Product Images Levothyroxine Sodium

View Photos of Packaging, Labels & Appearance

Product Label Images

The following 6 images provide visual information about the product associated with Levothyroxine Sodium NDC 66794-201 by Piramal Critical Care, Inc., such as packaging, labeling, and the appearance of the drug itself. This resource could be helpful for medical professionals, pharmacists, and patients seeking to verify medication information and ensure they have the correct product.

PCC BW LOGO - PCC BW LOGO

Piramal Critical Care is a company that likely specializes in producing critical care products, although additional information cannot be inferred from the provided text.*

carton 100mcg levo

carton 100mcg levo

carton 500mcg levo

carton 500mcg levo

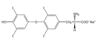
levo structure - levo structure

levo structure - levo structure

vial 100mcg levo

vial 100mcg levo

vial 500mcg levo

vial 500mcg levo

* The product label images have been analyzed using a combination of traditional computing and machine learning techniques. It should be noted that the descriptions provided may not be entirely accurate as they are experimental in nature. Use the information in this page at your own discretion and risk.