Product Images Cimetidine

View Photos of Packaging, Labels & Appearance

Product Label Images

The following 2 images provide visual information about the product associated with Cimetidine NDC 66336-945 by Dispensing Solutions, Inc., such as packaging, labeling, and the appearance of the drug itself. This resource could be helpful for medical professionals, pharmacists, and patients seeking to verify medication information and ensure they have the correct product.

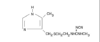
Cimetidine Structural Formula - 29db7ee3 b9ff 4728 ac49 107a8084015d 01

Cimetidine Structural Formula - 29db7ee3 b9ff 4728 ac49 107a8084015d 01

NDC 66336-0945-XX - NDC 66336 0945 XX Teva

NDC 66336-0945-XX - NDC 66336 0945 XX      Teva

This is a description of a product that appears to be a Cimetidine 400mg white to off-white capsule-shaped scored film-coated tablet manufactured by Teva Pharmaceuticals USA, with product identification numbers, including the NDC number 00172-7171-70, MFR lot number, pedigree number and other information about its dispensation, dosage and use, as well as storage requirements. The product is to be dispensed in a tight/light resistant container, kept at 68°- 77° F and taken orally every __ hours __ times a day. The product comes in a package containing XX tablets and is packaged exclusively by DISPENSING SOLUTIONS in Santa Ana, CA 92704.*

* The product label images have been analyzed using a combination of traditional computing and machine learning techniques. It should be noted that the descriptions provided may not be entirely accurate as they are experimental in nature. Use the information in this page at your own discretion and risk.