Product Images Lisinopril And Hydrochlorothiazide

View Photos of Packaging, Labels & Appearance

Product Label Images

The following 3 images provide visual information about the product associated with Lisinopril And Hydrochlorothiazide NDC 68071-2263 by Nucare Pharmaceuticals,inc., such as packaging, labeling, and the appearance of the drug itself. This resource could be helpful for medical professionals, pharmacists, and patients seeking to verify medication information and ensure they have the correct product.

PDP - 68071 2263 9

PDP - 68071 2263 9

This is a label from NuCare Pharmaceuticals for the medication LisinoprilHCTZ 20mg/12.5mg. It contains 90 tablets with an expiration date of 00-00 and a serial number of 00000000002. The tablets are round, white, and have "G" debossed on one side. The medication is used to treat high blood pressure and should be stored at a controlled temperature between 68-77°F and kept out of reach of children. The label also provides information on reporting any adverse effects to the FDA.*

Structural formula 1 - image 01

Structural formula 1 - image 01

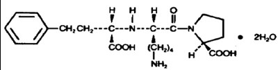
Structural formula 2 - image 02

Structural formula 2 - image 02

* The product label images have been analyzed using a combination of traditional computing and machine learning techniques. It should be noted that the descriptions provided may not be entirely accurate as they are experimental in nature. Use the information in this page at your own discretion and risk.