Product Images Tramadol Hydrochloride

View Photos of Packaging, Labels & Appearance

Product Label Images

The following 13 images provide visual information about the product associated with Tramadol Hydrochloride NDC 67296-1917 by Redpharm Drug, such as packaging, labeling, and the appearance of the drug itself. This resource could be helpful for medical professionals, pharmacists, and patients seeking to verify medication information and ensure they have the correct product.

image description - tramadol hcl tabs figure 01

image description - tramadol hcl tabs figure 01

image description - tramadol hcl tabs figure 02

image description - tramadol hcl tabs figure 02

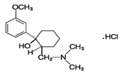
image description - tramadol hcl tabs structure

image description - tramadol hcl tabs structure

image description - tramadol hcl tabs usp 100mg 1000s

image description - tramadol hcl tabs usp 100mg 1000s

This is a product label for Tramadol hydrochloride tablets containing 100 mg of the active ingredient. The tablets are film-coated and should be kept in a tight container at a temperature between 20°C to 25°C (68°F to 77°F) with excursions permitted to 15°C to 30°C (59°F to 86°F). The medicine should be kept out of the reach of children. The usual dosage and prescribing information is provided in the package insert. The label also includes information for pharmacists to dispense a Medication Guide to each patient. The tablets are distributed by Advagen Pharma Limited and manufactured by Rubicon Research Private Limited in India.*

image description - tramadol hcl tabs usp 100mg 100s

image description - tramadol hcl tabs usp 100mg 100s

This text is a label for Tramadol hydrochloride tablets with a dosage of 100 mg. It provides information on storage conditions, dosage guidance, and a reminder to keep the medication out of reach of children. The label also includes details about the manufacturer and distributor of the tablets. For more specific dosage and prescribing instructions, it directs the user to refer to the accompanying package insert. The label indicates that the tablets are for prescription use only and instructs the pharmacist to dispense the Medication Guide to each patient.*

image description - tramadol hcl tabs usp 100mg 500s

image description - tramadol hcl tabs usp 100mg 500s

This text provides information on Tramadol hydrochloride tablets containing 100 mg each. The tablets are film-coated and should be dispensed in a tight container. It is recommended to store them at a temperature between 20°C to 25°C (68°F to 77°F), with excursions permitted to 15°C to 30°C (59°F to 86°F). The dosage information and prescribing instructions can be found in the accompanying packing insert. The medication is to be kept out of the reach of children. The text also includes details about the manufacturer, distributor, and a Medication Guide that should be provided to each patient. More information is available on www.advagenpharma.com/medguide/tramadol-hcl-tablets.*

image description - tramadol hcl tabs usp 25mg 1000s

image description - tramadol hcl tabs usp 25mg 1000s

This text provides information on Tramadol hydrochloride film-coated tablets, each containing 25 mg of the active ingredient. The storage conditions, dosage instructions, and precautions are detailed, including a note to keep the medication out of reach of children. The text also mentions a Medication Guide available online and includes details on the manufacturer and distributor. The tablets are for prescription use only.*

image description - tramadol hcl tabs usp 25mg 100s

image description - tramadol hcl tabs usp 25mg 100s

The text provides detailed information about Tramadol hydrochloride USP 25 mg film-coated tablets. It includes dosage instructions, storage conditions, and manufacturer details. The tablets are to be dispensed in a tight container and stored within the temperature range of 15°C to 30°C (59°F to 86°F). The medication guide is available at the provided website. The product is distributed by Advagen Pharma Ltd. in the USA and manufactured by Rubicon Research Private Limited in India. It is essential to keep this medication out of the reach of children.*

image description - tramadol hcl tabs usp 25mg 30s

image description - tramadol hcl tabs usp 25mg 30s

This text provides information about Tramadol hydrochloride tablets containing 25 mg per film-coated tablet. It includes storage instructions, dosage information, and details on the manufacturer and distributor. It also mentions the NDC code, a medication guide link, and the caution to keep the tablets out of reach of children.*

image description - tramadol hcl tabs usp 25mg 500s

image description - tramadol hcl tabs usp 25mg 500s

Each film-coated tablet contains Tramadol hydrochloride USP 25 mg. It should be dispensed in a tight container and stored at a temperature between 20°C to 25°C (68°F to 77°F), with excursions permitted to 15°C to 30°C (59°F to 86°F). The medication should be kept out of the reach of children. Refer to the medication guide available online for dosing information and additional prescribing details. The tablets are distributed by Advagen Pharma Ltd. and manufactured by Rubicon Research Private in India. The package includes 500 tablets. Remember to dispense the medication guide provided separately to each patient.*

image description - tramadol hcl tabs usp 50mg 1000s

image description - tramadol hcl tabs usp 50mg 1000s

Each film-coated tablet contains Tramadol hydrochloride USP 50 mg. This medication should be dispensed in a tight container and stored within the temperature range of 20°C to 25°C (68°F to 77°F), with excursions allowed to 15°C to 30°C (59°F to 86°F). Please refer to the USP Controlled Room Temperature guidelines. It is important to keep this medicine out of the reach of children. The usual dosage should be determined according to the accompanying package insert. This prescription item consists of 1000 tablets and should only be dispensed to patients along with the provided Medication Guide. For additional information, visit www.advagenpharma.com/medguide/tramadol-hydrochloride-tablets. This product is distributed by Advagen Pharma Limited in Plainsboro, New Jersey, USA, and manufactured by Rubicon Research Private Limited in Ambernath, India.*

image description - tramadol hcl tabs usp 50mg 100s

image description - tramadol hcl tabs usp 50mg 100s

This text provides information about Tramadol hydrochloride tablets containing 50 mg of the active ingredient. It includes instructions for storage, dosage, and dispensing, along with details on the manufacturer and distributors. The medication guide is also emphasized for patient reference.*

image description - tramadol hcl tabs usp 50mg 500s

image description - tramadol hcl tabs usp 50mg 500s

This text describes a medication in the form of film-coated tablets containing 50 mg of Tramadol hydrochloride USP. It includes storage instructions, dosage information, and details for dispensing. The medication is specified for prescription only and provides guidance for pharmacists to dispense along with a Medication Guide. Manufacturing and distribution details are also provided.*

* The product label images have been analyzed using a combination of traditional computing and machine learning techniques. It should be noted that the descriptions provided may not be entirely accurate as they are experimental in nature. Use the information in this page at your own discretion and risk.