FDA Label for Chlordiazepoxide Hydrochloride
View Indications, Usage & Precautions
- OTHER
- DESCRIPTION:
- CLINICAL PHARMACOLOGY:
- ANIMAL PHARMACOLOGY:
- EFFECTS ON REPRODUCTION:
- INDICATIONS AND USAGE:
- CONTRAINDICATIONS:
- WARNINGS:
- PRECAUTIONS:
- PEDIATRIC USE:
- INFORMATION FOR PATIENTS:
- ADVERSE REACTIONS:
- DRUG ABUSE AND DEPENDENCE:
- OVERDOSAGE:
- DOSAGE AND ADMINISTRATION:
- HOW SUPPLIED:
- SPL MEDGUIDE
- PRINCIPAL DISPLAY PANEL - 10 MG
- PRINCIPAL DISPLAY PANEL - 25 MG
Chlordiazepoxide Hydrochloride Product Label
The following document was submitted to the FDA by the labeler of this product Contract Pharmacy Services-pa. The document includes published materials associated whith this product with the essential scientific information about this product as well as other prescribing information. Product labels may durg indications and usage, generic names, contraindications, active ingredients, strength dosage, routes of administration, appearance, warnings, inactive ingredients, etc.
Other
Rx only
Description:
Chlordiazepoxide Hydrochloride Capsules, USP, the original Chlordiazepoxide Hydrochloride and prototype for the benzodiazepine compounds, was synthesized and developed at Hoffmann-La Roche Inc. It is a versatile therapeutic agent of proven value for the relief of anxiety. Chlordiazepoxide Hydrochloride Capsule is among the safer of the effective psychopharmacologic compounds available, as demonstrated by extensive clinical evidence.
Chlordiazepoxide Hydrochloride is available as capsules containing 5 mg, 10 mg or 25 mg chlordiazepoxide hydrochloride. Each capsule also contains corn starch, lactose monohydrate and talc. Gelatin capsule shells may contain methyl and propyl parabens, Titanium Dioxide, Gelatin and potassium sorbate, with the following dye systems: 5-mg capsules - FD&C Yellow No. 6 plus D&C Yellow No. 10 and FD&C Green No. 3. 10-mg capsules - D&C Yellow No. 10, FD&C Blue No. 1, FD&C Green No. 3, FD&C Yellow No. 6 plus FD&C Red No. 40. 25-mg capsules - D&C Yellow No. 10 and FD&C Green No. 3.
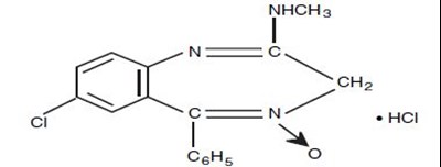
Chlordiazepoxide hydrochloride is 7-chloro-2-(methylamino)-5-phenyl-3H-1,4-benzodiazepine 4-oxide hydrochloride. A white to practically white crystalline substance, it is soluble in water. It is unstable in solution and the powder must be protected from light. The molecular weight is 336.22. The structural formula of chlordiazepoxide hydrochloride is as follows:
Clinical Pharmacology:
Chlordiazepoxide hydrochloride has antianxiety, sedative, appetite-stimulating and weak analgesic actions. The precise mechanism of action is not known. The drug blocks EEG arousal from stimulation of the brain stem reticular formation. It takes several hours for peak blood levels to be reached and the half-life of the drug is between 24 and 48 hours. After the drug is discontinued plasma levels decline slowly over a period of several days. Chlordiazepoxide is excreted in the urine, with 1% to 2% unchanged and 3% to 6% as conjugate.
Animal Pharmacology:
The drug has been studied extensively in many species of animals and these studies are suggestive of action on the limbic system of the brain, which recent evidence indicates is involved in emotional responses.
Hostile monkeys were made tame by oral drug doses which did not cause sedation. Chlordiazepoxide hydrochloride revealed a “taming” action with the elimination of fear and aggression. The taming effect of chlordiazepoxide hydrochloride was further demonstrated in rats made vicious by lesions in the septal area of the brain. The drug dosage which effectively blocked the vicious reaction was well below the dose which caused sedation in these animals.
The LD 50 of parenterally administered chlordiazepoxide hydrochloride was determined in mice (72 hours) and rats (5 days), and calculated according to the method of Miller and Tainter, with the following results: mice, IV, 123 ±12mg/kg; mice, IM, 366±7mg/kg; rats, IV, 120±7 mg/kg; rats, IM, >160 mg/kg.
Effects On Reproduction:
Reproduction studies in rats fed 10, 20 and 80 mg/kg daily and bred through one or two matings showed no congenital anomalies, nor were there adverse effects on lactation of the dams or growth of the newborn. However, in another study at 100 mg/kg daily there was noted a significant decrease in the fertilization rate and a marked decrease in the viability and body weight of offspring which may be attributable to sedative activity, thus resulting in lack of interest in mating and lessened maternal nursing and care of the young. One neonate in each of the first and second matings in the rat reproduction study at the 100 mg/kg dose exhibited major skeletal defects. Further studies are in progress to determine the significance of these findings.
Indications And Usage:
Chlordiazepoxide Hydrochloride Capsule is indicated for the management of anxiety disorders or for the short term relief of symptoms of anxiety, withdrawal symptoms of acute alcoholism, and preoperative apprehension and anxiety. Anxiety or tension associated with the stress of everyday life usually does not require treatment with an anxiolytic.
The effectiveness of Chlordiazepoxide Hydrochloride Capsule in long-term use, that is, more than 4 months, has not been assessed by systematic clinical studies. The physician should periodically reassess the usefulness of the drug for the individual patient.
Contraindications:
Chlordiazepoxide Hydrochloride Capsule is contraindicated in patients with known hypersensitivity to the drug.
Warnings:
Chlordiazepoxide hydrochloride may impair the mental and/or physical abilities required for the performance of potentially hazardous tasks such as driving a vehicle or operating machinery. Similarly, it may impair mental alertness in children. The concomitant use of alcohol or other central nervous system depressants may have an additive effect. PATIENTS SHOULD BE WARNED ACCORDINGLY.
Usage in Pregnancy: An increased risk of congenital malformations associated with the use of minor tranquilizers (chlordiazepoxide, diazepam and meprobamate) during the first trimester of pregnancy has been suggested in several studies. Because use of these drugs is rarely a matter of urgency, their use during this period should almost always be avoided. The possibility that a woman of childbearing potential may be pregnant at the time of institution of therapy should be considered. Patients should be advised that if they become pregnant during therapy or intend to become pregnant they should communicate with their physicians about the desirability of discontinuing the drug.
Withdrawal symptoms of the barbiturate type have occurred after the discontinuation of benzodiazepines. (See DRUG ABUSE AND DEPENDENCE section.)
Precautions:
In elderly and debilitated patients, it is recommended that the dosage be limited to the smallest effective amount to preclude the development of ataxia or oversedation (10 mg or less per day initially, to be increased gradually as needed and tolerated). In general, the concomitant administration of Chlordiazepoxide hydrochloride and other psychotropic agents is not recommended. If such combination therapy seems indicated, careful consideration should be given to the pharmacology of the agents to be employed - particularly when the known potentiating compounds such as MAO inhibitors and phenothiazines are to be used. The usual precautions in treating patients with impaired renal or hepatic function should be observed.
Paradoxical reactions, e.g., excitement, stimulation and acute rage, have been reported in psychiatric patients and in hyperactive aggressive pediatric patients, and should be watched for during Chlordiazepoxide hydrochloride therapy. The usual precautions are indicated when Chlordiazepoxide hydrochloride is used in the treatment of anxiety states where there is any evidence of impending depression; it should be borne in mind that suicidal tendencies may be present and protective measures may be necessary. Although clinical studies have not established a cause and effect relationship, physicians should be aware that variable effects on blood coagulation have been reported very rarely in patients receiving oral anticoagulants and Chlordiazepoxide hydrochloride. In view of isolated reports associating chlordiazepoxide with exacerbation of porphyria, caution should be exercised in prescribing chlordiazepoxide to patients suffering from this disease.
Pediatric Use:
Because of the varied response of pediatric patients to CNS-acting drugs, therapy should be initiated with the lowest dose and increased as required (see DOSAGE AND ADMINISTRATION).
Since clinical experience with Chlordiazepoxide hydrochloride in pediatric patients under 6 years of age is limited, use in this age group is not recommended. Hyperactive aggressive pediatric patients should be monitored for paradoxical reactions to Chlordiazepoxide hydrochloride (see PRECAUTIONS).
Information For Patients:
To assure the safe and effective use of benzodiazepines, patients should be informed that, since benzodiazepines may produce psychological and physical dependence, it is advisable that they consult with their physician before either increasing the dose or abruptly discontinuing this drug.
Adverse Reactions:
The necessity of discontinuing therapy because of undesirable effects has been rare. Drowsiness, ataxia and confusion have been reported in some patients - particularly the elderly and debilitated. While these effects can be avoided in almost all instances by proper dosage adjustment, they have occasionally been observed at the lower dosage ranges. In a few instances syncope has been reported.
Other adverse reactions reported during therapy include isolated instances of skin eruptions, edema, minor menstrual irregularities, nausea and constipation, extra pyramidal symptoms, as well as increased and decreased libido. Such side effects have been infrequent, and are generally controlled with reduction of dosage. Changes in EEG patterns (low-voltage fast activity) have been observed in patients during and after Chlordiazepoxide hydrochloride treatment.
Blood dyscrasias (including agranulocytosis), jaundice and hepatic dysfunction have occasionally been reported during therapy. When Chlordiazepoxide hydrochloride treatment is protracted, periodic blood counts and liver function tests are advisable.
To report SUSPECTED ADVERSE REACTIONS, contact 1-800-321-4576 or FDA at 1-800-FDA-1088 or www.fda.gov/medwatch.
Drug Abuse And Dependence:
Chlordiazepoxide hydrochloride capsules are classified by the Drug Enforcement Administration as a Schedule IV controlled substance.
Withdrawal symptoms, similar in character to those noted with barbiturates and alcohol (convulsions, tremor, abdominal and muscle cramps, vomiting and sweating), have occurred following abrupt discontinuance of chlordiazepoxide. The more severe withdrawal symptoms have usually been limited to those patients who had received excessive doses over an extended period of time. Generally milder withdrawal symptoms (e.g., dysphoria and insomnia) have been reported following abrupt discontinuance of benzodiazepines taken continuously at therapeutic levels for several months. Consequently, after extended therapy, abrupt discontinuation should generally be avoided and a gradual dosage tapering schedule followed. Addiction-prone individuals (such as drug addicts or alcoholics) should be under careful surveillance when receiving chlordiazepoxide or other psychotropic agents because of the predisposition of such patients to habituation and dependence.
Overdosage:
Manifestations of Chlordiazepoxide hydrochloride overdosage include somnolence, confusion, coma and diminished reflexes. Respiration, pulse and blood pressure should be monitored, as in all cases of drug overdosage, although, in general, these effects have been minimal following Chlordiazepoxide hydrochloride overdosage. General supportive measures should be employed, along with immediate gastric lavage. Intravenous fluids should be administered and an adequate airway maintained. Hypotension may be combated by the use of Levophed® (norepinephrine) or Aramine (metaraminol). Dialysis is of limited value. There have been occasional reports of excitation in patients following chlordiazepoxide hydrochloride overdosage; if this occurs barbiturates should not be used. As with the management of intentional overdosage with any drug, it should be borne in mind that multiple agents may have been ingested.
Flumazenil, a specific benzodiazepine-receptor antagonist, is indicated for the complete or partial reversal of the sedative effects of benzodiazepines and may be used in situations when an overdose with a benzodiazepine is known or suspected. Prior to the administration of flumazenil, necessary measures should be instituted to secure airway, ventilation and intravenous access. Flumazenil is intended as an adjunct to, not as a substitute for, proper management of benzodiazepine overdose. Patients treated with flumazenil should be monitored for resedation, respiratory depression and other residual benzodiazepine effects for an appropriate period after treatment. The prescriber should be aware of a risk of seizure in association with flumazenil treatment, particularly in long-term benzodiazepine users and in cyclic antidepressant overdose. The complete flumazenil package insert, including CONTRAINDICATIONS, WARNINGS and PRECAUTIONS, should be consulted prior to use.
Dosage And Administration:
Because of the wide range of clinical indications for Chlordiazepoxide Hydrochloride Capsule the optimum dosage varies with the diagnosis and response of the individual patient. The dosage, therefore, should be individualized for maximum beneficial effects.
| ADULTS | USUAL DAILY DOSE |
| Relief of Mild and Moderate Anxiety Disorders and Symptoms of Anxiety | 5 mg or 10 mg, 3 or 4 times daily
|
| Relief of Severe Anxiety Disorders and Symptoms of Anxiety | 20 mg or 25 mg, 3 or 4 times daily
|
| Geriatric Patients, or in the presence of debilitating disease. | 5 mg, 2 to 4 times daily
|
Preoperative Apprehension and Anxiety: On days preceding surgery, 5 to 10 mg orally, 3 or 4 times daily. If used as preoperative medication, 50 to 100 mg IM * 1 hour prior to surgery.
| PEDIATRIC PATIENTS | USUAL DAILY DOSE |
| Because of the varied response of pediatric patients to CNS-acting drugs, therapy should be initiated with the lowest dose and increased as required. Since clinical experience in pediatric patients under 6 years of age is limited, the use of the drug in this age group is not recommended. | 5 mg, 2 to 4 times daily (may be increased in some pediatric patients to 10 mg, 2 to 3 times daily) |
For the relief of withdrawal symptoms of acute alcoholism, the parenteral form * is usually used initially. If the drug is administered orally, the suggested initial dose is 50 to 100 mg, to be followed by repeated doses as needed until agitation is controlled - up to 300 mg per day. Dosage should then be reduced to maintenance levels.
*See package insert for Injectable. Chlordiazepoxide Hydrochloride.
How Supplied:
Chlordiazepoxide Hydrochloride Capsules, USP are available in the following presentations:
5 mg hard gelatin capsules in bottles of 100 (NDC- 43547-251-10), with S251 imprinted on the opaque green cap and Solco’s logo "S" imprinted on the opaque yellow body.
10 mg hard gelatin capsules in bottles of 100 (NDC- 43547-252-10), with S252 imprinted on the opaque black cap and Solco’s logo "S" imprinted on the opaque green body.
25 mg hard gelatin capsules in bottles of 100 (NDC- 43547-253-10), with S253 imprinted on the opaque green cap and Solco’s logo "S" imprinted on the opaque white body.
Store at 25°C (77°F); excursions permitted to 15°C – 30°C (59°F – 86°F). [see USP Controlled Room Temperature].
Manufactured by:
Epic Pharma, LLC
Laurelton, NY 11413
Distributed by:
Solco Healthcare U.S., LLC
Cranbury, NJ 08512
Rev. 10/12
OE1413
Spl Medguide
This Medication Guide has been approved by the U.S. Food and Drug Administration Issued: 8/2016
Principal Display Panel - 10 Mg
NDC 67046-912-30
R x only
Chlordiazepoxide Hydrochloride USP CIV
10 mg
30 Capsules
Each capsule contains 10 mg of chlordiazepoxide hydrochloride USP.
See enclosed package insert for dosage information.
Keep this and all drugs out of reach of children.
Store at 25° C (77° F); excursions permitted to 15-30° C (59-86° F)
Dispense in a tight, light-resistant container, with a child resistant closure, as defined in USP/NF.
Manufactured by:
Epic Pharma, LLC
Laurelton, NY 11413
Distributed by:
Solco Healthcare U.S., LLC
2002 Eastpark Blvd.
Cranbury, NJ 08512
Iss. 06/12 LE2533
www.solcohealthcare.com
Repackaged by:
Contract Pharmacy Services-PA
125 Titus Ave Suite 200
Warrington, PA 18976 USA
Principal Display Panel - 25 Mg
NDC 67046-935-30 R x only
Chlordiazepoxide Hydrochloride USP CIV
25 mg 3
0 Capsules
Each capsule contains 25 mg of chlordiazepoxide hydrochloride USP.
See enclosed package insert for dosage information.
Keep this and all drugs out of reach of children.
Store at 25° C (77° F); excursions permitted to 15-30° C (59-86° F)
Dispense in a tight, light-resistant container, with a child resistant closure, as defined in USP/NF.
Manufactured by:
Epic Pharma, LLC
Laurelton, NY 11413
Distributed by:
Solco Healthcare U.S., LLC
2002 Eastpark Blvd.
Cranbury, NJ 08512
Iss. 06/12 LE2540
www.solcohealthcare.com
Repackaged by:
Contract Pharmacy Services-PA
125 Titus Ave Suite 200
Warrington, PA 18976 USA
* Please review the disclaimer below.


