FDA Label for Flomax
View Indications, Usage & Precautions
- 1 INDICATIONS AND USAGE
- 2 DOSAGE AND ADMINISTRATION
- 3 DOSAGE FORMS AND STRENGTHS
- 4 CONTRAINDICATIONS
- 5.1 ORTHOSTASIS
- 5.2 DRUG INTERACTIONS
- 5.3 PRIAPISM
- 5.4 SCREENING FOR PROSTATE CANCER
- 5.5 INTRAOPERATIVE FLOPPY IRIS SYNDROME
- 5.6 SULFA ALLERGY
- 6 ADVERSE REACTIONS
- 6.1 CLINICAL TRIALS EXPERIENCE
- OTHER
- 6.2 POSTMARKETING EXPERIENCE
- 7.2 OTHER ALPHA ADRENERGIC BLOCKING AGENTS
- 7.3 PDE5 INHIBITORS
- 7.4 WARFARIN
- 7.5 NIFEDIPINE, ATENOLOL, ENALAPRIL
- 7.6 DIGOXIN AND THEOPHYLLINE
- 7.7 FUROSEMIDE
- 8.2 LACTATION
- 8.4 PEDIATRIC USE
- 8.5 GERIATRIC USE
- 8.6 RENAL IMPAIRMENT
- 8.7 HEPATIC IMPAIRMENT
- 10 OVERDOSAGE
- 11 DESCRIPTION
- 12.1 MECHANISM OF ACTION
- 12.2 PHARMACODYNAMICS
- 12.3 PHARMACOKINETICS
- 13.1 CARCINOGENESIS, MUTAGENESIS, IMPAIRMENT OF FERTILITY
- 14 CLINICAL STUDIES
- 16 HOW SUPPLIED/STORAGE AND HANDLING
- STORAGE AND HANDLING
- 17 PATIENT COUNSELING INFORMATION
- PATIENT INFORMATION
- PRINCIPAL DISPLAY PANEL - 0.4 MG CAPSULE BOTTLE LABEL
- PACKAGAE LABEL.PRINCIPAL DISPLAY PANEL
Flomax Product Label
The following document was submitted to the FDA by the labeler of this product Redpharm Drug, Inc.. The document includes published materials associated whith this product with the essential scientific information about this product as well as other prescribing information. Product labels may durg indications and usage, generic names, contraindications, active ingredients, strength dosage, routes of administration, appearance, warnings, inactive ingredients, etc.
1 Indications And Usage
FLOMAX (tamsulosin hydrochloride, USP) capsules are indicated for the treatment of the signs and symptoms of benign prostatic hyperplasia (BPH) [see Clinical Studies (14)] . FLOMAX capsules are not indicated for the treatment of hypertension.
2 Dosage And Administration
FLOMAX capsules 0.4 mg once daily is recommended as the dose for the treatment of the signs and symptoms of BPH. It should be administered approximately one-half hour following the same meal each day. FLOMAX capsules should not be crushed, chewed or opened.
For those patients who fail to respond to the 0.4 mg dose after 2 to 4 weeks of dosing, the dose of FLOMAX capsules can be increased to 0.8 mg once daily. FLOMAX capsules 0.4 mg should not be used in combination with strong inhibitors of CYP3A4 (e.g., ketoconazole) [see Warnings and Precautions (5.2)] .
If FLOMAX capsules administration is discontinued or interrupted for several days at either the 0.4 mg or 0.8 mg dose, therapy should be started again with the 0.4 mg once-daily dose.
3 Dosage Forms And Strengths
Capsule: 0.4 mg, olive green and orange hard gelatin, imprinted on one side with Flomax 0.4 mg and on the other side with BI 58.
4 Contraindications
FLOMAX capsules are contraindicated in patients known to be hypersensitive to tamsulosin hydrochloride or any component of FLOMAX capsules. Reactions have included skin rash, urticaria, pruritus, angioedema, and respiratory symptoms [see Adverse Reactions (6.2)].
5.1 Orthostasis
The signs and symptoms of orthostasis (postural hypotension, dizziness, and vertigo) were detected more frequently in FLOMAX capsule-treated patients than in placebo recipients. As with other alpha adrenergic blocking agents there is a potential risk of syncope [see Adverse Reactions (6.1)] . Patients beginning treatment with FLOMAX capsules should be cautioned to avoid situations in which injury could result should syncope occur.
5.2 Drug Interactions
Tamsulosin is extensively metabolized, mainly by CYP3A4 and CYP2D6. FLOMAX capsules 0.4 mg should not be used in combination with strong inhibitors of CYP3A4 (e.g., ketoconazole) [see Drug Interactions (7.1) and Clinical Pharmacology (12.3)] . FLOMAX capsules should be used with caution in combination with moderate inhibitors of CYP3A4 (e.g., erythromycin), in combination with strong (e.g., paroxetine) or moderate (e.g., terbinafine) inhibitors of CYP2D6, in patients known to be CYP2D6 poor metabolizers particularly at a dose higher than 0.4 mg (e.g., 0.8 mg) [see Drug Interactions (7.1) and Clinical Pharmacology (12.3)] .
FLOMAX capsules should be used with caution in combination with cimetidine, particularly at a dose higher than 0.4 mg (e.g., 0.8 mg) [see Drug Interactions (7.1) and Clinical Pharmacology (12.3)] .
FLOMAX capsules should not be used in combination with other alpha adrenergic blocking agents [see Drug Interactions (7.2) and Clinical Pharmacology (12.3)] .
Caution is advised when alpha adrenergic blocking agents including FLOMAX are coadministered with PDE5 inhibitors. Alpha-adrenergic blockers and PDE5 inhibitors are both vasodilators that can lower blood pressure. Concomitant use of these two drug classes can potentially cause symptomatic hypotension [see Drug Interactions (7.3) and Clinical Pharmacology (12.3)] .
Caution should be exercised with concomitant administration of warfarin and FLOMAX capsules [see Drug Interactions (7.4) and Clinical Pharmacology (12.3)] .
5.3 Priapism
Rarely (probably less than 1 in 50,000 patients), tamsulosin, like other alpha 1 antagonists, has been associated with priapism (persistent painful penile erection unrelated to sexual activity). Because this condition can lead to permanent impotence if not properly treated, patients must be advised about the seriousness of the condition.
5.4 Screening For Prostate Cancer
Prostate cancer and BPH frequently coexist; therefore, patients should be screened for the presence of prostate cancer prior to treatment with FLOMAX capsules and at regular intervals afterwards.
5.5 Intraoperative Floppy Iris Syndrome
Intraoperative Floppy Iris Syndrome (IFIS) has been observed during cataract and glaucoma surgery in some patients on or previously treated with alpha 1 blockers, including FLOMAX capsules [see Adverse Reactions (6.2)] .
Most reports were in patients taking the alpha 1 blocker when IFIS occurred, but in some cases, the alpha 1 blocker had been stopped prior to surgery. In most of these cases, the alpha 1 blocker had been stopped recently prior to surgery (2 to 14 days), but in a few cases, IFIS was reported after the patient had been off the alpha 1 blocker for a longer period (5 weeks to 9 months). IFIS is a variant of small pupil syndrome and is characterized by the combination of a flaccid iris that billows in response to intraoperative irrigation currents, progressive intraoperative miosis despite preoperative dilation with standard mydriatic drugs and potential prolapse of the iris toward the phacoemulsification incisions. The patient's ophthalmologist should be prepared for possible modifications to their surgical technique, such as the utilization of iris hooks, iris dilator rings, or viscoelastic substances.
IFIS may increase the risk of eye complications during and after the operation. The benefit of stopping alpha 1 blocker therapy prior to cataract or glaucoma surgery has not been established. The initiation of therapy with tamsulosin in patients for whom cataract or glaucoma surgery is scheduled is not recommended.
5.6 Sulfa Allergy
In patients with sulfa allergy, allergic reaction to FLOMAX capsules has been rarely reported. If a patient reports a serious or life-threatening sulfa allergy, caution is warranted when administering FLOMAX capsules.
6 Adverse Reactions
To report SUSPECTED ADVERSE REACTIONS, contact sanofi-aventis U.S. LLC at 1-800-633-1610 or FDA at 1-800-FDA-1088 or www.fda.gov/medwatch.
6.1 Clinical Trials Experience
Because clinical trials are conducted under widely varying conditions, adverse reactions rates observed in the clinical trials of a drug cannot be directly compared to rates in the clinical trials of another drug and may not reflect the rates observed in practice.
The incidence of treatment-emergent adverse events has been ascertained from six short-term U.S. and European placebo-controlled clinical trials in which daily doses of 0.1 to 0.8 mg FLOMAX capsules were used. These studies evaluated safety in 1783 patients treated with FLOMAX capsules and 798 patients administered placebo. Table 1 summarizes the treatment-emergent adverse events that occurred in ≥2% of patients receiving either FLOMAX capsules 0.4 mg or 0.8 mg and at an incidence numerically higher than that in the placebo group during two 13-week U.S. trials (US92-03A and US93-01) conducted in 1487 men.
| BODY SYSTEM/
ADVERSE EVENT | FLOMAX CAPSULES GROUPS | PLACEBO | |
|---|---|---|---|
| 0.4 mg
n=502 | 0.8 mg
n=492 | n=493 | |
| BODY AS WHOLE | |||
| Headache | 97 (19.3%) | 104 (21.1%) | 99 (20.1%) |
| Infection
Coding preferred terms also include cold, common cold, head cold, flu, and flu-like symptoms. | 45 (9.0%) | 53 (10.8%) | 37 (7.5%) |
| Asthenia | 39 (7.8%) | 42 (8.5%) | 27 (5.5%) |
| Back pain | 35 (7.0%) | 41 (8.3%) | 27 (5.5%) |
| Chest pain | 20 (4.0%) | 20 (4.1%) | 18 (3.7%) |
| NERVOUS SYSTEM | |||
| Dizziness | 75 (14.9%) | 84 (17.1%) | 50 (10.1%) |
| Somnolence | 15 (3.0%) | 21 (4.3%) | 8 (1.6%) |
| Insomnia | 12 (2.4%) | 7 (1.4%) | 3 (0.6%) |
| Libido decreased | 5 (1.0%) | 10 (2.0%) | 6 (1.2%) |
| RESPIRATORY SYSTEM | |||
| Rhinitis
Coding preferred terms also include nasal congestion, stuffy nose, runny nose, sinus congestion, and hay fever. | 66 (13.1%) | 88 (17.9%) | 41 (8.3%) |
| Pharyngitis | 29 (5.8%) | 25 (5.1%) | 23 (4.7%) |
| Cough increased | 17 (3.4%) | 22 (4.5%) | 12 (2.4%) |
| Sinusitis | 11 (2.2%) | 18 (3.7%) | 8 (1.6%) |
| DIGESTIVE SYSTEM | |||
| Diarrhea | 31 (6.2%) | 21 (4.3%) | 22 (4.5%) |
| Nausea | 13 (2.6%) | 19 (3.9%) | 16 (3.2%) |
| Tooth disorder | 6 (1.2%) | 10 (2.0%) | 7 (1.4%) |
| UROGENITAL SYSTEM | |||
| Abnormal ejaculation | 42 (8.4%) | 89 (18.1%) | 1 (0.2%) |
| SPECIAL SENSES | |||
| Blurred vision | 1 (0.2%) | 10 (2.0%) | 2 (0.4%) |
Other
Signs and Symptoms of Orthostasis
In the two U.S. studies, symptomatic postural hypotension was reported by 0.2% of patients (1 of 502) in the 0.4 mg group, 0.4% of patients (2 of 492) in the 0.8 mg group, and by no patients in the placebo group. Syncope was reported by 0.2% of patients (1 of 502) in the 0.4 mg group, 0.4% of patients (2 of 492) in the 0.8 mg group, and 0.6% of patients (3 of 493) in the placebo group. Dizziness was reported by 15% of patients (75 of 502) in the 0.4 mg group, 17% of patients (84 of 492) in the 0.8 mg group, and 10% of patients (50 of 493) in the placebo group. Vertigo was reported by 0.6% of patients (3 of 502) in the 0.4 mg group, 1% of patients (5 of 492) in the 0.8 mg group, and by 0.6% of patients (3 of 493) in the placebo group.
Multiple testing for orthostatic hypotension was conducted in a number of studies. Such a test was considered positive if it met one or more of the following criteria: (1) a decrease in systolic blood pressure of ≥20 mmHg upon standing from the supine position during the orthostatic tests; (2) a decrease in diastolic blood pressure ≥10 mmHg upon standing, with the standing diastolic blood pressure <65 mmHg during the orthostatic test; (3) an increase in pulse rate of ≥20 bpm upon standing with a standing pulse rate ≥100 bpm during the orthostatic test; and (4) the presence of clinical symptoms (faintness, lightheadedness/lightheaded, dizziness, spinning sensation, vertigo, or postural hypotension) upon standing during the orthostatic test.
Following the first dose of double-blind medication in Study 1, a positive orthostatic test result at 4 hours post dose was observed in 7% of patients (37 of 498) who received FLOMAX capsules 0.4 mg once daily and in 3% of the patients (8 of 253) who received placebo. At 8 hours post dose, a positive orthostatic test result was observed for 6% of the patients (31 of 498) who received FLOMAX capsules 0.4 mg once daily and 4% (9 of 250) who received placebo (Note: patients in the 0.8 mg group received 0.4 mg once daily for the first week of Study 1).
In Studies 1 and 2, at least one positive orthostatic test result was observed during the course of these studies for 81 of the 502 patients (16%) in the FLOMAX capsules 0.4 mg once-daily group, 92 of the 491 patients (19%) in the FLOMAX capsules 0.8 mg once-daily group, and 54 of the 493 patients (11%) in the placebo group.
Because orthostasis was detected more frequently in FLOMAX capsule-treated patients than in placebo recipients, there is a potential risk of syncope [see Warnings and Precautions (5.1)] .
Abnormal Ejaculation
Abnormal ejaculation includes ejaculation failure, ejaculation disorder, retrograde ejaculation, and ejaculation decrease. As shown in Table 1, abnormal ejaculation was associated with FLOMAX capsules administration and was dose-related in the U.S. studies. Withdrawal from these clinical studies of FLOMAX capsules because of abnormal ejaculation was also dose-dependent, with 8 of 492 patients (1.6%) in the 0.8 mg group and no patients in the 0.4 mg or placebo groups discontinuing treatment due to abnormal ejaculation.
Laboratory Tests
No laboratory test interactions with FLOMAX capsules are known. Treatment with FLOMAX capsules for up to 12 months had no significant effect on prostate-specific antigen (PSA).
Strong and Moderate Inhibitors of CYP3A4 or CYP2D6
Tamsulosin is extensively metabolized, mainly by CYP3A4 and CYP2D6.
Concomitant treatment with ketoconazole (a strong inhibitor of CYP3A4) resulted in an increase in the C max and AUC of tamsulosin by a factor of 2.2 and 2.8, respectively [see Warnings and Precautions (5.2) and Clinical Pharmacology (12.3)] . The effects of concomitant administration of a moderate CYP3A4 inhibitor (e.g., erythromycin) on the pharmacokinetics of FLOMAX have not been evaluated [see Warnings and Precautions (5.2) and Clinical Pharmacology (12.3)] .
Concomitant treatment with paroxetine (a strong inhibitor of CYP2D6) resulted in an increase in the C max and AUC of tamsulosin by a factor of 1.3 and 1.6, respectively [see Warnings and Precautions (5.2) and Clinical Pharmacology (12.3)] . A similar increase in exposure is expected in CYP2D6 poor metabolizers (PM) as compared to extensive metabolizers (EM). Since CYP2D6 PMs cannot be readily identified and the potential for significant increase in tamsulosin exposure exists when FLOMAX 0.4 mg is coadministered with strong CYP3A4 inhibitors in CYP2D6 PMs, FLOMAX capsules 0.4 mg should not be used in combination with strong inhibitors of CYP3A4 (e.g., ketoconazole) [see Warnings and Precautions (5.2) and Clinical Pharmacology (12.3)] .
The effects of concomitant administration of a moderate CYP2D6 inhibitor (e.g., terbinafine) on the pharmacokinetics of FLOMAX have not been evaluated [see Warnings and Precautions (5.2) and Clinical Pharmacology (12.3)] .
The effects of coadministration of both a CYP3A4 and a CYP2D6 inhibitor with FLOMAX capsules have not been evaluated. However, there is a potential for significant increase in tamsulosin exposure when FLOMAX 0.4 mg is coadministered with a combination of both CYP3A4 and CYP2D6 inhibitors [see Warnings and Precautions (5.2) and Clinical Pharmacology (12.3)] .
Cimetidine
Treatment with cimetidine resulted in a significant decrease (26%) in the clearance of tamsulosin hydrochloride, which resulted in a moderate increase in tamsulosin hydrochloride AUC (44%) [see Warnings and Precautions (5.2) and Clinical Pharmacology (12.3)] .
Risk Summary
FLOMAX is not indicated for use in women. There are no adequate data on the developmental risk associated with the use of FLOMAX in pregnant women. No adverse developmental effects were observed in animal studies in which tamsulosin hydrochloride was administered to rats or rabbits during the period of organogenesis (GD 7 to 17 in the rat and GD 6 to 18 in the rabbit) [see Data].
In the U.S. general population, the estimated background risk of major birth defects and of miscarriage in clinically recognized pregnancies is 2%–4% and 15%–20%, respectively.
Data
Administration of tamsulosin hydrochloride to pregnant female rats during the period of organogenesis at dose levels up to approximately 50 times the human therapeutic AUC exposure (300 mg/kg/day) revealed no evidence of harm to the fetus. Administration of tamsulosin hydrochloride to pregnant rabbits during the period of organogenesis at dose levels up to 50 mg/kg/day produced no evidence of fetal harm.
Data
Oral administration of radiolabeled tamsulosin hydrochloride to rats demonstrated that tamsulosin hydrochloride and/or its metabolites are excreted into the milk of rats.
Infertility
Males
Abnormal ejaculation including ejaculation failure, ejaculation disorder, retrograde ejaculation, and ejaculation decrease has been associated with FLOMAX [see Adverse Reactions (6.1)]. Studies in rats revealed significantly reduced fertility in males considered to be due to impairment of ejaculation, which was reversible [see Nonclinical Toxicology (13.1)].
Females
FLOMAX is not indicated for use in women. Female fertility in rats was significantly reduced, considered to be due to impairment of fertilization [see Nonclinical Toxicology (13.1)].
Absorption
Absorption of tamsulosin hydrochloride from FLOMAX capsules 0.4 mg is essentially complete (>90%) following oral administration under fasting conditions. Tamsulosin hydrochloride exhibits linear kinetics following single and multiple dosing, with achievement of steady-state concentrations by the fifth day of once-a-day dosing.
Effect of Food
The time to maximum concentration (T max) is reached by 4 to 5 hours under fasting conditions and by 6 to 7 hours when FLOMAX capsules are administered with food. Taking FLOMAX capsules under fasted conditions results in a 30% increase in bioavailability (AUC) and 40% to 70% increase in peak concentrations (C max) compared to fed conditions (Figure 1).
Figure 1: Mean Plasma Tamsulosin Hydrochloride Concentrations Following Single-Dose Administration of FLOMAX Capsules 0.4 mg Under Fasted and Fed Conditions (n=8)
The effects of food on the pharmacokinetics of tamsulosin hydrochloride are consistent regardless of whether a FLOMAX capsule is taken with a light breakfast or a high-fat breakfast (Table 2).
| Pharmacokinetic Parameter | 0.4 mg QD to healthy volunteers; n=23
(age range 18–32 years) | 0.8 mg QD to healthy volunteers; n=22
(age range 55–75 years) | |||
|---|---|---|---|---|---|
| Light Breakfast | Fasted | Light Breakfast | High-Fat Breakfast | Fasted | |
| C
min = observed minimum concentration
C max = observed maximum tamsulosin hydrochloride plasma concentration T max = median time-to-maximum concentration T 1/2 = observed half-life AUC τ = area under the tamsulosin hydrochloride plasma time curve over the dosing interval | |||||
| C min (ng/mL) | 4.0 ± 2.6 | 3.8 ± 2.5 | 12.3 ± 6.7 | 13.5 ± 7.6 | 13.3 ± 13.3 |
| C max (ng/mL) | 10.1 ± 4.8 | 17.1 ± 17.1 | 29.8 ± 10.3 | 29.1 ± 11.0 | 41.6 ± 15.6 |
| C max/C min Ratio | 3.1 ± 1.0 | 5.3 ± 2.2 | 2.7 ± 0.7 | 2.5 ± 0.8 | 3.6 ± 1.1 |
| T max (hours) | 6.0 | 4.0 | 7.0 | 6.6 | 5.0 |
| T 1/2 (hours) | - | - | - | - | 14.9 ± 3.9 |
| AUC τ (ng∙hr/mL) | 151 ± 81.5 | 199 ± 94.1 | 440 ± 195 | 449 ± 217 | 557 ± 257 |
Distribution
The mean steady-state apparent volume of distribution of tamsulosin hydrochloride after intravenous administration to 10 healthy male adults was 16 L, which is suggestive of distribution into extracellular fluids in the body.
Tamsulosin hydrochloride is extensively bound to human plasma proteins (94% to 99%), primarily alpha 1 acid glycoprotein (AAG), with linear binding over a wide concentration range (20 to 600 ng/mL). The results of two-way in vitro studies indicate that the binding of tamsulosin hydrochloride to human plasma proteins is not affected by amitriptyline, diclofenac, glyburide, simvastatin plus simvastatin-hydroxy acid metabolite, warfarin, diazepam, propranolol, trichlormethiazide, or chlormadinone. Likewise, tamsulosin hydrochloride had no effect on the extent of binding of these drugs.
Metabolism
There is no enantiomeric bioconversion from tamsulosin hydrochloride [R(-) isomer] to the S(+) isomer in humans. Tamsulosin hydrochloride is extensively metabolized by cytochrome P450 enzymes in the liver and less than 10% of the dose is excreted in urine unchanged. However, the pharmacokinetic profile of the metabolites in humans has not been established. Tamsulosin is extensively metabolized, mainly by CYP3A4 and CYP2D6 as well as via some minor participation of other CYP isoenzymes. Inhibition of hepatic drug-metabolizing enzymes may lead to increased exposure to tamsulosin [see Warnings and Precautions (5.2) and Drug Interactions (7.1)] . The metabolites of tamsulosin hydrochloride undergo extensive conjugation to glucuronide or sulfate prior to renal excretion.
Incubations with human liver microsomes showed no evidence of clinically significant metabolic interactions between tamsulosin hydrochloride and amitriptyline, albuterol (beta agonist), glyburide (glibenclamide) and finasteride (5-alpha-reductase inhibitor for treatment of BPH). However, results of the in vitro testing of the tamsulosin hydrochloride interaction with diclofenac and warfarin were equivocal.
Excretion
On administration of the radiolabeled dose of tamsulosin hydrochloride to 4 healthy volunteers, 97% of the administered radioactivity was recovered, with urine (76%) representing the primary route of excretion compared to feces (21%) over 168 hours.
Following intravenous or oral administration of an immediate-release formulation, the elimination half-life of tamsulosin hydrochloride in plasma ranged from 5 to 7 hours. Because of absorption rate-controlled pharmacokinetics with FLOMAX capsules, the apparent half-life of tamsulosin hydrochloride is approximately 9 to 13 hours in healthy volunteers and 14 to 15 hours in the target population.
Tamsulosin hydrochloride undergoes restrictive clearance in humans, with a relatively low systemic clearance (2.88 L/h).
Specific Populations
Pediatric use
FLOMAX capsules are not indicated for use in pediatric populations [see Use in Specific Populations (8.4)] .
Geriatric (age) use
Cross-study comparison of FLOMAX capsules overall exposure (AUC) and half-life indicates that the pharmacokinetic disposition of tamsulosin hydrochloride may be slightly prolonged in geriatric males compared to young, healthy male volunteers. Intrinsic clearance is independent of tamsulosin hydrochloride binding to AAG, but diminishes with age, resulting in a 40% overall higher exposure (AUC) in subjects of age 55 to 75 years compared to subjects of age 20 to 32 years [see Use in Specific Populations (8.5)] .
Renal impairment
The pharmacokinetics of tamsulosin hydrochloride have been compared in 6 subjects with mild-moderate (30≤ CL cr <70 mL/min/1.73 m 2) or moderate-severe (10≤ CL cr <30 mL/min/1.73 m 2) renal impairment and 6 normal subjects (CL cr >90 mL/min/1.73 m 2). While a change in the overall plasma concentration of tamsulosin hydrochloride was observed as the result of altered binding to AAG, the unbound (active) concentration of tamsulosin hydrochloride, as well as the intrinsic clearance, remained relatively constant. Therefore, patients with renal impairment do not require an adjustment in FLOMAX capsules dosing. However, patients with end-stage renal disease (CL cr <10 mL/min/1.73 m 2) have not been studied [see Use in Specific Populations (8.6)] .
Hepatic impairment
The pharmacokinetics of tamsulosin hydrochloride have been compared in 8 subjects with moderate hepatic impairment (Child-Pugh's classification: Grades A and B) and 8 normal subjects. While a change in the overall plasma concentration of tamsulosin hydrochloride was observed as the result of altered binding to AAG, the unbound (active) concentration of tamsulosin hydrochloride does not change significantly, with only a modest (32%) change in intrinsic clearance of unbound tamsulosin hydrochloride. Therefore, patients with moderate hepatic impairment do not require an adjustment in FLOMAX capsules dosage. FLOMAX has not been studied in patients with severe hepatic impairment [see Use in Specific Populations (8.7)] .
Drug Interactions
Cytochrome P450 inhibition
Strong and moderate inhibitors of CYP3A4 or CYP2D6
The effects of ketoconazole (a strong inhibitor of CYP3A4) at 400 mg once daily for 5 days on the pharmacokinetics of a single FLOMAX capsule 0.4 mg dose was investigated in 24 healthy volunteers (age range 23 to 47 years). Concomitant treatment with ketoconazole resulted in an increase in the C max and AUC of tamsulosin by a factor of 2.2 and 2.8, respectively [see Warnings and Precautions (5.2) and Clinical Pharmacology (12.3)] . The effects of concomitant administration of a moderate CYP3A4 inhibitor (e.g., erythromycin) on the pharmacokinetics of FLOMAX have not been evaluated [see Warnings and Precautions (5.2) and Drug Interactions (7.1)] .
The effects of paroxetine (a strong inhibitor of CYP2D6) at 20 mg once daily for 9 days on the pharmacokinetics of a single FLOMAX capsule 0.4 mg dose was investigated in 24 healthy volunteers (age range 23 to 47 years). Concomitant treatment with paroxetine resulted in an increase in the C max and AUC of tamsulosin by a factor of 1.3 and 1.6, respectively [see Warnings and Precautions (5.2) and Drug Interactions (7.1)] . A similar increase in exposure is expected in CYP2D6 poor metabolizers (PM) as compared to extensive metabolizers (EM). A fraction of the population (about 7% of Caucasians and 2% of African Americans) are CYP2D6 PMs. Since CYP2D6 PMs cannot be readily identified and the potential for significant increase in tamsulosin exposure exists when FLOMAX 0.4 mg is coadministered with strong CYP3A4 inhibitors in CYP2D6 PMs, FLOMAX capsules 0.4 mg should not be used in combination with strong inhibitors of CYP3A4 (e.g., ketoconazole) [see Warnings and Precautions (5.2) and Drug Interactions (7.1)] .
The effects of concomitant administration of a moderate CYP2D6 inhibitor (e.g., terbinafine) on the pharmacokinetics of FLOMAX have not been evaluated [see Warnings and Precautions (5.2) and Drug Interactions (7.1)] .
The effects of coadministration of both a CYP3A4 and a CYP2D6 inhibitor with FLOMAX capsules have not been evaluated. However, there is a potential for significant increase in tamsulosin exposure when FLOMAX 0.4 mg is coadministered with a combination of both CYP3A4 and CYP2D6 inhibitors [see Warnings and Precautions (5.2) and Drug Interactions (7.1)] .
Cimetidine
The effects of cimetidine at the highest recommended dose (400 mg every 6 hours for 6 days) on the pharmacokinetics of a single FLOMAX capsule 0.4 mg dose was investigated in 10 healthy volunteers (age range 21 to 38 years). Treatment with cimetidine resulted in a significant decrease (26%) in the clearance of tamsulosin hydrochloride, which resulted in a moderate increase in tamsulosin hydrochloride AUC (44%) [see Warnings and Precautions (5.2) and Drug Interactions (7.1)] .
Other alpha adrenergic blocking agents
The pharmacokinetic and pharmacodynamic interactions between FLOMAX capsules and other alpha adrenergic blocking agents have not been determined; however, interactions between FLOMAX capsules and other alpha adrenergic blocking agents may be expected [see Warnings and Precautions (5.2) and Drug Interactions (7.2)] .
PDE5 inhibitors
Caution is advised when alpha adrenergic blocking agents, including FLOMAX, are coadministered with PDE5 inhibitors. Alpha-adrenergic blockers and PDE5 inhibitors are both vasodilators that can lower blood pressure. Concomitant use of these two drug classes can potentially cause symptomatic hypotension [see Warnings and Precautions (5.2) and Drug Interactions (7.3)] .
Warfarin
A definitive drug-drug interaction study between tamsulosin hydrochloride and warfarin was not conducted. Results from limited in vitro and in vivo studies are inconclusive. Therefore, caution should be exercised with concomitant administration of warfarin and FLOMAX capsules [see Warnings and Precautions (5.2) and Drug Interactions (7.4)] .
Nifedipine, atenolol, enalapril
In three studies in hypertensive subjects (age range 47 to 79 years) whose blood pressure was controlled with stable doses of nifedipine, atenolol, or enalapril for at least 3 months, FLOMAX capsules 0.4 mg for 7 days followed by FLOMAX capsules 0.8 mg for another 7 days (n=8 per study) resulted in no clinically significant effects on blood pressure and pulse rate compared to placebo (n=4 per study). Therefore, dosage adjustments are not necessary when FLOMAX capsules are administered concomitantly with nifedipine, atenolol, or enalapril [see Drug Interactions (7.5)] .
Digoxin and theophylline
In two studies in healthy volunteers (n=10 per study; age range 19 to 39 years) receiving FLOMAX capsules 0.4 mg/day for 2 days, followed by FLOMAX capsules 0.8 mg/day for 5 to 8 days, single intravenous doses of digoxin 0.5 mg or theophylline 5 mg/kg resulted in no change in the pharmacokinetics of digoxin or theophylline. Therefore, dosage adjustments are not necessary when a FLOMAX capsule is administered concomitantly with digoxin or theophylline [see Drug Interactions (7.6)] .
Furosemide
The pharmacokinetic and pharmacodynamic interaction between FLOMAX capsules 0.8 mg/day (steady-state) and furosemide 20 mg intravenously (single dose) was evaluated in 10 healthy volunteers (age range 21 to 40 years). FLOMAX capsules had no effect on the pharmacodynamics (excretion of electrolytes) of furosemide. While furosemide produced an 11% to 12% reduction in tamsulosin hydrochloride C max and AUC, these changes are expected to be clinically insignificant and do not require adjustment of the FLOMAX capsules dosage [see Drug Interactions (7.7)] .
• Hypotension
Advise the patient about the possible occurrence of symptoms related to postural hypotension, such as dizziness, when taking FLOMAX capsules, and they should be cautioned about driving, operating machinery, or performing hazardous tasks [see Warnings and Precautions (5.1)] .
• Drug Interactions
Advise the patient that FLOMAX should not be used in combination with strong inhibitors of CYP3A4 [see Warnings and Precautions (5.2) and Drug Interactions (7.1)] .
• Priapism
Advise the patient about the possibility of priapism as a result of treatment with FLOMAX capsules and other similar medications. Patients should be informed that this reaction is extremely rare, but if not brought to immediate medical attention, can lead to permanent erectile dysfunction (impotence) [see Warnings and Precautions (5.3)] .
• Screening for Prostate Cancer
Prostate cancer and BPH frequently coexist; therefore, screen patients for the presence of prostate cancer prior to treatment with FLOMAX capsules and at regular intervals afterwards [see Warnings and Precautions (5.4)].
• Intraoperative Floppy Iris Syndrome
Advise the patient when considering cataract or glaucoma surgery to tell their ophthalmologist that they have taken FLOMAX capsules [see Warnings and Precautions (5.5)] .
• Administration
Advise the patient that FLOMAX capsules should not be crushed, chewed or opened [see Dosage and Administration (2)] .
FDA-approved Patient Labeling
Patient labeling is provided as a tear-off leaflet at the end of this prescribing information.
Distributed by:
sanofi-aventis U.S. LLC
Bridgewater, NJ 08807
A SANOFI COMPANY
Flomax is a registered trademark of and licensed from:
Astellas Pharma Inc.
Tokyo 103-8411, JAPAN
© 2019. All rights reserved.
6.2 Postmarketing Experience
The following adverse reactions have been identified during postapproval use of FLOMAX capsules. Because these reactions are reported voluntarily from a population of uncertain size, it is not always possible to reliably estimate their frequency or establish a causal relationship to drug exposure. Decisions to include these reactions in labeling are typically based on one or more of the following factors: (1) seriousness of the reaction, (2) frequency of reporting, or (3) strength of causal connection to FLOMAX capsules.
Allergic-type reactions such as skin rash, urticaria, pruritus, angioedema, and respiratory symptoms have been reported with positive rechallenge in some cases. Priapism has been reported rarely. Infrequent reports of dyspnea, palpitations, hypotension, atrial fibrillation, arrhythmia, tachycardia, skin desquamation including reports of Stevens-Johnson syndrome, erythema multiforme, dermatitis exfoliative, constipation, vomiting, dry mouth, visual impairment, and epistaxis have been received during the postmarketing period.
During cataract and glaucoma surgery, a variant of small pupil syndrome known as Intraoperative Floppy Iris Syndrome (IFIS) has been reported in association with alpha 1 blocker therapy [see Warnings and Precautions (5.5)] .
7.2 Other Alpha Adrenergic Blocking Agents
The pharmacokinetic and pharmacodynamic interactions between FLOMAX capsules and other alpha adrenergic blocking agents have not been determined; however, interactions between FLOMAX capsules and other alpha adrenergic blocking agents may be expected [see Warnings and Precautions (5.2) and Clinical Pharmacology (12.3)] .
7.3 Pde5 Inhibitors
Caution is advised when alpha adrenergic blocking agents including FLOMAX are coadministered with PDE5 inhibitors. Alpha-adrenergic blockers and PDE5 inhibitors are both vasodilators that can lower blood pressure. Concomitant use of these two drug classes can potentially cause symptomatic hypotension [see Warnings and Precautions (5.2) and Clinical Pharmacology (12.3)] .
7.4 Warfarin
A definitive drug-drug interaction study between tamsulosin hydrochloride and warfarin was not conducted. Results from limited in vitro and in vivo studies are inconclusive. Caution should be exercised with concomitant administration of warfarin and FLOMAX capsules [see Warnings and Precautions (5.2) and Clinical Pharmacology (12.3)] .
7.5 Nifedipine, Atenolol, Enalapril
Dosage adjustments are not necessary when FLOMAX capsules are administered concomitantly with nifedipine, atenolol, or enalapril [see Clinical Pharmacology (12.3)] .
7.6 Digoxin And Theophylline
Dosage adjustments are not necessary when a FLOMAX capsule is administered concomitantly with digoxin or theophylline [see Clinical Pharmacology (12.3)] .
7.7 Furosemide
FLOMAX capsules had no effect on the pharmacodynamics (excretion of electrolytes) of furosemide. While furosemide produced an 11% to 12% reduction in tamsulosin hydrochloride C max and AUC, these changes are expected to be clinically insignificant and do not require adjustment of the FLOMAX capsules dosage [see Clinical Pharmacology (12.3)] .
8.2 Lactation
FLOMAX is not indicated for use in women. There are no data on the presence of tamsulosin hydrochloride in human milk, the effects of tamsulosin hydrochloride on the breastfed infant, or the effects of tamsulosin hydrochloride on milk production. Tamsulosin hydrochloride is present in the milk of lactating rats [see Data].
8.4 Pediatric Use
FLOMAX capsules are not indicated for use in pediatric populations.
Efficacy and positive benefit/risk of tamsulosin hydrochloride was not demonstrated in two studies conducted in patients 2 years to 16 years of age with elevated detrusor leak point pressure (>40 cm H 2O) associated with known neurological disorder (e.g., spina bifida). Patients in both studies were treated on a weight-based mg/kg schema (0.025 mg, 0.05 mg, 0.1 mg, 0.2 mg, or 0.4 mg tamsulosin hydrochloride) for the reduction in detrusor leak point pressure below 40 cm H 2O. In a randomized, double-blind, placebo-controlled, 14-week, pharmacokinetic, safety and efficacy study in 161 patients, no statistically significant difference in the proportion of responders was observed between groups receiving tamsulosin hydrochloride and placebo. In an open-label, 12-month safety study, 87 patients were treated with tamsulosin hydrochloride. The most frequently reported adverse events (≥5%) from the pooled data of both studies were urinary tract infection, vomiting, pyrexia, headache, nasopharyngitis, cough, pharyngitis, influenza, diarrhea, abdominal pain, and constipation.
8.5 Geriatric Use
Of the total number of subjects (1783) in clinical studies of tamsulosin, 36% were 65 years of age and over. No overall differences in safety or effectiveness were observed between these subjects and younger subjects, and the other reported clinical experience has not identified differences in responses between the elderly and younger patients, but greater sensitivity of some older individuals cannot be ruled out [see Clinical Pharmacology (12.3)] .
8.6 Renal Impairment
Patients with renal impairment do not require an adjustment in FLOMAX capsules dosing. However, patients with end-stage renal disease (CL cr <10 mL/min/1.73 m 2) have not been studied [see Clinical Pharmacology (12.3)] .
8.7 Hepatic Impairment
Patients with moderate hepatic impairment do not require an adjustment in FLOMAX capsules dosage. FLOMAX has not been studied in patients with severe hepatic impairment [see Clinical Pharmacology (12.3)] .
10 Overdosage
Should overdosage of FLOMAX capsules lead to hypotension [see Warnings and Precautions (5.1) and Adverse Reactions (6.1)] , support of the cardiovascular system is of first importance. Restoration of blood pressure and normalization of heart rate may be accomplished by keeping the patient in the supine position. If this measure is inadequate, then administration of intravenous fluids should be considered. If necessary, vasopressors should then be used and renal function should be monitored and supported as needed. Laboratory data indicate that tamsulosin hydrochloride is 94% to 99% protein bound; therefore, dialysis is unlikely to be of benefit.
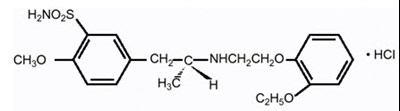
11 Description
Tamsulosin hydrochloride is an antagonist of alpha 1A adrenoceptors in the prostate.
Tamsulosin hydrochloride is (-)-( R)-5-[2-[[2-( o-Ethoxyphenoxy)ethyl]amino]propyl]-2-methoxybenzenesulfonamide, monohydrochloride. Tamsulosin hydrochloride is a white crystalline powder that melts with decomposition at approximately 230°C. It is sparingly soluble in water and methanol, slightly soluble in glacial acetic acid and ethanol, and practically insoluble in ether.
The empirical formula of tamsulosin hydrochloride is C 20H 28N 2O 5S ∙ HCl. The molecular weight of tamsulosin hydrochloride is 444.98. Its structural formula is:
Each FLOMAX capsule for oral administration contains tamsulosin hydrochloride, USP 0.4 mg, and the following inactive ingredients: microcrystalline cellulose; methacrylic acid copolymer dispersion; triacetin; calcium stearate; talc; gelatin; iron oxide; FD&C blue No. 2; titanium dioxide; propylene glycol; and shellac.
12.1 Mechanism Of Action
The symptoms associated with benign prostatic hyperplasia (BPH) are related to bladder outlet obstruction, which is comprised of two underlying components: static and dynamic. The static component is related to an increase in prostate size caused, in part, by a proliferation of smooth muscle cells in the prostatic stroma. However, the severity of BPH symptoms and the degree of urethral obstruction do not correlate well with the size of the prostate. The dynamic component is a function of an increase in smooth muscle tone in the prostate and bladder neck leading to constriction of the bladder outlet. Smooth muscle tone is mediated by the sympathetic nervous stimulation of alpha 1 adrenoceptors, which are abundant in the prostate, prostatic capsule, prostatic urethra, and bladder neck. Blockade of these adrenoceptors can cause smooth muscles in the bladder neck and prostate to relax, resulting in an improvement in urine flow rate and a reduction in symptoms of BPH.
Tamsulosin, an alpha 1 adrenoceptor blocking agent, exhibits selectivity for alpha 1 receptors in the human prostate. At least three discrete alpha 1 adrenoceptor subtypes have been identified: alpha 1A, alpha 1B, and alpha 1D; their distribution differs between human organs and tissue. Approximately 70% of the alpha 1 receptors in the human prostate are of the alpha 1A subtype.
FLOMAX capsules are not intended for use as an antihypertensive drug.
12.2 Pharmacodynamics
Urologic pharmacodynamic effects have been evaluated in neurologically impaired pediatric patients and in adults with BPH [see Use in Specific Populations (8.4) and Clinical Studies (14)] .
12.3 Pharmacokinetics
The pharmacokinetics of tamsulosin hydrochloride have been evaluated in adult healthy volunteers and patients with BPH after single and/or multiple administration with doses ranging from 0.1 mg to 1 mg.
13.1 Carcinogenesis, Mutagenesis, Impairment Of Fertility
Rats administered doses up to 43 mg/kg/day in males and 52 mg/kg/day in females had no increases in tumor incidence, with the exception of a modest increase in the frequency of mammary gland fibroadenomas in female rats receiving doses ≥5.4 mg/kg (P<0.015). The highest doses of tamsulosin hydrochloride evaluated in the rat carcinogenicity study produced systemic exposures (AUC) in rats 3 times the exposures in men receiving the maximum therapeutic dose of 0.8 mg/day.
Mice were administered doses up to 127 mg/kg/day in males and 158 mg/kg/day in females. There were no significant tumor findings in male mice. Female mice treated for 2 years with the two highest doses of 45 and 158 mg/kg/day had statistically significant increases in the incidence of mammary gland fibroadenomas (P<0.0001) and adenocarcinomas (P<0.0075). The highest dose levels of tamsulosin hydrochloride evaluated in the mice carcinogenicity study produced systemic exposures (AUC) in mice 8 times the exposures in men receiving the maximum therapeutic dose of 0.8 mg/day.
The increased incidences of mammary gland neoplasms in female rats and mice were considered secondary to tamsulosin hydrochloride-induced hyperprolactinemia. It is not known if FLOMAX capsules elevate prolactin in humans. The relevance for human risk of the findings of prolactin-mediated endocrine tumors in rodents is not known.
Tamsulosin hydrochloride produced no evidence of mutagenic potential in vitro in the Ames reverse mutation test, mouse lymphoma thymidine kinase assay, unscheduled DNA repair synthesis assay, and chromosomal aberration assays in Chinese hamster ovary cells or human lymphocytes. There were no mutagenic effects in the in vivo sister chromatid exchange and mouse micronucleus assay.
Studies in rats revealed significantly reduced fertility in males dosed with single or multiple daily doses of 300 mg/kg/day of tamsulosin hydrochloride (AUC exposure in rats about 50 times the human exposure with the maximum therapeutic dose). The mechanism of decreased fertility in male rats is considered to be an effect of the compound on the vaginal plug formation possibly due to changes of semen content or impairment of ejaculation. The effects on fertility were reversible, showing improvement by 3 days after a single dose and 4 weeks after multiple dosing. Effects on fertility in males were completely reversed within nine weeks of discontinuation of multiple dosing. Multiple doses of 10 and 100 mg/kg/day tamsulosin hydrochloride (1/5 and 16 times the anticipated human AUC exposure) did not significantly alter fertility in male rats. Effects of tamsulosin hydrochloride on sperm counts or sperm function have not been evaluated.
Studies in female rats revealed significant reductions in fertility after single or multiple dosing with 300 mg/kg/day of the R-isomer or racemic mixture of tamsulosin hydrochloride, respectively. In female rats, the reductions in fertility after single doses were considered to be associated with impairments in fertilization. Multiple dosing with 10 or 100 mg/kg/day of the racemic mixture did not significantly alter fertility in female rats.
14 Clinical Studies
Four placebo-controlled clinical studies and one active-controlled clinical study enrolled a total of 2296 patients (1003 received FLOMAX capsules 0.4 mg once daily, 491 received FLOMAX capsules 0.8 mg once daily, and 802 were control patients) in the U.S. and Europe.
In the two U.S. placebo-controlled, double-blind, 13-week, multicenter studies (Study 1 [US92-03A] and Study 2 [US93-01]), 1486 men with the signs and symptoms of BPH were enrolled. In both studies, patients were randomized to either placebo, FLOMAX capsules 0.4 mg once daily, or FLOMAX capsules 0.8 mg once daily. Patients in FLOMAX capsules 0.8 mg once-daily treatment groups received a dose of 0.4 mg once daily for one week before increasing to the 0.8 mg once-daily dose. The primary efficacy assessments included: 1) total American Urological Association (AUA) Symptom Score questionnaire, which evaluated irritative (frequency, urgency, and nocturia), and obstructive (hesitancy, incomplete emptying, intermittency, and weak stream) symptoms, where a decrease in score is consistent with improvement in symptoms; and 2) peak urine flow rate, where an increased peak urine flow rate value over baseline is consistent with decreased urinary obstruction.
Mean changes from baseline to Week 13 in total AUA Symptom Score were significantly greater for groups treated with FLOMAX capsules 0.4 mg and 0.8 mg once daily compared to placebo in both U.S. studies (Table 3, Figures 2A and 2B). The changes from baseline to Week 13 in peak urine flow rate were also significantly greater for the FLOMAX capsules 0.4 mg and 0.8 mg once-daily groups compared to placebo in Study 1, and for the FLOMAX capsules 0.8 mg once-daily group in Study 2 (Table 3, Figures 3A and 3B). Overall there were no significant differences in improvement observed in total AUA Symptom Scores or peak urine flow rates between the 0.4 mg and the 0.8 mg dose groups with the exception that the 0.8 mg dose in Study 1 had a significantly greater improvement in total AUA Symptom Score compared to the 0.4 mg dose.
| Total AUA Symptom Score | Peak Urine Flow Rate | |||
|---|---|---|---|---|
| Mean Baseline Value | Mean Change | Mean Baseline Value | Mean Change | |
| Week 13: For patients not completing the 13-week study, the last observation was carried forward. | ||||
| Study 1
Peak urine flow rate measured 4 to 8 hours post dose at Week 13. | ||||
| FLOMAX capsules
0.8 mg once daily | 19.9 ± 4.9
n=247 | -9.6
Statistically significant difference from placebo (p-value ≤0.050; Bonferroni-Holm multiple test procedure). ± 6.7n=237 | 9.57 ± 2.51
n=247 | 1.78
n=247 |
| FLOMAX capsules
0.4 mg once daily | 19.8 ± 5.0
n=254 | -8.3
n=246 | 9.46 ± 2.49
n=254 | 1.75
n=254 |
| Placebo | 19.6 ± 4.9
n=254 | -5.5 ± 6.6
n=246 | 9.75 ± 2.54
n=254 | 0.52 ± 3.39
n=253 |
| Study 2
Peak urine flow rate measured 24 to 27 hours post dose at Week 13. | ||||
| FLOMAX capsules
0.8 mg once daily | 18.2 ± 5.6
n=244 | -5.8
n=238 | 9.96 ± 3.16
n=244 | 1.79
n=237 |
| FLOMAX capsules
0.4 mg once daily | 17.9 ± 5.8
n=248 | -5.1
n=244 | 9.94 ± 3.14
n=248 | 1.52 ± 3.64
n=244 |
| Placebo | 19.2 ± 6.0
n=239 | -3.6 ± 5.7
n=235 | 9.95 ± 3.12
n=239 | 0.93 ± 3.28
n=235 |
Mean total AUA Symptom Scores for both FLOMAX capsules 0.4 mg and 0.8 mg once-daily groups showed a rapid decrease starting at 1 week after dosing and remained decreased through 13 weeks in both studies (Figures 2A and 2B).
In Study 1, 400 patients (53% of the originally randomized group) elected to continue in their originally assigned treatment groups in a double-blind, placebo-controlled, 40-week extension trial (138 patients on 0.4 mg, 135 patients on 0.8 mg, and 127 patients on placebo). Three hundred twenty-three patients (43% of the originally randomized group) completed one year. Of these, 81% (97 patients) on 0.4 mg, 74% (75 patients) on 0.8 mg, and 56% (57 patients) on placebo had a response ≥25% above baseline in total AUA Symptom Score at one year.
Figure 2A: Mean Change from Baseline in Total AUA Symptom Score (0–35) Study 1
* indicates significant difference from placebo (p-value ≤0.050).
B = Baseline determined approximately one week prior to the initial dose of double-blind medication at Week 0.
Subsequent values are observed cases.
LOCF = Last observation carried forward for patients not completing the 13-week study.
Note: Patients in the 0.8 mg treatment group received 0.4 mg for the first week.
Note: Total AUA Symptom Scores range from 0 to 35.
Figure 2B: Mean Change from Baseline in Total AUA Symptom Score (0–35) Study 2
* indicates significant difference from placebo (p-value ≤0.050).
Baseline measurement was taken Week 0. Subsequent values are observed cases.
LOCF = Last observation carried forward for patients not completing the 13-week study.
Note: Patients in the 0.8 mg treatment group received 0.4 mg for the first week.
Note: Total AUA Symptom Scores range from 0 to 35.
Figure 3A: Mean Increase in Peak Urine Flow Rate (mL/Sec) Study 1
* indicates significant difference from placebo (p-value ≤0.050).
B = Baseline determined approximately one week prior to the initial dose of double-blind medication at Week 0.
Subsequent values are observed cases.
LOCF = Last observation carried forward for patients not completing the 13-week study.
Note: The uroflowmetry assessments at Week 0 were recorded 4 to 8 hours after patients received the first dose of double-blind medication.
Measurements at each visit were scheduled 4 to 8 hours after dosing (approximate peak plasma tamsulosin concentration).
Note: Patients in the 0.8 mg treatment groups received 0.4 mg for the first week.
Figure 3B: Mean Increase in Peak Urine Flow Rate (mL/Sec) Study 2
* indicates significant difference from placebo (p-value ≤0.050).
Baseline measurement was taken Week 0. Subsequent values are observed cases.
LOCF = Last observation carried forward for patients not completing the 13-week study.
Note: Patients in the 0.8 mg treatment group received 0.4 mg for the first week.
Note: Week 1 and Week 2 measurements were scheduled 4 to 8 hours after dosing (approximate peak plasma tamsulosin concentration).
All other visits were scheduled 24 to 27 hours after dosing (approximate trough tamsulosin concentration).
16 How Supplied/Storage And Handling
FLOMAX capsules 0.4 mg are supplied in high density polyethylene bottles containing 100 hard gelatin capsules with olive green opaque cap and orange opaque body. The capsules are imprinted on one side with Flomax 0.4 mg and on the other side with BI 58.
FLOMAX capsules 0.4 mg, 100 capsules (NDC 0024-5837-01)
Storage And Handling
Store at 25°C (77°F); excursions permitted to 15°C–30°C (59°F–86°F) [see USP Controlled Room Temperature].
Keep FLOMAX capsules and all medicines out of reach of children.
17 Patient Counseling Information
Advise the patient to read the FDA-approved patient labeling (Patient Information).
Patient Information
Flomax
® (Flō-max)
(tamsulosin hydrochloride, USP)
Capsules, 0.4 mg
Read the Patient Information that comes with FLOMAX capsules before you start taking it and each time you refill your prescription. The information may have changed. This leaflet does not take the place of discussions with your doctor about your medical condition or your treatment.
What is FLOMAX?
FLOMAX is a prescription alpha-blocker medicine used to treat the signs and symptoms of benign prostatic hyperplasia (BPH), a condition your doctor may refer to as an enlarged prostate.
- FLOMAX is not for women.
- FLOMAX is not for children.
- any kidney or liver problems.
- any history of low blood pressure.
- any allergies to sulfa or any other medicines.
- if you are planning to have cataract or glaucoma surgery.
- any prescription medicines, including blood pressure medicines.
- any non-prescription medicines, including vitamins and herbal supplements.
- Take FLOMAX exactly as prescribed by your doctor.
- Do not crush, chew, or open FLOMAX capsules.
- Take FLOMAX one time each day, about 30 minutes after the same meal each day. For example, you may take FLOMAX 30 minutes after dinner each day.
- If you miss a dose of FLOMAX, take it as soon as you remember. If you miss your dose for the whole day, continue with your next dose on your regular schedule. Do not take two doses at the same time.
- If you stop or forget to take FLOMAX for several days, talk with your doctor before starting again.
- If you take more FLOMAX capsules than prescribed, call your doctor right away.
- Decreased blood pressure when changing positions. FLOMAX capsules may cause a sudden drop in blood pressure upon standing, especially after the first dose or when changing doses.
- Symptoms may include:
- fainting
- dizziness
- lightheadedness
Change positions slowly from lying down to sitting up or from a sitting to a standing position until you learn how you react to FLOMAX capsules. If you begin to feel dizzy, sit or lie down until you feel better. If the symptoms are severe or do not improve, call your doctor.
- Symptoms may include:
- Allergic reactions. Make your doctor aware of any allergic reactions you may experience while taking FLOMAX.
- Allergic reactions may include:
- rash
- itching
- hives
- Rare and more serious allergic reactions may also occur.
Get medical help right away if you have any of the following reactions:
- swelling of face, tongue, or throat
- difficulty breathing
- blistering of the skin
- Allergic reactions may include:
- A painful erection that will not go away. FLOMAX capsules can cause a painful erection (priapism), which cannot be relieved by having sex. If this happens, get medical help right away. If priapism is not treated, you may not be able to get an erection in the future.
- Eye problems during cataract or glaucoma surgery. During cataract or glaucoma surgery, a condition called intraoperative floppy iris syndrome (IFIS) can happen if you take or have taken FLOMAX capsules. If you need to have cataract or glaucoma surgery, be sure to tell your surgeon if you take or have taken FLOMAX capsules.
- runny nose
- dizziness
- decreased semen
- Active Ingredient: tamsulosin hydrochloride, USP
- Inactive Ingredients: microcrystalline cellulose; methacrylic acid copolymer dispersion; triacetin; calcium stearate; talc; gelatin; iron oxide; FD&C blue No. 2; titanium dioxide; propylene glycol; and shellac.
Who should not take FLOMAX?
Do not take FLOMAX capsules if you are allergic to any of its ingredients. See the end of this leaflet for a complete list of ingredients in FLOMAX capsules.
What should I tell my doctor before using FLOMAX?
Before taking FLOMAX capsules, tell your doctor about all your medical conditions, including:
Tell your doctor about all the medicines you take, including:
Some of your other medicines may affect the way FLOMAX capsules work. Especially tell your doctor if you take a medicine for high blood pressure. You should not take FLOMAX if you are already taking certain blood pressure medicines.
Know the medicines you take. Keep a list of them and show it to your doctor and pharmacist when you get a new medicine.
How should I take FLOMAX?
What are the possible side effects of FLOMAX capsules?
Possible side effects of FLOMAX may include:
Common side effects of FLOMAX capsules may include:
These are not all the possible side effects with FLOMAX capsules. Tell your doctor if you have any side effect that bothers you or that does not go away.
Call your doctor for medical advice about side effects. You may report side effects to FDA at 1-800-FDA-1088, or by visiting www.fda.gov/medwatch.
What should I avoid while taking FLOMAX capsules?
Avoid driving, operating machinery, or other dangerous activities, until you know how FLOMAX affects you. FLOMAX capsules may cause a sudden drop in blood pressure upon standing, especially after the first dose or when changing doses. See " What are the possible side effects of FLOMAX capsules?"
How do I store FLOMAX capsules?
Store FLOMAX capsules at Room Temperature 68°F to 77°F (20°C to 25°C). Short-term exposure to higher or lower temperatures (from 59°F [15°C] to 86°F [30°C]) is acceptable. Ask your doctor or pharmacist if you have any questions about storing your capsules.
Keep FLOMAX capsules and all medicines out of the reach of children.
General information
This medicine was prescribed for you by your doctor for your condition. Do not use it for another condition. Do not give FLOMAX to other people, even if they have the same symptoms that you have. It may harm them.
While taking FLOMAX, you must have regular checkups. Follow your doctor's advice about when to have these checkups.
BPH can occur with other more serious conditions, including prostate cancer. Therefore, ask your doctor about screening for prostate cancer prior to treatment with FLOMAX capsules and at regular intervals afterwards.
This patient information leaflet summarizes the most important information about FLOMAX. If you would like more information, talk with your doctor. You can ask your pharmacist or doctor for information about FLOMAX that is written for health professionals. For current prescribing information, access www.4flomax.com or call sanofi-aventis U.S. LLC at 1-800-633-1610.
What are the ingredients in FLOMAX capsules?
Distributed by:
sanofi-aventis U.S. LLC
Bridgewater, NJ 08807
A SANOFI COMPANY
Flomax is a registered trademark of and licensed from:
Astellas Pharma Inc.
Tokyo 103-8411, JAPAN
© 2019. All rights reserved.
This Patient Information has been approved by the U.S. Food and Drug Administration.
Revised: January 2019
Principal Display Panel - 0.4 Mg Capsule Bottle Label
NDC 0024-5837-01
Flomax ®
(tamsulosin
hydrochloride)
0.4 mg
100 capsules
Rx only
Dosage: Read accompanying
prescribing information.
SANOFI
Packagae Label.Principal Display Panel
* Please review the disclaimer below.




