Product Images Amoxicillin

View Photos of Packaging, Labels & Appearance

Product Label Images

The following 4 images provide visual information about the product associated with Amoxicillin NDC 67296-0986 by Redpharm Drug, Inc., such as packaging, labeling, and the appearance of the drug itself. This resource could be helpful for medical professionals, pharmacists, and patients seeking to verify medication information and ensure they have the correct product.

EPM LABEL - 67296 0986

EPM LABEL - 67296 0986

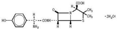
Formulations of Amoxicillin Capsules, USP contain amoxicillin, a semisynthetic antibiotic, an analog of ampicillin, with a broad spectrum of bactericidal activity against many Gram-positive and Gram-n - amoxicillin 1

Formulations of Amoxicillin Capsules, USP contain amoxicillin, a semisynthetic antibiotic, an analog of ampicillin, with a broad spectrum of bactericidal activity against many Gram-positive and Gram-n - amoxicillin 1

PRINCIPAL DISPLAY PANEL Amoxicillin Capsules, USP 250 mg/100 Capsules NDC 0143-9938-01 - amoxicillin 2

PRINCIPAL DISPLAY PANEL Amoxicillin Capsules, USP 250 mg/100 Capsules NDC 0143-9938-01 - amoxicillin 2

NDC 0143.9938.01 is a medication in capsule form that contains 250 mg of amoxicillin as the trihydrate. The usual adult dosage is 250 to 500 mg to be taken every 8 hours. The medication should be stored at a temperature between 20 to 25°C (68° to 77°F) and in a high-quality, light-resistant container with a child-resistant closure as defined by the USP Temperature. The medication has to be kept out of the reach of children. The medicine is manufactured by Hikma Pharmaceuticals and distributed by West-Ward Pharmaceuticals Corp. Note: has made some errors, which are corrected in the description.*

PRINCIPAL DISPLAY PANEL Amoxicillin Capsules, USP 500 mg/100 Capsules NDC 0143-9939-01 - amoxicillin 3

PRINCIPAL DISPLAY PANEL Amoxicillin Capsules, USP 500 mg/100 Capsules NDC 0143-9939-01 - amoxicillin 3

NDC 0143-9939.01 is a medication that comes in capsule form and contains 500 mg of amoxicillin as the trihydrate. The recommended adult dosage is 250 mg to 500 mg every 8 hours, which can be found in the accompanying prescribing information. It is advised to store the capsules at a temperature of 20° to 25°C (68° to 77°F) in a light-resistant container with a child-resistant closure. This medication is manufactured by Hikma Pharmaceuticals and is distributed by West-Ward Pharmaceuticals Corp.*

* The product label images have been analyzed using a combination of traditional computing and machine learning techniques. It should be noted that the descriptions provided may not be entirely accurate as they are experimental in nature. Use the information in this page at your own discretion and risk.