Product Images Lisinopril

View Photos of Packaging, Labels & Appearance

Product Label Images

The following 2 images provide visual information about the product associated with Lisinopril NDC 68071-1672 by Nucare Pharmaceuticals,inc., such as packaging, labeling, and the appearance of the drug itself. This resource could be helpful for medical professionals, pharmacists, and patients seeking to verify medication information and ensure they have the correct product.

68071 1672 1

68071 1672 1

This is a medication package of Lisinopril 10mg by NuCare Pharmaceuticals, Inc. The medication should be stored at a controlled temperature range of 68-77°F and kept away from children. The package contains 100 tablets with production and expiration details. In case of any side effects, one can contact FDA or consult a doctor.*

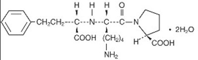
Chemical Structure - e299d477 a612 4af4 b6aa f5addc8a736d 01

Chemical Structure - e299d477 a612 4af4 b6aa f5addc8a736d 01

* The product label images have been analyzed using a combination of traditional computing and machine learning techniques. It should be noted that the descriptions provided may not be entirely accurate as they are experimental in nature. Use the information in this page at your own discretion and risk.