FDA Label for Cephalexin
View Indications, Usage & Precautions
- DESCRIPTION
- CLINICAL PHARMACOLOGY
- INDICATIONS & USAGE
- CONTRAINDICATION
- WARNINGS
- GENERAL
- INFORMATION FOR PATIENTS
- DRUG INTERACTIONS
- PREGNANCY
- NURSING MOTHERS
- PEDIATRIC USE
- GERIATRIC USE
- RENAL IMPAIRMENT
- ADVERSE REACTIONS
- OVERDOSAGE
- DOSAGE & ADMINISTRATION
- HOW SUPPLIED
- PACKAGE LABEL.PRINCIPAL DISPLAY PANEL
Cephalexin Product Label
The following document was submitted to the FDA by the labeler of this product Ascend Laboratories, Llc. The document includes published materials associated whith this product with the essential scientific information about this product as well as other prescribing information. Product labels may durg indications and usage, generic names, contraindications, active ingredients, strength dosage, routes of administration, appearance, warnings, inactive ingredients, etc.
Description
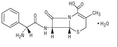
Cephalexin tablets, USP contain the active ingredient cephalexin, which is a semisynthetic cephalosporin antibiotic intended for oral administration. It is 7-(D-α-amino-α-phenylacetamido)-3-methyl-3-cephem-4-carboxylic acid, monohydrate.
Cephalexin has the molecular formula C16H17N3O4S•H2O and the molecular weight is 365.41.
Cephalexin has the following structural formula:
The nucleus of cephalexin is related to that of other cephalosporin antibiotics. The compound is a zwitterion; i.e., the molecule contains both a basic and an acidic group. The isoelectric point of cephalexin in water is approximately 4.5 to 5.
The crystalline form of cephalexin which is available is a monohydrate. It is a white to off white crystalline powder. Slightly soluble in water, practically insoluble alcohol, in chloroform and in ether.
The cephalosporins differ from penicillins in the structure of the bicyclic ring system. Cephalexin has a D-phenylglycyl group as substituent at the 7-amino position and an unsubstituted methyl group at the 3-position.
Each tablet contains cephalexin monohydrate equivalent to 250 mg or 500 mg of cephalexin. The tablets also contain the inactive ingredients: hypromellose, hydroxypropyl cellulose, low-substituted hydroxypropyl cellulose, magnesium stearate, microcrystalline cellulose, silicon dioxide, sodium starch glycolate, talc and titanium dioxide.
FDA approved dissolution test specifications differ from USP
Clinical Pharmacology
Human Pharmacology
Cephalexin tablets are acid stable and may be given without regard to meals. It is rapidly absorbed after oral administration. Following doses of 250 mg, 500 mg, and 1g, average peak serum levels of approximately 9, 18, and 32 mcg/mL, respectively, were obtained at 1 hour. Serum levels were detectable 6 hours after administration (at a level of detection of 0.2 mcg/mL). Cephalexin is approximately 10% to 15% bound to plasma proteins. Cephalexin is excreted in the urine by glomerular filtration and tubular secretion. Studies showed that over 90% of the drug was excreted unchanged in the urine within 8 hours. During this period, peak urine concentrations following the 250-mg, 500-mg, and 1-g doses were approximately 1000, 2200, and 5000 mcg/mL, respectively.
In healthy subjects given single 500 mg doses of cephalexin and metformin, plasma metformin mean Cmax and AUC increased by an average of 34% and 24%, respectively, and metformin mean renal clearance decreased by 14%. No information is available about the interaction of cephalexin and metformin following multiple doses of either drug.
Microbiology
Cephalexin is a bactericidal agent that acts by the inhibition of cell-wall synthesis.
Resistance-Methicillin-resistant staphylococci and most isolates of enterococci are resistant to cephalexin. Cephalexin is not active against most isolates of Enterobacter spp., Morganella morganii, and Proteus vulqaris. Cephalexin has no activity against Pseudomonas spp., or Acinetobacter calcoaceticus. Penicillinresistant Streptococcus pneumoniae is usually cross-resistant to beta-lactam
antibacterial drugs.
Antimicrobial Activity - Cephalexin is active against most isolates of the following bacteria both in vitro and in clinical infections [see INDICATIONS and USAGE]:
Gram-positive bacteria
Staphylococci aureus (methicillin-susceptible isolates only),
Streptococcus pneumoniae (penicillin-susceptible isolates)
Streptococcus pyogenes
Gram-negative bacteria
Escherichia coli
Haemophilus influenzae
Klebsiella pneumoniae
Moraxella catarrhalis
Proteus mirabilis
Susceptibility Testing-
For specific information regarding susceptibility test interpretive criteria and associated test methods and quality control standards recognized by FDA for this drug, please see: https://www.fda.gov/STIC.
Indications & Usage
Cephalexin tablets are indicated for the treatment of the following infections when caused by susceptible strains of the designated microorganisms:
Respiratory tract infections caused by susceptible isolates of Streptococcus pneumoniae and Streptococcus pyogenes
Otitis media due to susceptible isolates of Streptococcu.. pneumoniae, Haemophilus influenzae, Staphylococcus aureus, Streptococcus pyogenes, and Moraxella Catarrhalis.
Skin and skin structure infections caused by susceptible isolates of the following Gram-positive bacteria: Staphylococcus aureus, and Streptococcus pyogenes
Bone infections caused by susceptible isolates of Staphylococcus aureus and Proteus Mirabilis
Genitourinary tract infections, including acute prostatitis, caused by susceptible isolates of Escherichia coli, Proteus mirabilis, and Klebsiella pneumoniare
To reduce the development of drug-resistant bacteria and maintain the effectiveness of cephalexin tablets and other antibacterial drugs, cephalexin tablets should be used only to treat or prevent infections that are proven or strongly suspected to be caused by susceptible bacteria. When culture and susceptibility information are available, they should be considered in selecting or modifying antibacterial therapy. In the absence of such data, local epidemiology and susceptibility patterns may contribute to the empiric selection of therapy.
Contraindication
Cephalexin tablets are contraindicated in patients with known allergy to cephalexin or other members of the cephalosporin class of antibacterial drugs.
Warnings
Hypersensitivity Reactions
Allergic reactions in the form of rash, urticaria, angioedema, anaphylaxis, erythema multiforme, Stevens-Johnson syndrome, or toxic epidermal necrolysis have been reported with the use of cephalexin tablets. Before therapy with cephalexin tablets are instituted, inquire whether the patient has a history of hypersensitivity reactions to cephalexin, cephalosporins, penicillins, or other drugs. Cross-hypersensitivity among beta-lactam antibacterial drugs may occur in up to 10% of patients with a history of penicillin allergy.
If an allergic reaction to cephalexin tablets occurs, discontinue the drug and institute appropriate treatment.
Clostridium difficile-Associated Diarrhea
Clostridium difficile-associated diarrhea (CDAD)has been reported with use of nearly all antibacterial agents, including cephalexin tablets, and may range in severity from mild diarrhea to fatal colitis. Treatment with antibacterial agents alters the normal flora of the colon leading to overgrowth of C. difficile.
C. difficile produces toxins A and B, which contribute to the development of CDAD. Hypertoxin-producing strains of C. difficile cause increased morbidity and mortality, as these infections can be refractory to antimicrobial therapy and may require colectomy. CDAD must be considered in all patients who present with diarrhea following antibiotic use. Careful medical history is necessary since CDAD has been reported to occur over two months after the administration of antibacterial agents.
If CDAD is suspected or confirmed, ongoing antibiotic use not directed against C. difficile may need to be discontinued. Appropriate fluid and electrolyte management, protein supplementation, antibiotic treatment of C. difficile, and surgical evaluation should be instituted as clinically indicated
Direct Coomb’s Test Seroconversion
Positive direct Coombs tests have been reported during treatment with the cephalosporin antibacterial drugs including cephalexin. Acute intravascular hemolysis induced by cephalexin therapy has been reported. If anemia develops during or after cephalexin therapy, perform a diagnostic work-up for drug-induced hemolytic anemia, discontinue cephalexin and institute appropriate therapy.
Seizure Potential
Several cephalosporins have been implicated in triggering seizures, particularly in patients with renal impairment when the dosage was not reduced. If seizures occur, discontinue cephalexin tablets. Anticonvulsant therapy can be given if clinically indicated.
Prolonged Prothrombin Time
Cephalosporins may be associated with prolonged prothrombin time. Those at risk include patients with renal or hepatic impairment, or poor nutritional state, as well as patients receiving a protracted course of antibacterial therapy, and patients receiving anticoagulant therapy. Monitor prothrombin time in patients at risk and manage as indicated.
General
Prescribing cephalexin tablets in the absence of a proven or strongly suspected bacterial infection or a prophylactic indication is unlikely to provide benefit to the patient and increases the risk of the development of drug-resistant bacteria.
Prolonged use of cephalexin tablets may result in the overgrowth of nonsusceptible organisms. Careful observation of the patient is essential. If superinfection occurs during therapy, appropriate measures should be taken.
Information For Patients
Advise patients that allergic reactions, including serious allergic reactions, could occur and that serious reactions require immediate treatment. Ask the patient about any previous hypersensitivity reactions to cephalexin tablets, other beta-lactams (including cephalosporins) or other allergens [see WARNINGS].
Diarrhea is a common problem caused by antibiotics which usually ends when the antibiotic is discontinued. Sometimes after starting treatment with antibiotics, patients can develop watery and bloody stools (with or without stomach cramps and fever) even as late as two or more months after having taken the last dose of the antibiotic. If this occurs, patients should contact their physician as soon as possible.
Patients should be counseled that antibacterial drugs including cephalexin tablets should only be used to treat bacterial infections. They do not treat viral infections (e.g., the common cold). When cephalexin tablets are prescribed to treat a bacterial infection, patients should be told that although it is common to feel better early in the course of therapy, the medication should be taken exactly as directed. Skipping doses or not completing the full course of therapy may (1) decrease the effectiveness of the immediate treatment and (2) increase the likelihood that bacteria will develop resistance and will not be treatable by cephalexin tablets or other antibacterial drugs in the future.
Drug Interactions
Metformin: Administration of cephalexin tablets with metformin results in increased plasma metformin concentrations and decreased renal clearance of metformin. Careful patient monitoring and dose adjustment of metformin is recommended in patients concomitantly taking cephalexin tablets and metformin[see CLINICAL PHARMACOLOGY].
Probenecid:The renal excretion of cephalexin tablets is inhibited by probenecid. Co-administration of probenecid with cephalexin tablets is not recommended.
Drug/laboratory Test Interactions: A false-positive reaction may occur when testing for the presence of glucose in the urine using Benedict's solution or Fehling's solutions.
Pregnancy
Reproduction studies have been performed on mice and rats using oral doses of cephalexin monohydrate 0.6 and 1.5 times the maximum daily human dose (66 mg/kg/day) based upon body surface area basis and have revealed no evidence of impaired fertility or harm to the fetus. There are, however, no adequate and well-controlled studies in pregnant women. Because animal reproduction studies are not always predictive of human response, this drug should be used during pregnancy only if clearly needed.
Nursing Mothers
Cephalexin is excreted in human milk. Caution should be exercised when cephalexin tablets are administered to a nursing woman.
Pediatric Use
The safety and effectiveness of cephalexin tablets in pediatric patients was established in clinical trials for the dosages described in the dosage and administration section [see DOSAGE AND ADMINISTRATION].
Geriatric Use
Of the 701 subjects in 3 published clinical studies of cephalexin, 433 (62%) were 65 and over. No overall differences in safety or effectiveness were observed between these subjects and younger subjects, and other reported clinical experience has not identified differences in responses between the elderly and younger patients.
This drug is substantially excreted by the kidney, and the risk of toxic reactions to this drug may be greater in patients with impaired renal function. Because elderly patients are more likely to have decreased renal function, care should be taken in dose selection.
Renal Impairment
Cephalexin tablets should be administered with caution in the presence of impaired renal function (creatinine clearance < 30 mL/min, with or without dialysis). Under such conditions, careful clinical observation and laboratory studies should be made because safe dosage may be lower than that usually recommended [see DOSAGE AND ADMINISTRATION].
Adverse Reactions
Because clinical trials are conducted under widely varying conditions, adverse reaction rates observed in the clinical trials of a drug cannot be directly compared to rates in the clinical trials of another drug and may not reflect the rates observed in practice. The most frequent adverse reaction was diarrhea. Nausea and vomiting, dyspepsia, gastritis, and abdominal pain have also occurred. As with penicillins and other cephalosporins, transient hepatitis and cholestatic jaundice have been reported.
Other reactions have included hypersensitivity reactions, genital and anal pruritus, genital candidiasis, vaginitis and vaginal discharge, dizziness, fatigue, headache, agitation, confusion, hallucinations, arthralgia, arthritis, and joint disorder. Reversible interstitial nephritis has been reported. Eosinophilia, neutropenia, thrombocytopenia, hemolytic anemia, and slight elevations in aspartate transaminase (AST) and alanine transaminase (ALT) have been reported.
In addition to the adverse reactions listed above that have been observed in patients treated with cephalexin tablets, the following adverse reactions and other altered laboratory tests have been reported for cephalosporin class antibacterial drugs:
Other Adverse Reactions: Fever, colitis, aplastic anemia, hemorrhage, renal dysfunction, and toxic nephropathy.
Altered Laboratory Tests: Prolonged prothrombin time, increased blood urea nitrogen (BUN), increased creatinine, elevated alkaline phosphatase, elevated bilirubin, elevated lactate dehydrogenase (LDH), pancytopenia, leukopenia, and agranulocytosis.
Overdosage
Symptoms of oral overdose may include nausea, vomiting, epigastric distress, diarrhea, and hematuria. In the event of an overdose, institute general supportive measures.
Forced diuresis, peritoneal dialysis, hemodialysis, or charcoal hemoperfusion have not been established as beneficial for an overdose of cephalexin.
Dosage & Administration
Cephalexin tablets are administered orally.
Adults and Pediatric Patients at Least 15 Years of Age
The usual dose is 250 mg every 6 hours but a dose of 500 mg every 12 hours may be administered. Treatment is administered for 7 to 14 days. For more severe infections larger doses of oral cephalexin may be needed, up to 4 grams in two to four equally divided doses.
Pediatric Patients (over 1 year of age)
The recommended total daily dose of oral cephalexin for pediatric patients is 25 to 50 mg/kg in equally divided doses for 7 to 14 days. In the treatment of β-hemolytic streptococcal infections, duration of at least 10 days is recommended. In severe infections, a total daily dose of 50 to 100 mg/kg may be administered
in equally divided doses.
In the treatment of otitis media, the recommended daily dose is 75 to 100 mg/kg/day in equally divided doses.
Dosage adjustments in Adults and Pediatric Patients at Least 15 years of
Age with Renal Impairment
Administer the following dosing regimens for cephalexin tablets to patients with renal impairment [see PRECAUTIONS].
Table 1. Recommended Dose Regimen for Patients with Renal Impairment
| Renal function | Dose regimen recommendation |
| Creatinine clearance >60 mL/min | No dose adjustment |
| Creatinine clearance 30 to 59 mL/min | No dose adjustment; maximum daily dose should not exceed 1 g |
| Creatinine clearance 15 to 29 mL/min | 250 mg, every 8 hours or every 12 hours |
| Creatinine clearance 5 to 14 mL/min not yet on dialysis* | 250 mg, every 24 hours |
| Creatinine clearance 1 to 4 mL/min not yet on dialysis* | 250 mg, every 48 hours or every 60 hours |
*There is insufficient information to make dose adjustment recommendations in patients on hemodialysis.
How Supplied
Cephalexin tablets USP—
250 mg: white to off white, capsule-shaped coated tablet, debossed “250” on one side with score between the “2” and “5” and “CEP” on the reverse side. They are available as follows:
Bottles of 30 NDC 67877-891-30
Bottles of 100 NDC 67877-891-01
Bottles of 500 NDC 67877-891-05
Carton of 30 Tablets (3 x 10 Unit-dose) NDC 67877-891-84
500 mg: white to off white, capsule-shaped coated tablet, debossed “500” on one side with score between the “5” and “0” and “CEP” on the reverse side.
Bottles of 30 NDC 67877-892-30
Bottles of 100 NDC 67877-892-01
Bottles of 500 NDC 67877-892-05
Carton of 30 Tablets (3 x 10 Unit-dose) NDC 67877-892-84
Store at 20°C to 25°C (68°F to77°F); excursions permitted to 15°C to 30°C (59°F to 86°F) [see USP Controlled Room Temperature].
Manufactured by:
Alkem Laboratories Ltd.,
Mumbai - 400 013, INDIA.
Distributed by:
Ascend Laboratories, LLC
Parsippany, NJ 07054
Revised: 5/2024
PT9166
Package Label.Principal Display Panel
Cephalexin Tablets, USP 250 mg
NDC 67877-891-30
30 Tablets Container Pack
Rx Only
Cephalexin Tablets, USP 250 mg
NDC 67877-891-01
100 Tablets Container Pack
Rx Only
Cephalexin Tablets, USP 250 mg
NDC 67877-891-05
500 Tablets Container Pack
Rx Only
Cephalexin Tablets, USP 250 mg
NDC 67877-891-84
30 Tablets Carton Pack
Rx Only
Cephalexin Tablets, USP 500 mg
NDC 67877-892-30
30 Tablets Container Pack
Rx Only
Cephalexin Tablets, USP 500 mg
NDC 67877-892-01
100 Tablets Container Pack
Rx Only
Cephalexin Tablets, USP 500 mg
NDC 67877-892-05
500 Tablets Container Pack
Rx Only
Cephalexin Tablets, USP 500 mg
NDC 67877-892-84
30 Tablets Carton Pack
Rx Only
* Please review the disclaimer below.

