Product Images Pantoprazole Sodium

View Photos of Packaging, Labels & Appearance

Product Label Images

The following 4 images provide visual information about the product associated with Pantoprazole Sodium NDC 68071-2215 by Nucare Pharmaceuticals,inc., such as packaging, labeling, and the appearance of the drug itself. This resource could be helpful for medical professionals, pharmacists, and patients seeking to verify medication information and ensure they have the correct product.

PDP - 68071 2215 4

PDP - 68071 2215 4

This is a product label for Pantoprazole Sodium 40mg delayed-release enteric coated tablets produced by Care Pharmaceuticals, Inc. It includes information such as the product's NDC, lot number, and expiration date. The tablets are yellow and oval-shaped, and the label cautions to keep the product out of reach of children and store it at a controlled temperature of 68-77°F.*

address1.jpg - address1

address1.jpg - address1

address2.jpg - address2

address2.jpg - address2

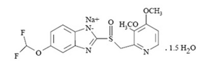
structure.jpg - structure

structure.jpg - structure

* The product label images have been analyzed using a combination of traditional computing and machine learning techniques. It should be noted that the descriptions provided may not be entirely accurate as they are experimental in nature. Use the information in this page at your own discretion and risk.