology has been used to classify reported adverse events.
The stated frequencies of adverse events represent the proportion of individuals who experienced, at least once, a treatment-emergent adverse event of the type listed. An event was considered treatment-emergent if it occurred for the first time or worsened while receiving therapy following baseline evaluation.
Adverse Events Associated With Discontinuation Of Treatment
Among 1063 depressed patients who received citalopram at doses ranging from 10 to 80 mg/day in placebo-controlled trials of up to 6 weeks in duration, 16% discontinued treatment due to an adverse event, as compared to 8% of 446 patients receiving placebo. The adverse events associated with discontinuation and considered drug-related (i.e., associated with discontinuation in at least 1% of citalopram-treated patients at a rate at least twice that of placebo) are shown in TABLE 2. It should be noted that one patient can report more than one reason for discontinuation and be counted more than once in this table.
| Percentage of Patients Discontinuing Due to Adverse Event | ||
| Body System/Adverse Event | Citalopram | Placebo |
| (N = 1063) | (N = 446) | |
| General | ||
| Asthenia | 1% | < 1% |
| Gastrointestinal Disorders | ||
| Nausea | 4% | 0% |
| Dry Mouth | 1% | < 1% |
| Vomiting | 1% | 0% |
| Central and Peripheral Nervous System Disorders | ||
| Dizziness | 2% | < 1% |
| Psychiatric Disorders | ||
| Insomnia | 3% | 1% |
| Somnolence | 2% | 1% |
| Agitation | 1% | < 1% |
Adverse Events Occurring At An Incidence Of 2% Or More Among Citalopram-Treated Patients
TABLE 3 enumerates the incidence, rounded to the nearest percent, of treatment-emergent adverse events that occurred among 1063 depressed patients who received citalopram at doses ranging from 10 to 80 mg/day in placebo-controlled trials of up to 6 weeks in duration. Events included are those occurring in 2% or more of patients treated with citalopram and for which the incidence in patients treated with citalopram was greater than the incidence in placebo-treated patients.
The prescriber should be aware that these figures cannot be used to predict the incidence of adverse events in the course of usual medical practice where patient characteristics and other factors differ from those which prevailed in the clinical trials. Similarly, the cited frequencies cannot be compared with figures obtained from other clinical investigations involving different treatments, uses, and investigators. The cited figures, however, do provide the prescribing physician with some basis for estimating the relative contribution of drug and non-drug factors to the adverse event incidence rate in the population studied.
The only commonly observed adverse event that occurred in citalopram patients with an incidence of 5% or greater and at least twice the incidence in placebo patients was ejaculation disorder (primarily ejaculatory delay) in male patients (see TABLE 3).
| (Percentage of Patients Reporting Event) | ||
| Body System/Adverse Event | Citalopram | Placebo |
| (N = 1063) | (N = 446) | |
| Autonomic Nervous System Disorders | ||
| Dry Mouth | 20% | 14% |
| Sweating Increased | 11% | 9% |
| Central & Peripheral Nervous System Disorders | ||
| Tremor | 8% | 6% |
| Gastrointestinal Disorders | ||
| Nausea | 21% | 14% |
| Diarrhea | 8% | 5% |
| Dyspepsia | 5% | 4% |
| Vomiting | 4% | 3% |
| Abdominal Pain | 3% | 2% |
| General | ||
| Fatigue | 5% | 3% |
| Fever | 2% | < 1% |
| Musculoskeletal System Disorders | ||
| Arthralgia | 2% | 1% |
| Myalgia | 2% | 1% |
| Psychiatric Disorders | ||
| Somnolence | 18% | 10% |
| Insomnia | 15% | 14% |
| Anxiety | 4% | 3% |
| Anorexia | 4% | 2% |
| Agitation | 3% | 1% |
| Dysmenorrhea Denominator used was for females only (N = 638 citalopram; N = 252 placebo). | 3% | 2% |
| Libido Decreased | 2% | < 1% |
| Yawning | 2% | < 1% |
| Respiratory System Disorders | ||
| Upper Respiratory Tract Infection | 5% | 4% |
| Rhinitis | 5% | 3% |
| Sinusitis | 3% | < 1% |
| Urogenital | ||
| Ejaculation Disorder Primarily ejaculatory delay. ,Denominator used was for males only (N = 425 citalopram; N = 194 placebo). | 6% | 1% |
| Impotence | 3% | < 1% |
Dose Dependency Of Adverse Events
The potential relationship between the dose of citalopram administered and the incidence of adverse events was examined in a fixed-dose study in depressed patients receiving placebo or citalopram 10, 20, 40, and 60 mg. Jonckheere's trend test revealed a positive dose response (p < 0.05) for the following adverse events: fatigue, impotence, insomnia, sweating increased, somnolence, and yawning.
Male And Female Sexual Dysfunction With Ssris
Although changes in sexual desire, sexual performance, and sexual satisfaction often occur as manifestations of a psychiatric disorder, they may also be a consequence of pharmacologic treatment. In particular, some evidence suggests that SSRIs can cause such untoward sexual experiences.
Reliable estimates of the incidence and severity of untoward experiences involving sexual desire, performance, and satisfaction are difficult to obtain, however, in part because patients and physicians may be reluctant to discuss them. Accordingly, estimates of the incidence of untoward sexual experience and performance cited in product labeling, are likely to underestimate their actual incidence.
The table below displays the incidence of sexual side effects reported by at least 2% of patients taking citalopram in a pool of placebo-controlled clinical trials in patients with depression.
| Treatment | Citalopram | Placebo |
| (425 males) | (194 males) | |
| Abnormal Ejaculation (mostly ejaculatory delay) | 6.1% (males only) | 1% (males only) |
| Libido Decreased | 3.8% (males only) | < 1% (males only) |
| Impotence | 2.8% (males only) | < 1% (males only) |
In female depressed patients receiving citalopram, the reported incidence of decreased libido and anorgasmia was 1.3% (n = 638 females) and 1.1% (n = 252 females), respectively.
There are no adequately designed studies examining sexual dysfunction with citalopram treatment.
Priapism has been reported with all SSRIs.
While it is difficult to know the precise risk of sexual dysfunction associated with the use of SSRIs, physicians should routinely inquire about such possible side effects.
Vital Sign Changes
Citalopram and placebo groups were compared with respect to (1) mean change from baseline in vital signs (pulse, systolic blood pressure, and diastolic blood pressure) and (2) the incidence of patients meeting criteria for potentially clinically significant changes from baseline in these variables. These analyses did not reveal any clinically important changes in vital signs associated with citalopram treatment. In addition, a comparison of supine and standing vital sign measures for citalopram and placebo treatments indicated that citalopram treatment is not associated with orthostatic changes.
Weight Changes
Patients treated with citalopram in controlled trials experienced a weight loss of about 0.5 kg compared to no change for placebo patients.
Laboratory Changes
Citalopram and placebo groups were compared with respect to (1) mean change from baseline in various serum chemistry, hematology, and urinalysis variables, and (2) the incidence of patients meeting criteria for potentially clinically significant changes from baseline in these variables. These analyses revealed no clinically important changes in laboratory test parameters associated with citalopram treatment.
Ecg Changes
In a thorough QT study, citalopram was found to be associated with a dose-dependent increase in the QTc interval (see WARNINGS, QT-Prolongation and Torsade de Pointes).
Electrocardiograms from citalopram (N = 802) and placebo (N = 241) groups were compared with respect to outliers defined as subjects with QTc changes over 60 msec from baseline or absolute values over 500 msec post-dose, and subjects with heart rate increases to over 100 bpm or decreases to less than 50 bpm with a 25% change from baseline (tachycardic or bradycardic outliers, respectively). In the citalopram group 1.9% of the patients had a change from baseline in QTcF > 60 msec compared to 1.2% of the patients in the placebo group. None of the patients in the placebo group had a post-dose QTcF > 500 msec compared to 0.5% of the patients in the citalopram group. The incidence of tachycardic outliers was 0.5% in the citalopram group and 0.4% in the placebo group. The incidence of bradycardic outliers was 0.9% in the citalopram group and 0.4% in the placebo group.
Other Events Observed During The Premarketing Evaluation Of Citalopram Hbr
Following is a list of WHO terms that reflect treatment-emergent adverse events, as defined in the introduction to the ADVERSE REACTIONS section, reported by patients treated with citalopram at multiple doses in a range of 10 to 80 mg/day during any phase of a trial within the premarketing database of 4422 patients. All reported events are included except those already listed in TABLE 3 or elsewhere in labeling, those events for which a drug cause was remote, those event terms which were so general as to be uninformative, and those occurring in only one patient. It is important to emphasize that, although the events reported occurred during treatment with citalopram, they were not necessarily caused by it.
Events are further categorized by body system and listed in order of decreasing frequency according to the following definitions: frequent adverse events are those occurring on one or more occasions in at least 1/100 patients; infrequent adverse events are those occurring in less than 1/100 patients but at least 1/1000 patients; rare events are those occurring in fewer than 1/1000 patients.
Cardiovascular - Frequent: tachycardia, postural hypotension, hypotension. Infrequent: hypertension, bradycardia, edema (extremities), angina pectoris, extrasystoles, cardiac failure, flushing, myocardial infarction, cerebrovascular accident, myocardial ischemia. Rare: transient ischemic attack, phlebitis, atrial fibrillation, cardiac arrest, bundle branch block.
Central and Peripheral Nervous System Disorders - Frequent: paresthesia, migraine. Infrequent: hyperkinesia, vertigo, hypertonia, extrapyramidal disorder, leg cramps, involuntary muscle contractions, hypokinesia, neuralgia, dystonia, abnormal gait, hypesthesia, ataxia. Rare: abnormal coordination, hyperesthesia, ptosis, stupor.
Endocrine Disorders - Rare: hypothyroidism, goiter, gynecomastia.
Gastrointestinal Disorders - Frequent: saliva increased, flatulence. Infrequent: gastritis, gastroenteritis, stomatitis, eructation, hemorrhoids, dysphagia, teeth grinding, gingivitis, esophagitis. Rare: colitis, gastric ulcer, cholecystitis, cholelithiasis, duodenal ulcer, gastroesophageal reflux, glossitis, jaundice, diverticulitis, rectal hemorrhage, hiccups.
General - Infrequent: hot flushes, rigors, alcohol intolerance, syncope, influenza-like symptoms. Rare: hayfever.
Hemic and Lymphatic Disorders - Infrequent: purpura, anemia, epistaxis, leukocytosis, leucopenia, lymphadenopathy. Rare: pulmonary embolism, granulocytopenia, lymphocytosis, lymphopenia, hypochromic anemia, coagulation disorder, gingival bleeding.
Metabolic and Nutritional Disorders - Frequent: decreased weight, increased weight. Infrequent: increased hepatic enzymes, thirst, dry eyes, increased alkaline phosphatase, abnormal glucose tolerance. Rare: bilirubinemia, hypokalemia, obesity, hypoglycemia, hepatitis, dehydration.
Musculoskeletal System Disorders - Infrequent: arthritis, muscle weakness, skeletal pain. Rare: bursitis, osteoporosis.
Psychiatric Disorders - Frequent: impaired concentration, amnesia, apathy, depression, increased appetite, aggravated depression, suicide attempt, confusion. Infrequent: increased libido, aggressive reaction, paroniria, drug dependence, depersonalization, hallucination, euphoria, psychotic depression, delusion, paranoid reaction, emotional lability, panic reaction, psychosis. Rare: catatonic reaction, melancholia.
Reproductive Disorders/Female* - Frequent: amenorrhea. Infrequent: galactorrhea, breast pain, breast enlargement, vaginal hemorrhage.
* % based on female subjects only: 2955
Respiratory System Disorders - Frequent: coughing. Infrequent: bronchitis, dyspnea, pneumonia. Rare: asthma, laryngitis, bronchospasm, pneumonitis, sputum increased.
Skin and Appendages Disorders - Frequent: rash, pruritus. Infrequent: photosensitivity reaction, urticaria, acne, skin discoloration, eczema, alopecia, dermatitis, skin dry, psoriasis. Rare: hypertrichosis, decreased sweating, melanosis, keratitis, cellulitis, pruritus ani.
Special Senses - Frequent: accommodation abnormal, taste perversion. Infrequent: tinnitus, conjunctivitis, eye pain. Rare: mydriasis, photophobia, diplopia, abnormal lacrimation, cataract, taste loss.
Urinary System Disorders - Frequent: polyuria. Infrequent: micturition frequency, urinary incontinence, urinary retention, dysuria. Rare: facial edema, hematuria, oliguria, pyelonephritis, renal calculus, renal pain.
Other Events Observed During The Postmarketing Evaluation Of Citalopram Hbr
It is estimated that over 30 million patients have been treated with citalopram since market introduction. Although no causal relationship to citalopram treatment has been found, the following adverse events have been reported to be temporally associated with citalopram treatment, and have not been described elsewhere in labeling: acute renal failure, akathisia, allergic reaction, anaphylaxis, angioedema, choreoathetosis, chest pain, delirium, dyskinesia, ecchymosis, epidermal necrolysis, erythema multiforme, gastrointestinal hemorrhage, glaucoma, grand mal convulsions, hemolytic anemia, hepatic necrosis, myoclonus, nystagmus, pancreatitis, priapism, prolactinemia, prothrombin decreased, QT prolonged, rhabdomyolysis, spontaneous abortion, thrombocytopenia, thrombosis, ventricular arrhythmia, torsade de pointes, and withdrawal syndrome.
Controlled Substance Class
Citalopram HBr is not a controlled substance.
Physical And Psychological Dependence
Animal studies suggest that the abuse liability of citalopram is low. Citalopram has not been systematically studied in humans for its potential for abuse, tolerance, or physical dependence. The premarketing clinical experience with citalopram did not reveal any drug-seeking behavior. However, these observations were not systematic and it is not possible to predict, on the basis of this limited experience, the extent to which a CNS-active drug will be misused, diverted, and/or abused once marketed. Consequently, physicians should carefully evaluate citalopram patients for history of drug abuse and follow such patients closely, observing them for signs of misuse or abuse (e.g., development of tolerance, incrementations of dose, drug-seeking behavior).
Human Experience
In clinical trials of citalopram, there were reports of citalopram overdose, including overdoses of up to 2000 mg, with no associated fatalities. During the postmarketing evaluation of citalopram, citalopram overdoses, including overdoses of up to 6000 mg, have been reported. As with other SSRIs, a fatal outcome in a patient who has taken an overdose of citalopram has been rarely reported.
Symptoms most often accompanying citalopram overdose, alone or in combination with other drugs and/or alcohol, included dizziness, sweating, nausea, vomiting, tremor, somnolence, and sinus tachycardia. In more rare cases, observed symptoms included amnesia, confusion, coma, convulsions, hyperventilation, cyanosis, rhabdomyolysis, and ECG changes (including QTc prolongation, nodal rhythm, ventricular arrhythmia, and very rare cases of torsade de pointes). Acute renal failure has been very rarely reported accompanying overdose.
Management Of Overdose
Establish and maintain an airway to ensure adequate ventilation and oxygenation. Gastric evacuation by lavage and use of activated charcoal should be considered. Careful observation and cardiac and vital sign monitoring are recommended, along with general symptomatic and supportive care. Due to the large volume of distribution of citalopram, forced diuresis, dialysis, hemoperfusion, and exchange transfusion are unlikely to be of benefit. There are no specific antidotes for citalopram.
In managing overdosage, consider the possibility of multiple-drug involvement. The physician should consider contacting a poison control center for additional information on the treatment of any overdose.
Dosage And Administration
Citalopram tablets USP should be administered once daily, in the morning or evening, with or without food.
Initial Treatment
Citalopram tablets USP should be administered at an initial dose of 20 mg once daily, with an increase to a maximum dose of 40 mg/day at an interval of no less than one week. Doses above 40 mg/day are not recommended due to the risk of QT prolongation. Additionally, the only study pertinent to dose response for effectiveness did not demonstrate an advantage for the 60 mg/day dose over the 40 mg/day dose.
Special Populations
20 mg/day is the maximum recommended dose for patients who are greater than 60 years of age, patients with hepatic impairment, and for CYP2C19 poor metabolizers or those patients taking cimetidine or another CYP2C19 inhibitor. (see WARNINGS)
No dosage adjustment is necessary for patients with mild or moderate renal impairment. Citalopram should be used with caution in patients with severe renal impairment.
Treatment Of Pregnant Women During The Third Trimester
Neonates exposed to citalopram and other SSRIs or SNRIs, late in the third trimester, have developed complications requiring prolonged hospitalization, respiratory support, and tube feeding (see PRECAUTIONS). When treating pregnant women with citalopram tablets USP during the third trimester, the physician should carefully consider the potential risks and benefits of treatment. The physician may consider tapering citalopram tablets USP in the third trimester.
Maintenance Treatment
It is generally agreed that acute episodes of depression require several months or longer of sustained pharmacologic therapy. Systematic evaluation of citalopram in two studies has shown that its antidepressant efficacy is maintained for periods of up to 24 weeks following 6 or 8 weeks of initial treatment (32 weeks total). In one study, patients were assigned randomly to placebo or to the same dose of citalopram (20 to 60 mg/day) during maintenance treatment as they had received during the acute stabilization phase, while in the other study, patients were assigned randomly to continuation of citalopram 20 or 40 mg/day, or placebo, for maintenance treatment. In the latter study, the rates of relapse to depression were similar for the two dose groups (see CLINICAL PHARMACOLOGY, Clinical Efficacy Trials). Based on these limited data, it is not known whether the dose of citalopram needed to maintain euthymia is identical to the dose needed to induce remission. If adverse reactions are bothersome, a decrease in dose to 20 mg/day can be considered.
Discontinuation Of Treatment With Citalopram Tablets Usp
Symptoms associated with discontinuation of citalopram and other SSRIs and SNRIs have been reported (see PRECAUTIONS). Patients should be monitored for these symptoms when discontinuing treatment. A gradual reduction in the dose rather than abrupt cessation is recommended whenever possible. If intolerable symptoms occur following a decrease in the dose or upon discontinuation of treatment, then resuming the previously prescribed dose may be considered. Subsequently, the physician may continue decreasing the dose but at a more gradual rate.
Switching Patients To Or From A Monoamine Oxidase Inhibitor
At least 14 days should elapse between discontinuation of an MAOI and initiation of citalopram tablet USP therapy. Similarly, at least 14 days should be allowed after stopping citalopram tablets USP before starting an MAOI (see CONTRAINDICATIONS and WARNINGS).
How Supplied
Citalopram tablets USP are available as follows:
10 mg: light-beige, convex capsule-shaped, unscored tablets, debossed “4740” on one side and “93” on the other side containing citalopram hydrobromide equivalent to 10 mg citalopram, packaged in bottles of 100 and 1000 tablets and unit-dose boxes of 100 tablets.
20 mg: light-pink, convex capsule-shaped, scored tablets, debossed “4741” on one side and “9” score “3” on the other side containing citalopram hydrobromide equivalent to 20 mg citalopram, packaged in bottles of 100, 500, and 5000 tablets and unit-dose boxes of 100 tablets.
40 mg: white to off-white, convex capsule-shaped, scored tablets, debossed “4742” on one side and “9” score “3” on the other side containing citalopram hydrobromide equivalent to 40 mg citalopram, packaged in bottles of 100, 500, and 5000 tablets and unit-dose boxes of 100 tablets.
Store at 20° to 25°C (68° to 77°F) [See USP Controlled Room Temperature].
Dispense in a tight container as defined in the USP. Use child-resistant closure (as required).
Retinal Changes In Rats
Pathologic changes (degeneration/atrophy) were observed in the retinas of albino rats in the 2 year carcinogenicity study with citalopram. There was an increase in both incidence and severity of retinal pathology in both male and female rats receiving 80 mg/kg/day (13 times the maximum recommended daily human dose of 60 mg on a mg/m2 basis). Similar findings were not present in rats receiving 24 mg/kg/day for two years, in mice treated for 18 months at doses up to 240 mg/kg/day, or in dogs treated for one year at doses up to 20 mg/kg/day (4, 20, and 10 times, respectively, the maximum recommended daily human dose on a mg/m2 basis).
Additional studies to investigate the mechanism for this pathology have not been performed, and the potential significance of this effect in humans has not been established.
Cardiovascular Changes In Dogs
In a one-year toxicology study, 5 of 10 beagle dogs receiving oral doses of 8 mg/kg/day (4 times the maximum recommended daily human dose of 60 mg on a mg/m2 basis) died suddenly between weeks 17 and 31 following initiation of treatment. Although appropriate data from that study are not available to directly compare plasma levels of citalopram (CT) and its metabolites, demethylcitalopram (DCT) and didemethylcitalopram (DDCT), to levels that have been achieved in humans, pharmacokinetic data indicate that the relative dog-to-human exposure was greater for the metabolites than for citalopram. Sudden deaths were not observed in rats at doses up to 120 mg/kg/day, which produced plasma levels of CT, DCT, and DDCT similar to those observed in dogs at doses of 8 mg/kg/day. A subsequent intravenous dosing study demonstrated that in beagle dogs, DDCT caused QT prolongation, a known risk factor for the observed outcome in dogs. This effect occurred in dogs at doses producing peak DDCT plasma levels of 810 to 3250 nM (39 to 155 times the mean steady state DDCT plasma level measured at the maximum recommended human daily dose of 60 mg). In dogs, peak DDCT plasma concentrations are approximately equal to peak CT plasma concentrations, whereas in humans, steady state DDCT plasma concentrations are less than 10% of steady state CT plasma concentrations. Assays of DDCT plasma concentrations in 2020 citalopram-treated individuals demonstrated that DDCT levels rarely exceeded 70 nM; the highest measured level of DDCT in human overdose was 138 nM. While DDCT is ordinarily present in humans at lower levels than in dogs, it is unknown whether there are individuals who may achieve higher DDCT levels. The possibility that DCT, a principal metabolite in humans, may prolong the QT interval in dogs has not been directly examined because DCT is rapidly converted to DDCT in that species.
TEVA PHARMACEUTICALS USA
Sellersville, PA 18960
Rev. G 3/2012
Medication Guide
Citalopram Tablets USP
Read the Medication Guide that comes with citalopram tablets before you start taking them and each time you get a refill. There may be new information. This Medication Guide does not take the place of talking to your healthcare provider about your medical condition or treatment. Talk with your healthcare provider if there is something you do not understand or want to learn more about.
What is the most important information I should know about citalopram tablets?
Citalopram tablets and other antidepressant medicines may cause serious side effects, including:
1. Suicidal thoughts or actions:
- Citalopram tablets and other antidepressant medicines may increase suicidal thoughts or actions in some children, teenagers, or young adults within the first few months of treatment or when the dose is changed.
- Depression or other serious mental illnesses are the most important causes of suicidal thoughts or actions.
- Watch for these changes and call your healthcare provider right away if you notice:
- New or sudden changes in mood, behavior, actions, thoughts, or feelings, especially if severe.
- Pay particular attention to such changes when citalopram tablets are started or when the dose is changed.
- attempts to commit suicide
- acting on dangerous impulses
- acting aggressive or violent
- thoughts about suicide or dying
- new or worse depression
- new or worse anxiety or panic attacks
- feeling agitated, restless, angry or irritable
- trouble sleeping
- an increase in activity or talking more than what is normal for you
- other unusual changes in behavior or mood
- chest pain
- fast or slow heartbeat
- shortness of breath
- dizziness or fainting
- agitation, hallucinations, coma or other changes in mental status
- coordination problems or muscle twitching (overactive reflexes)
- racing heartbeat, high or low blood pressure
- sweating or fever
- nausea, vomiting, or diarrhea
- muscle rigidity
- trouble breathing
- swelling of the face, tongue, eyes or mouth
- rash, itchy welts (hives) or blisters, alone or with fever or joint pain
- greatly increased energy
- severe trouble sleeping
- racing thoughts
- reckless behavior
- unusually grand ideas
- excessive happiness or irritability
- talking more or faster than usual
- headache
- weakness or feeling unsteady
- confusion, problems concentrating or thinking or memory problems
- anxiety, irritability, high or low mood, feeling restless or changes in sleep habits
- headache, sweating, nausea, dizziness
- electric shock-like sensations, shaking, confusion
- Major Depressive Disorder (MDD)
- are allergic to citalopram hydrobromide or escitalopram oxalate or any of the ingredients in citalopram tablets. See the end of this Medication Guide for a complete list of ingredients in citalopram tablets USP.
- take a Monoamine Oxidase Inhibitor (MAOI). Ask your healthcare provider or pharmacist if you are not sure if you take an MAOI, including the antibiotic linezolid.
- Do not take an MAOI within 14 days of stopping citalopram tablets.
- Do not start citalopram tablets if you stopped taking an MAOI in the last 14 days.
- high fever
- uncontrolled muscle spasms
- stiff muscles
- rapid changes in heart rate or blood pressure
- confusion
- loss of consciousness (pass out)
- take the antipsychotic medicine pimozide (Orap®) because this can cause serious heart problems.
- have a heart problem including congenital long QT syndrome
- Are taking certain drugs such as:
- Medicines for heart problems
- Medicines that lower your potassium or magnesium levels in your body
- Cimetidine
- Triptans used to treat migraine headache
- Medicines used to treat mood, anxiety, psychotic or thought disorders, including tricyclics, lithium, SSRIs, SNRIs, or antipsychotics
- Tramadol
- Over-the-counter supplements such as tryptophan or St. John’s Wort
- have liver problems
- have kidney problems
- have heart problems
- have or had seizures or convulsions
- have bipolar disorder or mania
- have low sodium levels in your blood
- have a history of a stroke
- have high blood pressure
- have or had bleeding problems
- are pregnant or plan to become pregnant. It is not known if citalopram tablets will harm your unborn baby. Talk to your healthcare provider about the benefits and risks of treating depression during pregnancy
- are breast-feeding or plan to breast-feed. Some citalopram may pass into your breast milk. Talk to your healthcare provider about the best way to feed your baby while taking citalopram tablets.
Keep all follow-up visits with your healthcare provider and call between visits if you are worried about symptoms.
Call your healthcare provider right away if you have any of the following symptoms, or call 911 if an emergency, especially if they are new, worse, or worry you:
Call your healthcare provider right away if you have any of the following symptoms, or call 911 if an emergency. Citalopram tablets may be associated with these serious side effects:
2. Changes in the electrical activity of your heart (QT prolongation and torsade de pointes).
This condition can be life threatening. The symptoms may include:
3. Serotonin Syndrome or Neuroleptic Malignant Syndrome-like reactions. This condition can be life-threatening and may include:
4. Severe allergic reactions:
5. Abnormal bleeding: Citalopram tablets and other antidepressant medicines may increase your risk of bleeding or bruising, especially if you take the blood thinner warfarin (Coumadin®, Jantoven®), a non-steroidal anti-inflammatory drug (NSAIDs, like ibuprofen or naproxen), or aspirin.
6. Seizures or convulsions
7. Manic episodes:
8. Changes in appetite or weight. Children and adolescents should have height and weight monitored during treatment.
9. Low salt (sodium) levels in the blood. Elderly people may be at greater risk for this. Symptoms may include:
Do not stop citalopram tablets without first talking to your healthcare provider. Stopping citalopram tablets too quickly may cause serious symptoms including:
What are citalopram tablets?
Citalopram tablets are a prescription medicine used to treat depression. It is important to talk with your healthcare provider about the risks of treating depression and also the risks of not treating it. You should discuss all treatment choices with your healthcare provider. Citalopram tablets are also used to treat:
Talk to your healthcare provider if you do not think that your condition is getting better with citalopram tablet treatment.
Who should not take citalopram tablets?
Do not take citalopram tablets if you:
People who take citalopram tablets close in time to an MAOI may have serious or even life-threatening side effects. Get medical help right away if you have any of these symptoms:
What should I tell my healthcare provider before taking citalopram tablets? Ask if you are not sure.
Before starting citalopram tablets, tell your healthcare provider if you
Tell your healthcare provider about all the medicines that you take, including prescription and non-prescription medicines, vitamins, and herbal supplements. Citalopram tablets and some medicines may interact with each other, may not work as well, or may cause serious side effects.
Your healthcare provider or pharmacist can tell you if it is safe to take citalopram tablets with your other medicines. Do not start or stop any medicine while taking citalopram tablets without talking to your healthcare provider first.
Boxed Warning Section
If you take citalopram tablets, you should not take any other medicines that contain citalopram hydrobromide or escitalopram oxalate including: Lexapro®.
Other
How should I take citalopram tablets?
- Take citalopram tablets exactly as prescribed. Your healthcare provider may need to change the dose of citalopram tablets until it is the right dose for you.
- Citalopram tablets may be taken with or without food.
- If you miss a dose of citalopram tablets, take the missed dose as soon as you remember. If it is almost time for the next dose, skip the missed dose and take your next dose at the regular time. Do not take two doses of citalopram tablets at the same time.
- If you take too many citalopram tablets, call your healthcare provider or poison control center right away, or get emergency treatment.
- Nausea
- Sleepiness
- Weakness
- Dizziness
- Feeling anxious
- Trouble sleeping
- Sexual problems
- Sweating
- Shaking
- Not feeling hungry
- Dry mouth
- Constipation
- Diarrhea
- Respiratory Infections
- Yawning
- increased thirst
- abnormal increase in muscle movement or agitation
- nose bleed
- urinating more often
- heavy menstrual periods
- possible slowed growth rate and weight change. Your child’s height and weight should be monitored during treatment with citalopram tablets.
- Store citalopram tablets at 20° to 25°C (68° to 77°F).
- Keep citalopram tablets bottle closed tightly.
What should I avoid while taking citalopram tablets?
Citalopram tablets can cause sleepiness or may affect your ability to make decisions, think clearly, or react quickly. You should not drive, operate heavy machinery, or do other dangerous activities until you know how citalopram tablets affect you. Do not drink alcohol while using citalopram tablets.
What are the possible side effects of citalopram tablets?
Citalopram tablets may cause serious side effects, including:
See “What is the most important information I should know about citalopram tablets?”
Common possible side effects in people who take citalopram tablets include:
Other side effects in children and adolescents include:
Tell your healthcare provider if you have any side effect that bothers you or that does not go away. These are not all the possible side effects of citalopram tablets. For more information, ask your healthcare provider or pharmacist.
CALL YOUR DOCTOR FOR MEDICAL ADVICE ABOUT SIDE EFFECTS. YOU MAY REPORT SIDE EFFECTS TO THE FDA AT 1-800-FDA-1088.
How should I store citalopram tablets?
Keep citalopram tablets and all medicines out of the reach of children.
General information about citalopram tablets
Medicines are sometimes prescribed for purposes other than those listed in a Medication Guide. Do not use citalopram tablets for a condition for which they were not prescribed. Do not give citalopram tablets to other people, even if they have the same condition. They may harm them.
This Medication Guide summarizes the most important information about citalopram tablets. If you would like more information, talk with your healthcare provider. You may ask your healthcare provider or pharmacist for information about citalopram tablets that is written for healthcare professionals.
For more information about citalopram tablets call 1-888-838-2872, MEDICAL AFFAIRS.
What are the ingredients in citalopram tablets USP?
Active ingredient: citalopram hydrobromide
Inactive ingredients: croscarmellose sodium, lactose monohydrate, magnesium stearate, microcrystalline cellulose, pregelatinized starch, and povidone. In addition, the 10 mg contains red iron oxide and yellow iron oxide; and the 20 mg contains FD&C red #40 aluminum lake and FD&C yellow #6 aluminum lake.
This Medication Guide has been approved by the U.S. Food and Drug Administration.
Orap® is a registered trademark of Teva Pharmaceuticals USA.
All brand names listed are the registered trademarks of their respective owners and are not trademarks of Teva Pharmaceuticals USA.
TEVA PHARMACEUTICALS USA
Sellersville, PA 18960
Rev. G 3/2012
* Please review the disclaimer below.
