FDA Label for Doxycycline
View Indications, Usage & Precautions
- DESCRIPTION
- CLINICAL PHARMACOLOGY
- MICROBIOLOGY:
- INDICATIONS AND USAGE
- CONTRAINDICATIONS
- WARNINGS
- PRECAUTIONS
- INFORMATION FOR PATIENTS
- LABORATORY TESTS
- DRUG INTERACTIONS
- DRUG/LABORATORY TEST INTERACTIONS
- CARCINOGENESIS, MUTAGENESIS, IMPAIRMENT OF FERTILITY
- TERATOGENIC EFFECTS.
- LABOR AND DELIVERY
- NURSING MOTHERS
- PEDIATRIC USE
- ADVERSE REACTIONS
- OVERDOSAGE
- DOSAGE AND ADMINISTRATION
- HOW SUPPLIED
- ANIMAL PHARMACOLOGY AND ANIMAL TOXICOLOGY
- REFERENCES
- PRINCIPAL DISPLAY PANEL — 50 MG TABLETS
- PRINCIPAL DISPLAY PANEL — 75 MG TABLETS
- PRINCIPAL DISPLAY PANEL — 100 MG TABLETS
- PRINCIPAL DISPLAY PANEL — 150 MG TABLETS
Doxycycline Product Label
The following document was submitted to the FDA by the labeler of this product Redpharm Drug. The document includes published materials associated whith this product with the essential scientific information about this product as well as other prescribing information. Product labels may durg indications and usage, generic names, contraindications, active ingredients, strength dosage, routes of administration, appearance, warnings, inactive ingredients, etc.
Description
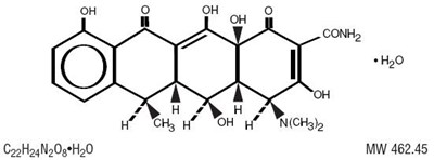
Doxycycline is a broad-spectrum antibacterial synthetically derived from oxytetracycline. Doxycycline Tablets USP, 150 mg, 100 mg, 75 mg and 50 mg, contain doxycycline monohydrate equivalent to 150 mg, 100 mg, 75 mg or 50 mg of doxycycline for oral administration. Inactive ingredients include microcrystalline cellulose, anhydrous lactose, corn starch, magnesium stearate, colloidal silicon dioxide, polyvinyl alcohol, polyethylene glycol, talc, titanium dioxide, D&C yellow #10 aluminum lake, and FD&C yellow #6 aluminum lake. The chemical designation of the light-yellow crystalline powder is 4-(Dimethylamino)-1,4,4a,5,5a,6,11,12a-octahydro-3,5,10,12,12a-pentahydroxy-6-methyl-1,11-dioxo-2-naphthacenecarboxamide monohydrate.
Structural formula:
Doxycycline has a high degree of lipid solubility and a low affinity for calcium binding. It is highly stable in normal human serum. Doxycycline will not degrade into an epianhydro form.
Clinical Pharmacology
Tetracyclines are readily absorbed and are bound to plasma proteins in varying degrees. They are concentrated by the liver in the bile and excreted in the urine and feces at high concentrations in a biologically active form. Doxycycline is virtually completely absorbed after oral administration.
Following a 200 mg dose of doxycycline monohydrate, 24 normal adult volunteers averaged the following serum concentration values:
| Time (hr): | 0.5 | 1.0 | 1.5 | 2.0 | 3.0 | 4.0 | 8.0 | 12.0 | 24.0 | 48.0 | 72.0 |
| Conc. (mcg/mL): | 1.02 | 2.26 | 2.67 | 3.01 | 3.16 | 3.03 | 2.03 | 1.62 | 0.95 | 0.37 | 0.15 |
| Average Observed Values | |
|---|---|
| Maximum Concentration | 3.61 mcg/mL (± 0.9 sd) |
| Time of Maximum Concentration | 2.60 hr (± 1.10 sd) |
| Elimination Rate Constant | 0.049 per hr (± 0.030 sd) |
| Half-Life | 16.33 hr (± 4.53 sd) |
Excretion of doxycycline by the kidney is about 40%/72 hours in individuals with normal function (creatinine clearance about 75 mL/min). This percentage excretion may fall as low as 1 to 5%/72 hours in individuals with severe renal insufficiency (creatinine clearance below 10 mL/min). Studies have shown no significant difference in serum half-life of doxycycline (range 18 to 22 hours) in individuals with normal and severely impaired renal function.
Hemodialysis does not alter serum half-life.
Population pharmacokinetic analysis of sparse concentration-time data of doxycycline following standard of care intravenous and oral dosing in 44 pediatric patients (2-18 years of age) showed that allometrically -scaled clearance (CL) of doxycycline in pediatric patients ≥2 to ≤8 years of age (median [range] 3.58 [2.27-10.82] L/h/70 kg, N=11) did not differ significantly from pediatric patients >8 to 18 years of age (3.27 [1.11-8.12] L/h/70 kg, N=33). For pediatric patients weighing ≤45 kg, body weight normalized doxycycline CL in those ≥2 to ≤8 years of age (median [range] 0.071 [0.041-0.202] L/kg/h, N=10) did not differ significantly from those >8 to 18 years of age (0.081 [0.035-0.126] L/kg/h, N=8). In pediatric patients weighing >45 kg, no clinically significant differences in body weight normalized doxycycline CL were observed between those ≥2 to ≤8 years (0.050 L/kg/h, N=1) and those >8 to 18 years of age (0.044 [0.014-0.121] L/kg/h, N=25). No clinically significant difference in CL between oral and IV dosing was observed in the small cohort of pediatric patients who received the oral (N=19) or IV (N=21) formulation alone.
Microbiology:
Mechanism of Action
Doxycycline inhibits bacterial protein synthesis by binding to the 30S ribosomal subunit. Doxycycline has bacteriostatic activity against a broad range of Gram-positive and Gram-negative bacteria. Cross resistance with other tetracyclines is common.
Resistance
Cross resistance with other tetracyclines is common.
Antimicrobial Activity
Doxycycline has been shown to be active against most isolates of the following microorganisms, both in vitroand in clinical infections (see INDICATIONS AND USAGE).
Gram-Negative Bacteria:
Acinetobacterspecies
Bartonella bacilliformis
Brucella
species
Campylobacter
fetus
Enterobacter aerogenes
Escherichia coli
Francisella tularensis
Haemophilus ducreyi
Haemophilus
influenzae
Klebsiella granulomatis
Klebsiella
species
Neisseria gonorrhoeae
Shigella
species
Vibrio cholerae
Yersinia pestis
Gram-Positive Bacteria:
Bacillus anthracis
Listeria monocytogenes
Streptococcus pneumoniae
Anaerobes:
Clostridiumspecies
Fusobacterium fusiforme
Propionibacterium acnes
Other Bacteria:
Nocardiaeand other
Actinomycesspecies
Borrelia recurrentis
Chlamydophila psittaci
Chlamydia trachomatis
Mycoplasma pneumoniae
Rickettsiae
Treponema pallidum
Treponema
pallidumsubspecies
pertenue
Ureaplasma urealyticum
Parasites
Balantidium coli
Entamoeba
species
Susceptibility Testing Methods
For specific information regarding susceptibility test interpretive criteria and associated test methods and quality control standards recognized by FDA for this drug, please see:
https://www.fda.gov/STIC.
Indications And Usage
To reduce the development of drug-resistant bacteria and maintain the effectiveness of doxycycline tablets, USP and other antibacterial drugs, doxycycline tablets, USP should be used only to treat or prevent infections that are proven or strongly suspected to be caused by susceptible bacteria. When culture and susceptibility information are available, they should be considered in selecting or modifying antibacterial therapy. In the absence of such data, local epidemiology and susceptibility patterns may contribute to the empiric selection of therapy.
Doxycycline Tablets, USP are indicated for the treatment of the following infections:
Rocky Mountain spotted fever, typhus fever and the typhus group, Q fever, rickettsialpox, and tick fevers caused by
Rickettsiae.
Respiratory tract infections caused by
Mycoplasma pneumoniae.
Lymphogranuloma venereum caused by
Chlamydia trachomatis.
Psittacosis (ornithosis) caused by
Chlamydophila psittaci.
Trachoma caused by
Chlamydia trachomatis, although the infectious agent is not always eliminated as judged by immunofluorescence.
Inclusion conjunctivitis caused by
Chlamydia trachomatis.
Uncomplicated urethral, endocervical or rectal infections in adults caused by
Chlamydia trachomatis.
Nongonococcal urethritis caused by
Ureaplasma urealyticum.
Relapsing fever due to
Borrelia recurrentis.
Doxycycline Tablets, USP are also indicated for the treatment of infections caused by the following gram-negative microorganisms:
Chancroid caused by
Haemophilus ducreyi.
Plague due to
Yersinia pestis.
Tularemia due to
Francisella tularensis.
Cholera caused by
Vibrio cholerae.
Campylobacter fetus infections caused by
Campylobacter fetus.
Brucellosis due to
Brucellaspecies (in conjunction with streptomycin).
Bartonellosis due to
Bartonella bacilliformis.
Granuloma inguinale caused by
Klebsiella granulomatis.
Because many strains of the following groups of microorganisms have been shown to be resistant to doxycycline, culture and susceptibility testing are recommended.
Doxycycline Tablets, USP are indicated for treatment of infections caused by the following gram-negative microorganisms, when bacteriologic testing indicates appropriate susceptibility to the drug:
Escherichia coli
Enterobacter aerogenes
Shigellaspecies
Acinetobacterspecies
Respiratory tract infections caused by
Haemophilus influenzae.
Respiratory tract and urinary tract infections caused by
Klebsiellaspecies.
Doxycycline Tablets, USP are indicated for treatment of infections caused by the following gram-positive microorganisms, when bacteriologic testing indicates appropriate susceptibility to the drug:
Upper respiratory infections caused by
Streptococcus pneumoniae.
Anthrax due to
Bacillus anthracis, including inhalational anthrax (post-exposure); to reduce the incidence or progression of disease following exposure to aerosolized
Bacillus anthracis.
When penicillin is contraindicated, doxycycline is an alternative drug in the treatment of the following infections:
Uncomplicated gonorrhea caused by
Neisseria gonorrhoeae.
Syphilis caused by
Treponema pallidum subspecies
pertenue.
Yaws caused by
Treponema pertenue.
Listeriosis due to
Listeria monocytogenes.
Vincent's infection caused by
Fusobacterium fusiforme.
Actinomycosis caused by
Actinomyces israelii.
Infections caused by
Clostridiumspecies.
In acute intestinal amebiasis, doxycycline may be a useful adjunct to amebicides.
In severe acne, doxycycline may be useful adjunctive therapy.
Contraindications
This drug is contraindicated in persons who have shown hypersensitivity to any of the tetracyclines.
Warnings
The use of drugs of the tetracycline class, including doxycycline, during tooth development (last half of pregnancy, infancy, and childhood to the age of 8 years) may cause permanent discoloration of the teeth (yellow-gray-brown). This adverse reaction is more common during long-term use of the drugs, but it has been observed following repeated short-term courses. Enamel hypoplasia has also been reported. Use of doxycycline in pediatric patients 8 years of age or less only when the potential benefits are expected to outweigh the risks in severe or life-threatening conditions (e.g., anthrax, Rocky Mountain spotted fever), particularly when there are no alternative therapies.
Clostridium difficileassociated diarrhea (CDAD) has been reported with use of nearly all antibacterial agents, including doxycycline, and may range in severity from mild diarrhea to fatal colitis. Treatment with antibacterial agents alters the normal flora of the colon leading to overgrowth of C. difficile.
C. difficileproduces toxins A and B which contribute to the development of CDAD. Hypertoxin producing strains of C. difficilecause increased morbidity and mortality, as these infections can be refractory to antimicrobial therapy and may require colectomy. CDAD must be considered in all patients who present with diarrhea following antibiotic use. Careful medical history is necessary since CDAD has been reported to occur over two months after the administration of antibacterial agents.
If CDAD is suspected or confirmed, ongoing antibiotic use not directed against C. difficilemay need to be discontinued. Appropriate fluid and electrolyte management, protein supplementation, antibiotic treatment of C. difficile,and surgical evaluation should be instituted as clinically indicated.
Intracranial hypertension (IH, pseudotumor cerebri) has been associated with the use of tetracyclines including doxycycline tablets. Clinical manifestations of IH include headache, blurred vision, diplopia, and vision loss; papilledema can be found on fundoscopy. Women of childbearing age who are overweight or have a history of IH are at greater risk for developing tetracycline associated IH. Concomitant use of isotretinoin and doxycycline tablets should be avoided because isotretinoin is also known to cause pseudotumor cerebri.
Although IH typically resolves after discontinuation of treatment, the possibility for permanent visual loss exists. If visual disturbance occurs during treatment, prompt ophthalmologic evaluation is warranted. Since intracranial pressure can remain elevated for weeks after drug cessation patients should be monitored until they stabilize.
All tetracyclines form a stable calcium complex in any bone-forming tissue. A decrease in the fibula growth rate has been observed in prematures given oral tetracycline in doses of 25 mg/kg every six hours. This reaction was shown to be reversible when the drug was discontinued.
Results of animal studies indicate that tetracyclines cross the placenta, are found in fetal tissues, and can have toxic effects on the developing fetus (often related to retardation of skeletal development). Evidence of embryo toxicity has been noted in animals treated early in pregnancy. If any tetracycline is used during pregnancy or if the patient becomes pregnant while taking these drugs, the patient should be apprised of the potential hazard to the fetus.
The antianabolic action of the tetracyclines may cause an increase in BUN. Studies to date indicate that this does not occur with the use of doxycycline in patients with impaired renal function.
Photosensitivity manifested by an exaggerated sunburn reaction has been observed in some individuals taking tetracyclines. Patients apt to be exposed to direct sunlight or ultraviolet light should be advised that this reaction can occur with tetracycline drugs, and treatment should be discontinued at the first evidence of skin erythema.
Precautions
General:As with other antibacterial preparations, use of this drug may result in overgrowth of non-susceptible organisms, including fungi. If superinfection occurs, doxycycline tablets should be discontinued and appropriate therapy instituted.
Incision and drainage or other surgical procedures should be performed in conjunction with antibacterial therapy when indicated.
Prescribing doxycycline tablets in the absence of a proven or strongly suspected bacterial infection or a prophylactic indication is unlikely to provide benefit to the patient and increases the risk of the development of drug-resistant bacteria.
Information For Patients
All patients taking doxycycline should be advised:
-to avoid excessive sunlight or artificial ultraviolet light while receiving doxycycline and to discontinue therapy if phototoxicity (e.g., skin eruptions, etc.) occurs. Sunscreen or sunblock should be considered. (See WARNINGS. )
-to drink fluids liberally along with doxycycline to reduce the risk of esophageal irritation and ulceration. (See ADVERSE REACTIONS. )
-that the absorption of tetracyclines is reduced when taken with foods, especially those which contain calcium. However, the absorption of doxycycline is not markedly influenced by simultaneous ingestion of food or milk. (See Drug Interactions. )
-that the absorption of tetracyclines is reduced when taking bismuth subsalicylate. (See Drug Interactions. )
-not to use outdated or poorly stored doxycycline.
-that the use of doxycycline might increase the incidence of vaginal candidiasis.
Diarrhea is a common problem caused by antibiotics which usually ends when the antibiotic is discontinued. Sometimes after starting treatment with antibiotics, patients can develop watery and bloody stools (with or without stomach cramps and fever) even as late as two or more months after having taken the last dose of the antibiotic. If this occurs, patients should contact their physician as soon as possible.
Patients should be counseled that antibacterial drugs including doxycycline tablets should only be used to treat bacterial infections. They do not treat viral infections (e.g., the common cold). When doxycycline tablets are prescribed to treat a bacterial infection, patients should be told that although it is common to feel better early in the course of therapy, the medication should be taken exactly as directed. Skipping doses or not completing the full course of therapy may (1) decrease the effectiveness of the immediate treatment and (2) increase the likelihood that bacteria will develop resistance and will not be treatable by doxycycline tablets or other antibacterial drugs in the future.
Laboratory Tests
In venereal disease when coexistent syphilis is suspected, a dark-field examination should be done before treatment is started and the blood serology repeated monthly for at least four months.
In long-term therapy, periodic laboratory evaluations of organ systems, including hematopoietic, renal, and hepatic studies should be performed.
Drug Interactions
Because tetracyclines have been shown to depress plasma prothrombin activity, patients who are on anticoagulant therapy may require downward adjustment of their anticoagulant dosage.
Since bacteriostatic drugs may interfere with the bactericidal action of penicillin, it is advisable to avoid giving tetracyclines in conjunction with penicillin.
Absorption of tetracyclines is impaired by antacids containing aluminum, calcium, or magnesium, and iron-containing preparations.
Barbiturates, carbamazepine, and phenytoin decrease the half-life of doxycycline.
The concurrent use of tetracycline and methoxyflurane has been reported to result in fatal renal toxicity.
Concurrent use of tetracycline may render oral contraceptives less effective.
Drug/Laboratory Test Interactions
False elevations of urinary catecholamine levels may occur due to interference with the fluorescence test.
Carcinogenesis, Mutagenesis, Impairment Of Fertility
Long-term studies in animals to evaluate the carcinogenic potential of doxycycline have not been conducted.
However, there has been evidence of oncogenic activity in rats in studies with related antibacterial, oxytetracycline (adrenal and pituitary tumors) and minocycline (thyroid tumors). Likewise, although mutagenicity studies of doxycycline have not been conducted, positive results in in vitromammalian cell assays have been reported for related antibacterial (tetracycline, oxytetracycline). Doxycycline administered orally at dosage levels as high as 250 mg/kg/day had no apparent effect on the fertility of female rats. Effect on male fertility has not been studied.
Teratogenic Effects.
Pregnancy Category D
There are no adequate and well-controlled studies on the use of doxycycline in pregnant short-term, first trimester exposure. There are no human data available to assess the effects of long-term therapy of doxycycline in pregnant women such as that proposed for treatment of anthrax exposure. An expert review of published data on experiences with doxycycline use during pregnancy by TERIS-the Teratogen Information System-concluded that therapeutic doses during pregnancy are unlikely to pose a substantial teratogenic risk (the quantity and quality of data were assessed as limited to fair), but the data are insufficient to state that there is no risk. 1
A case-control study (18,515 mothers of infants with congenital anomalies and 32,804 mothers of infants with no congenital anomalies) shows a weak but marginally statistically significant association with total malformations and use of doxycycline anytime during pregnancy. (Sixty-three (0.19%) of the controls and 56 (0.30%) of the cases were treated with doxycycline.) This association was not seen when the analysis was confined to maternal treatment during the period of organogenesis (i.e., in the second and third months of gestation) with the exception of a marginal relationship with neural tube defect based on only two exposed cases. 2
A small prospective study of 81 pregnancies describes 43 pregnant women treated for 10 days with doxycycline during early first trimester. All mothers reported their exposed infants were normal at 1 year of age. 3
Labor And Delivery
The effect of tetracyclines on labor and delivery is unknown.
Nursing Mothers
Tetracyclines are excreted in human milk, however, the extent of absorption of tetracyclines, including doxycycline, by the breastfed infant is not known. Short-term use by lactating women is not necessarily contraindicated; however, the effects of prolonged exposure to doxycycline in breast milk are unknown. 4Because of the potential for adverse reactions in nursing infants from doxycycline, a decision should be made whether to discontinue nursing or to discontinue the drug, taking into account the importance of the drug to the mother. (See WARNINGS. )
Pediatric Use
Because of the effects of drugs of the tetracycline-class, on tooth development and growth, use doxycycline in pediatric patients 8 years of age or less only when the potential benefits are expected to outweigh the risks in severe life-threatening conditions (e.g., anthrax, Rocky mountain spotted fever), particularly when there are no alternative therapies (See WARNINGS and DOSAGE AND ADMINISTRATION).
Adverse Reactions
Due to oral doxycycline's virtually complete absorption, side effects to the lower bowel, particularly diarrhea, have been infrequent. The following adverse reactions have been observed in patients receiving tetracyclines.
Gastrointestinal:Anorexia, nausea, vomiting, diarrhea, glossitis, dysphagia, enterocolitis, and inflammatory lesions (with monilial overgrowth) in the anogenital region, and pancreatitis. Hepatotoxicity has been reported. These reactions have been caused by both the oral and parenteral administration of tetracyclines. Rare instances of esophagitis and esophageal ulcerations have been reported in patients receiving capsule and tablet forms of drugs in the tetracycline class. Most of these patients took medications immediately before going to bed. (See DOSAGE AND ADMINISTRATION. )
Skin: Maculopapular and erythematous rashes. Stevens-Johnson syndrome, toxic epidermal necrolysis and erythema multiforme have been reported. Exfoliative dermatitis has been reported but is uncommon. Photosensitivity is discussed above. (See WARNINGS.)
Renal toxicity:Rise in BUN has been reported and is apparently dose related. (See WARNINGS.)
Hypersensitivity reactions:Urticaria, angioneurotic edema, anaphylaxis, anaphylactoid purpura, serum sickness, pericarditis, and exacerbation of systemic lupus erythematosus.
Blood:Hemolytic anemia, thrombocytopenia, neutropenia, and eosinophilia have been reported with tetracyclines.
Other: Intracranial hypertension (IH, pseudotumor cerebri) has been associated with the use of tetracyclines. (See PRECAUTIONS – General.)
When given over prolonged periods, tetracyclines have been reported to produce brown-black microscopic discoloration of the thyroid gland. No abnormalities of thyroid function are known to occur.
Overdosage
In case of overdosage, discontinue medication, treat symptomatically and institute supportive measures. Dialysis does not alter serum half-life, and it would not be of benefit in treating cases of overdosage.
Dosage And Administration
THE USUAL DOSAGE AND FREQUENCY OF ADMINISTRATION OF DOXYCYCLINE DIFFERS FROM THAT OF THE OTHER TETRACYCLINES. EXCEEDING THE RECOMMENDED DOSAGE MAY RESULT IN AN INCREASED INCIDENCE OF SIDE EFFECTS.
Adults:The usual dose of oral doxycycline is 200 mg on the first day of treatment (administered 100 mg every 12 hours or 50 mg every 6 hours) followed by a maintenance dose of 100 mg/day. The maintenance dose may be administered as a single dose or as 50 mg every 12 hours. In the management of more severe infections (particularly chronic infections of the urinary tract), 100 mg every 12 hours is recommended.
Pediatric Patients:
For all pediatric patients weighing less than 45 kg with severe or life-threatening infections (e.g., anthrax, Rocky Mountain spotted fever), the recommended dosage is 2.2 mg/kg of body weight administered every 12 hours. Children weighing 45 kg or more should receive the adult dose (see WARNINGS and PRECAUTIONS).
For pediatric patients with less severe disease (greater than 8 years of age and weighing less than 45 kg), the recommended dosage schedule is 4.4 mg/kg of body weight divided into two doses on the first day of treatment, followed by a maintenance dose of 2.2 mg/kg of body weight (given as a single daily dose or divided into twice daily doses). For pediatric patients weighing over 45 kg, the usual adult dose should be used.
The therapeutic antibacterial serum activity will usually persist for 24 hours following recommended dosage.
When used in streptococcal infections, therapy should be continued for 10 days.
Administration of adequate amounts of fluid along with capsule and tablet forms of drugs in the tetracycline class is recommended to wash down the drugs and reduce the risk of esophageal irritation and ulceration (see ADVERSE REACTIONS).
If gastric irritation occurs, it is recommended that doxycycline be given with food or milk. The absorption of doxycycline is not markedly influenced by simultaneous ingestion of food or milk.
Studies to date have indicated that administration of doxycycline at the usual recommended doses does not lead to excessive accumulation of doxycycline in patients with renal impairment.
Uncomplicated gonococcal infections in adults (except anorectal infections in men):100 mg, by mouth, twice a day for 7 days. As an alternate single visit dose, administer 300 mg stat followed in one hour by a second 300 mg dose.
Acute epididymo-orchitis caused by N. gonorrhoeae:100 mg, by mouth, twice a day for at least 10 days.
Primary and secondary syphilis:300 mg a day in divided doses for at least 10 days.
Uncomplicated urethral, endocervical, or rectal infection in adults caused by Chlamydia trachomatis:100 mg, by mouth, twice a day for at least 7 days.
Nongonococcal urethritis caused by C. trachomatisand U. urealyticum:100 mg, by mouth, twice a day for at least 7 days.
Acute epididymo-orchitis caused by C. trachomatis:100 mg, by mouth, twice a day for at least 10 days.
Inhalational anthrax (post-exposure):
ADULTS: 100 mg of doxycycline, by mouth, twice a day for 60 days.
CHILDREN: weighing less than 45 kg 2.2 mg/kg of body weight, by mouth, twice a day for 60 days. Children weighing 45 kg or more should receive the adult dose.
When used in streptococcal infections, therapy should be continued for 10 days.
Administration of adequate amounts of fluid along with capsule and tablet forms of drugs in the tetracycline class is recommended to wash down the drugs and reduce the risk of esophageal irritation and ulceration. (See ADVERSE REACTIONS. ) If gastric irritation occurs, doxycycline may be given with food. Ingestion of a high fat meal has been shown to delay the time to peak plasma concentrations by an average of one hour and 20 minutes. However, in the same study, food enhanced the average peak concentration by 7.5% and the area under the curve by 5.7%.
How Supplied
Doxycycline Tablets USP, 50 mg are yellow, round, film coated, tablets, debossed "LCI" on one face and "1335" on the other face. Each tablet contains doxycycline monohydrate equivalent to 50 mg of doxycycline. They are supplied as follows:
Bottles of 100 NDC 0527-1335-01
Doxycycline Tablets USP, 75 mg are yellow, round, film coated, tablets, debossed "LCI" on one face and "1535" on the other face. Each tablet contains doxycycline monohydrate equivalent to 75 mg of doxycycline. They are supplied as follows:
Bottles of 100 NDC 0527-1535-01
Doxycycline Tablets USP, 100 mg are yellow, film coated, caplets, debossed "LCI" on one face and "1338" on the other face. Each tablet contains doxycycline monohydrate equivalent to 100 mg of doxycycline. They are supplied as follows:
Bottles of 50 NDC 0527-1338-50
Bottles of 250 NDC 0527-1338-25
Doxycycline Tablets USP, 150 mg are yellow, round, film coated, tablets, debossed "LCI" on one face and "1537" on the other face. Each tablet contains doxycycline monohydrate equivalent to 150 mg of doxycycline. They are supplied as follows:
Bottles of 30 NDC 0527-1537-30
Bottles of 100 NDC 0527-1537-01
Dispense in a tight light-resistant container with a child-resistant closure.
Store at 20° to 25°C (68° to 77°F) [see USP Controlled Room Temperature].
PROTECT FROM LIGHT.
Animal Pharmacology And Animal Toxicology
Hyperpigmentation of the thyroid has been produced by members of the tetracycline class in the following species: in rats by oxytetracycline, doxycycline, tetracycline PO 4, and methacycline; in minipigs by doxycycline, minocycline, tetracycline PO 4, and methacycline; in dogs by doxycycline and minocycline; in monkeys by minocycline.
Minocycline, tetracycline PO 4, methacycline, doxycycline, tetracycline base, oxytetracycline HCl and tetracycline HCl were goitrogenic in rats fed a low iodine diet. This goitrogenic effect was accompanied by high radioactive iodine uptake. Administration of minocycline also produced a large goiter with high radioiodine uptake in rats fed a relatively high iodine diet.
Treatment of various animal species with this class of drugs has also resulted in the induction of thyroid hyperplasia in the following: in rats and dogs (minocycline), in chickens (chlortetracycline) and in rats and mice (oxytetracycline). Adrenal gland hyperplasia has been observed in goats and rats treated with oxytetracycline.
References
Friedman JM and Polifka JE. Teratogenic Effects of Drugs. A Resource for Clinicians (TERIS). Baltimore, MD: The Johns Hopkins University Press: 2000:149-195.
Cziezel AE and Rockenbauer M. Teratogenic study of doxycycline. Obstet Gynecol1997; 89:524-528.
Horne HW Jr. and Kundsin RB. The role of mycoplasma among 81 consecutive pregnancies: a prospective study. Int J Fertil1980; 25:315-317.
Hale T. Medications and Mothers Milk. 9th edition. Amarillo, TX: Pharmasoft Publishing 2000; 225-226.
Principal Display Panel — 50 Mg Tablets
NDC 0527- 1335-01
Doxycycline
Tablets, USP
50 mg*
Rx Only
100 Tablets
Lannett
Principal Display Panel — 75 Mg Tablets
NDC 0527- 1535-01
Doxycycline
Tablets, USP
75 mg*
Rx Only
100 Tablets
Lannett
Principal Display Panel — 100 Mg Tablets
NDC 0527- 1338-50
Doxycycline
Tablets, USP
100 mg*
Rx Only
50 Tablets
Lannett
Principal Display Panel — 150 Mg Tablets
NDC 0527- 1537-30
Doxycycline
Tablets, USP
150 mg*
Rx Only
30 Tablets
Lannett
* Please review the disclaimer below.




