Product Images Escitalopram

View Photos of Packaging, Labels & Appearance

Product Label Images

The following 3 images provide visual information about the product associated with Escitalopram NDC 68071-2051 by Nucare Pharmaceuticals,inc., such as packaging, labeling, and the appearance of the drug itself. This resource could be helpful for medical professionals, pharmacists, and patients seeking to verify medication information and ensure they have the correct product.

00093585201

00093585201

68071 2051 03

68071 2051 03

This is a package of Escitalopram 20mg tablets, with lot number 000000, NDC number 68071-2051-03, and expiration date 00-00. The tablets are white/off-white, round and scored, with "5852" on one side and a logo and "20" on the scored side. This is a prescription drug and should be kept out of reach of children. Store at a controlled temperature between 68-77°F. The leaflet advises to call a doctor in case of side effects, and includes a warning against children.*

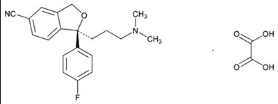
structural formula - image 04

structural formula - image 04

This is not-available. It appears to be only two letters, which do not provide any information or context.*

* The product label images have been analyzed using a combination of traditional computing and machine learning techniques. It should be noted that the descriptions provided may not be entirely accurate as they are experimental in nature. Use the information in this page at your own discretion and risk.