Product Images Terconazole

View Photos of Packaging, Labels & Appearance

Product Label Images

The following 6 images provide visual information about the product associated with Terconazole NDC 68071-1626 by Nucare Pharmaceuticals,inc., such as packaging, labeling, and the appearance of the drug itself. This resource could be helpful for medical professionals, pharmacists, and patients seeking to verify medication information and ensure they have the correct product.

68071 1626 2

68071 1626 2

The text appears to be a label of a medication. The medicine is Terconazole 0.8%, in the form of VaginalCr. The label contains information about the Lot, NDC, MFR NDC, Exp Date, Serial #, and the Product #, which is R0841020. The label also includes a WARNING to keep the medication out of reach of children, and a statement instructing to call a doctor in case of side-effects. The label also includes a GTIN, which is 00368071162622. The text seems to be complete and accurate.*

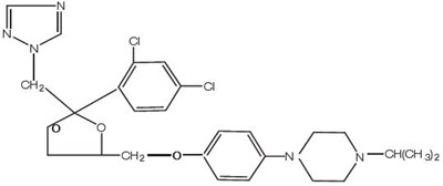
Chemical Structure - terconazole 01

Chemical Structure - terconazole 01

Figure 1 - terconazole 02

Figure 1 - terconazole 02

Figure 2 - terconazole 03

Figure 2 - terconazole 03

Figure 3 - terconazole 04

Figure 3 - terconazole 04

Plunger is a tool used to unclog drainages, sinks or toilets by creating a seal and forcing out clogs with pressure.*

Figure 4 - terconazole 05

Figure 4 - terconazole 05

This appears to be a list of anatomical structures - the urinary opening, the vagina, and the rectum.*

* The product label images have been analyzed using a combination of traditional computing and machine learning techniques. It should be noted that the descriptions provided may not be entirely accurate as they are experimental in nature. Use the information in this page at your own discretion and risk.