Product Images Terbinafine

View Photos of Packaging, Labels & Appearance

Product Label Images

The following 2 images provide visual information about the product associated with Terbinafine NDC 67296-2103 by Redpharm Drug, such as packaging, labeling, and the appearance of the drug itself. This resource could be helpful for medical professionals, pharmacists, and patients seeking to verify medication information and ensure they have the correct product.

PACKAGE LABEL-PRINCIPAL DISPLAY PANEL - 250 mg (100 Tablet Bottle) - terbinafine fig1

PACKAGE LABEL-PRINCIPAL DISPLAY PANEL - 250 mg (100 Tablet Bottle) - terbinafine fig1

This text provides information about Terbinafine Tablets, USP which are prescribed medication used for certain fungal infections. Each tablet contains 250 mg of terbinafine hydrochloride USP. It includes instructions for pharmacists to dispense the Medication Guide to each patient and details about storage conditions. The dosage information can be found in the package insert. The tablets are distributed by Aurobindo Pharma USA, Inc. and made in India. The code P1421807 is also mentioned.*

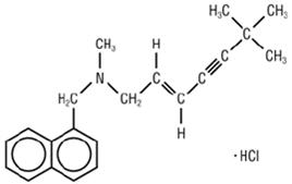
Chemical Structure - terbinafine str

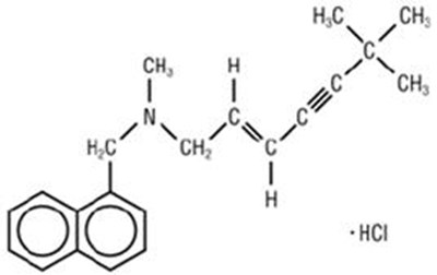
Chemical Structure - terbinafine str

* The product label images have been analyzed using a combination of traditional computing and machine learning techniques. It should be noted that the descriptions provided may not be entirely accurate as they are experimental in nature. Use the information in this page at your own discretion and risk.