Product Images Oxaliplatin

View Photos of Packaging, Labels & Appearance

Product Label Images

The following 7 images provide visual information about the product associated with Oxaliplatin NDC 67457-469 by Mylan Institutional Llc, such as packaging, labeling, and the appearance of the drug itself. This resource could be helpful for medical professionals, pharmacists, and patients seeking to verify medication information and ensure they have the correct product.

figure 1 - image 01

figure 1 - image 01

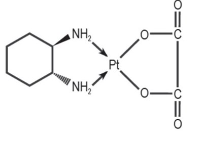
structural formula - image 02

structural formula - image 02

figure 2 - image 03

figure 2 - image 03

This appears to be a statistical analysis report for DFS (disease-free survival) probability. The table displays the probability (1.0 - 0.2) and the number of events (%), with the number of patients at risk for two treatment groups (AFOLFOX4 and LV5FU2). The report also includes hazard ratio and confidence interval (0.8 [0.68, 0.93]) and a stratified logrank test result (p=0.003). The x-axis represents the duration in months of DFS.*

figure 3 - image 04

figure 3 - image 04

This appears to be a survival analysis report for two different treatment groups, FOLFOX4 and LVSFU2, for patients with Dukes C stage colorectal cancer. The report gives the percentages of patients who are disease-free survival (DFS) at various time points up to 18 months, as well as the Stagel Hazard Ratio and Logrank Test p-value.*

figure 4 - image 05

figure 4 - image 05

50 mg carton - image 06

50 mg carton - image 06

100 mg carton - image 07

100 mg carton - image 07

Oxaliplatin Injection, USP is a cytotoxic agent used for intravenous therapy, and each mL contains 5mg of oxaliplatin in Water for Injection, USP. It must be diluted and the package insert should be consulted for further required dilution. It's important not to mix or add it to sodium chloride/chloride-containing solutions. It does not contain preservatives and should be protected from light, and stored at controlled room temperature, away from freezing conditions. Unused portions should be discarded, and the packaging insert describes ways of storing further diluted solutions. The vial is for a single-use only. The drug should be administered under strict medical supervision, and the package insert should be consulted for dosage and administration. The drug has a registry number, and the manufacturing company is in Rockford, IL, USA. The code number indicates its approval date.*

* The product label images have been analyzed using a combination of traditional computing and machine learning techniques. It should be noted that the descriptions provided may not be entirely accurate as they are experimental in nature. Use the information in this page at your own discretion and risk.